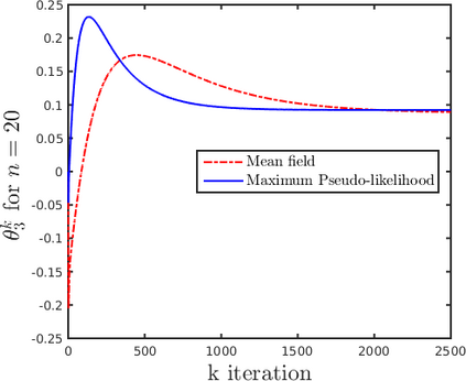
An important issue in social network analysis refers to the development of algorithms for estimating optimal parameters of a social network model, using data available from the network itself. This entails solving an optimization problem. In the paper, we propose a new method for parameters estimation in a specific social network model, namely, the so-called p-star model with three parameters. The method is based on the mean-field approximation of the moments associated with the three subgraphs defining the model, namely: the mean numbers of edges, two-stars, and triangles. A modified gradient ascent method is applied to maximize the log-likelihood function of the p-star model, in which the components of the gradient are computed using approximate values of the moments. Compared to other existing iterative methods for parameters estimation, which are computationally very expensive when the number of vertices becomes large, such as gradient ascent applied to maximum log-pseudo- likelihood estimation, the proposed approach has the advantage of a much cheaper cost per iteration, which is practically independent of the number of vertices.


翻译:社会网络分析中的一个重要问题涉及利用网络本身提供的数据为估计社会网络模型的最佳参数而开发算法,这需要解决一个优化问题。在文件中,我们提议了一种在特定社会网络模型中进行参数估计的新方法,即所谓的P-star模型,其中有三个参数。该方法基于与确定模型的三个子集相关的时间的平均值,即:边缘、两颗星和三角的平均值。采用了一种经修改的梯度乘法,以尽量扩大p-star模型的日志类函数,在这个模型中,梯度的组成部分是使用时间的近似值计算的。与其他现有的参数迭代方法相比,参数估计方法在脊椎数量大时计算非常昂贵,例如梯度用于最大log-psedo-可能性估计的梯度,拟议方法的优点是每次循环成本要低得多,这实际上与脊椎的数目无关。

0
下载
关闭预览

相关内容

因果图,Causal Graphs,52页ppt
专知会员服务
253+阅读 · 2020年4月19日
机器学习入门的经验与建议
专知会员服务
94+阅读 · 2019年10月10日
TensorFlow 2.0 学习资源汇总
专知会员服务
67+阅读 · 2019年10月9日
强化学习的Unsupervised Meta-Learning
CreateAMind
18+阅读 · 2019年1月7日
Disentangled的假设的探讨
CreateAMind
9+阅读 · 2018年12月10日
disentangled-representation-papers
CreateAMind
26+阅读 · 2018年9月12日
Hierarchical Imitation - Reinforcement Learning
CreateAMind
19+阅读 · 2018年5月25日
ResNet, AlexNet, VGG, Inception:各种卷积网络架构的理解
全球人工智能
20+阅读 · 2017年12月17日
【论文】变分推断(Variational inference)的总结
机器学习研究会
39+阅读 · 2017年11月16日
【论文】图上的表示学习综述
机器学习研究会
15+阅读 · 2017年9月24日
Auto-Encoding GAN
CreateAMind
7+阅读 · 2017年8月4日
强化学习 cartpole_a3c
CreateAMind
9+阅读 · 2017年7月21日
Learning to Importance Sample in Primary Sample Space
Viewpoint Estimation-Insights & Model
Arxiv
3+阅读 · 2018年7月3日
Arxiv
4+阅读 · 2018年5月24日
Arxiv
3+阅读 · 2018年2月24日
VIP会员
相关资讯
强化学习的Unsupervised Meta-Learning
CreateAMind
18+阅读 · 2019年1月7日
Disentangled的假设的探讨
CreateAMind
9+阅读 · 2018年12月10日
disentangled-representation-papers
CreateAMind
26+阅读 · 2018年9月12日
Hierarchical Imitation - Reinforcement Learning
CreateAMind
19+阅读 · 2018年5月25日
ResNet, AlexNet, VGG, Inception:各种卷积网络架构的理解
全球人工智能
20+阅读 · 2017年12月17日
【论文】变分推断(Variational inference)的总结
机器学习研究会
39+阅读 · 2017年11月16日
【论文】图上的表示学习综述
机器学习研究会
15+阅读 · 2017年9月24日
Auto-Encoding GAN
CreateAMind
7+阅读 · 2017年8月4日
强化学习 cartpole_a3c
CreateAMind
9+阅读 · 2017年7月21日
Top
微信扫码咨询专知VIP会员