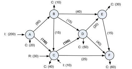
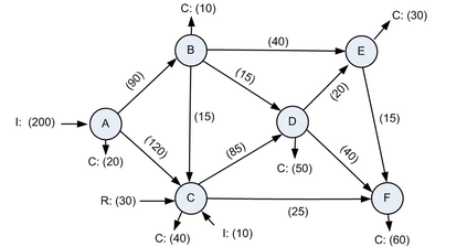
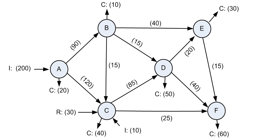
Computational models corresponding to supply security in natural gas networks aim to describe flows and consumption values in the case of component failures or unforseen pipeline shutdowns. The role of natural gas reservoires in this process has only been marginally analyzed in such models, and typically only on the level of countries. In this paper we define a computational framework, which is capable of interpreting real flow and reservoir data to assign a quantitative supply security related measure to reservoires, depending on how much the given reservoir is critical in the process of restoring consumption outages in the network.


翻译:与天然气网络供应安全相对应的计算模型旨在描述在部件故障或意外管道关闭情况下的流量和消费价值。在这种模型中,天然气储层在这一过程中的作用只是略作分析,通常只分析国家的水平。在本文件中,我们界定了一个计算框架,它能够解释实际流量和储层数据,以便根据特定储层在恢复网络消费中断过程中的至关重要程度,为储层分配数量供应安全相关措施。

0
下载
关闭预览

相关内容

Processing 是一门开源编程语言和与之配套的集成开发环境(IDE)的名称。Processing 在电子艺术和视觉设计社区被用来教授编程基础,并运用于大量的新媒体和互动艺术作品中。
专知会员服务
30+阅读 · 2021年9月30日
专知会员服务
45+阅读 · 2021年9月15日
【AAAI2021】对比聚类,Contrastive Clustering
专知会员服务
78+阅读 · 2021年1月30日
【AAAI2021】Graph Diffusion Network提升交通流量预测精度
专知会员服务
54+阅读 · 2021年1月21日
专知会员服务
87+阅读 · 2019年12月13日
【哈佛大学商学院课程Fall 2019】机器学习可解释性
专知会员服务
105+阅读 · 2019年10月9日
最新BERT相关论文清单,BERT-related Papers
专知会员服务
53+阅读 · 2019年9月29日
计算机 | 入门级EI会议ICVRIS 2019诚邀稿件
Call4Papers
10+阅读 · 2019年6月24日
计算机 | 中低难度国际会议信息8条
Call4Papers
9+阅读 · 2019年6月19日
计算机 | 中低难度国际会议信息6条
Call4Papers
7+阅读 · 2019年5月16日
CCF C类 | DSAA 2019 诚邀稿件
Call4Papers
6+阅读 · 2019年5月13日
CCF A类 | 顶级会议RTSS 2019诚邀稿件
Call4Papers
10+阅读 · 2019年4月17日
Unsupervised Learning via Meta-Learning
CreateAMind
43+阅读 · 2019年1月3日
Hierarchical Disentangled Representations
CreateAMind
4+阅读 · 2018年4月15日
Auto-Encoding GAN
CreateAMind
7+阅读 · 2017年8月4日
【今日新增】IEEE Trans.专刊截稿信息8条
Call4Papers
7+阅读 · 2017年6月29日
Arxiv
0+阅读 · 2021年10月13日
Arxiv
0+阅读 · 2021年10月12日
Knowledge Representation Learning: A Quantitative Review
VIP会员
相关VIP内容
专知会员服务
30+阅读 · 2021年9月30日
专知会员服务
45+阅读 · 2021年9月15日
【AAAI2021】对比聚类,Contrastive Clustering
专知会员服务
78+阅读 · 2021年1月30日
【AAAI2021】Graph Diffusion Network提升交通流量预测精度
专知会员服务
54+阅读 · 2021年1月21日
专知会员服务
87+阅读 · 2019年12月13日
【哈佛大学商学院课程Fall 2019】机器学习可解释性
专知会员服务
105+阅读 · 2019年10月9日
最新BERT相关论文清单,BERT-related Papers
专知会员服务
53+阅读 · 2019年9月29日
相关资讯
计算机 | 入门级EI会议ICVRIS 2019诚邀稿件
Call4Papers
10+阅读 · 2019年6月24日
计算机 | 中低难度国际会议信息8条
Call4Papers
9+阅读 · 2019年6月19日
计算机 | 中低难度国际会议信息6条
Call4Papers
7+阅读 · 2019年5月16日
CCF C类 | DSAA 2019 诚邀稿件
Call4Papers
6+阅读 · 2019年5月13日
CCF A类 | 顶级会议RTSS 2019诚邀稿件
Call4Papers
10+阅读 · 2019年4月17日
Unsupervised Learning via Meta-Learning
CreateAMind
43+阅读 · 2019年1月3日
Hierarchical Disentangled Representations
CreateAMind
4+阅读 · 2018年4月15日
Auto-Encoding GAN
CreateAMind
7+阅读 · 2017年8月4日
【今日新增】IEEE Trans.专刊截稿信息8条
Call4Papers
7+阅读 · 2017年6月29日
Top
微信扫码咨询专知VIP会员