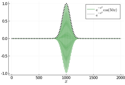
In this paper we compare three different orthogonal systems in $\mathrm{L}_2(\mathbb{R})$ which can be used in the construction of a spectral method for solving the semi-classically scaled time dependent Schr\"odinger equation on the real line, specifically, stretched Fourier functions, Hermite functions and Malmquist--Takenaka functions. All three have banded skew-Hermitian differentiation matrices, which greatly simplifies their implementation in a spectral method, while ensuring that the numerical solution is unitary -- this is essential in order to respect the Born interpretation in quantum mechanics and, as a byproduct, ensures numerical stability with respect to the $\mathrm{L}_2(\mathbb{R})$ norm. We derive asymptotic approximations of the coefficients for a wave packet in each of these bases, which are extremely accurate in the high frequency regime. We show that the Malmquist--Takenaka basis is superior, in a practical sense, to the more commonly used Hermite functions and stretched Fourier expansions for approximating wave packets


翻译:在本文中,我们比较了美元=mathrm{L}2(\\\mathb{R})中的三种不同的正方形系统,这些系统可用于在实线上构建一个光谱方法,以解决半经典缩放时间依赖 Schr\'donger 方程式,具体地说,是拉伸的 Fourier 函数、 Hermite 函数和 Malmquist- Pakenaka 函数。这三个系统都有带宽的斜带- Hermitian 差异矩阵,它们大大简化了在光谱方法中的实施,同时确保数字解决方案是统一的 -- -- 这对于量子力学的诞生解释至关重要,并且作为一个副产品,确保了美元\ mathrm{L\\\\\\\\\\\\\\\\\\\\\\ mathb{R} 标准的数字稳定性。我们从这些基底座中每个波包的系数中得出无症状的近似值,这在高频率系统中是非常精确的。我们显示, 马尔基- 竹纳卡基基础实际上优于更常用的赫姆特函数和波状容器。

0
下载
关闭预览

相关内容

专知会员服务
51+阅读 · 2020年12月14日
一份简单《图神经网络》教程,28页ppt
专知会员服务
127+阅读 · 2020年8月2日
Fariz Darari简明《博弈论Game Theory》介绍,35页ppt
专知会员服务
112+阅读 · 2020年5月15日
Keras François Chollet 《Deep Learning with Python 》, 386页pdf
专知会员服务
160+阅读 · 2019年10月12日
强化学习最新教程,17页pdf
专知会员服务
182+阅读 · 2019年10月11日
【哈佛大学商学院课程Fall 2019】机器学习可解释性
专知会员服务
105+阅读 · 2019年10月9日
【SIGGRAPH2019】TensorFlow 2.0深度学习计算机图形学应用
专知会员服务
41+阅读 · 2019年10月9日
A Technical Overview of AI & ML in 2018 & Trends for 2019
待字闺中
18+阅读 · 2018年12月24日
disentangled-representation-papers
CreateAMind
26+阅读 · 2018年9月12日
【推荐】用Python/OpenCV实现增强现实
机器学习研究会
15+阅读 · 2017年11月16日
【论文】变分推断(Variational inference)的总结
机器学习研究会
39+阅读 · 2017年11月16日
【推荐】决策树/随机森林深入解析
机器学习研究会
5+阅读 · 2017年9月21日
【学习】Hierarchical Softmax
机器学习研究会
4+阅读 · 2017年8月6日
强化学习族谱
CreateAMind
26+阅读 · 2017年8月2日
强化学习 cartpole_a3c
CreateAMind
9+阅读 · 2017年7月21日
Arxiv
0+阅读 · 2021年3月7日
Arxiv
0+阅读 · 2021年3月4日
VIP会员
相关VIP内容
专知会员服务
51+阅读 · 2020年12月14日
一份简单《图神经网络》教程,28页ppt
专知会员服务
127+阅读 · 2020年8月2日
Fariz Darari简明《博弈论Game Theory》介绍,35页ppt
专知会员服务
112+阅读 · 2020年5月15日
Keras François Chollet 《Deep Learning with Python 》, 386页pdf
专知会员服务
160+阅读 · 2019年10月12日
强化学习最新教程,17页pdf
专知会员服务
182+阅读 · 2019年10月11日
【哈佛大学商学院课程Fall 2019】机器学习可解释性
专知会员服务
105+阅读 · 2019年10月9日
【SIGGRAPH2019】TensorFlow 2.0深度学习计算机图形学应用
专知会员服务
41+阅读 · 2019年10月9日
相关资讯
A Technical Overview of AI & ML in 2018 & Trends for 2019
待字闺中
18+阅读 · 2018年12月24日
disentangled-representation-papers
CreateAMind
26+阅读 · 2018年9月12日
【推荐】用Python/OpenCV实现增强现实
机器学习研究会
15+阅读 · 2017年11月16日
【论文】变分推断(Variational inference)的总结
机器学习研究会
39+阅读 · 2017年11月16日
【推荐】决策树/随机森林深入解析
机器学习研究会
5+阅读 · 2017年9月21日
【学习】Hierarchical Softmax
机器学习研究会
4+阅读 · 2017年8月6日
强化学习族谱
CreateAMind
26+阅读 · 2017年8月2日
强化学习 cartpole_a3c
CreateAMind
9+阅读 · 2017年7月21日
Top
微信扫码咨询专知VIP会员