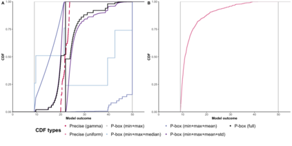
Decisions about health interventions are often made using limited evidence. Mathematical models used to inform such decisions often include uncertainty analysis to account for the effect of uncertainty in the current evidence base on decision-relevant quantities. However, current uncertainty quantification methodologies, including probabilistic sensitivity analysis (PSA), require modelers to specify a precise probability distribution to represent the uncertainty of a model parameter. This study introduces a novel approach for propagating parameter uncertainty, probability bounds analysis (PBA), where the uncertainty about the unknown probability distribution of a model parameter is expressed in terms of an interval bounded by lower and upper bounds on the unknown cumulative distribution function (p-box) and without assuming a particular form of the distribution function. We give the formulas of the p-boxes for common situations (given combinations of data on minimum, maximum, median, mean, or standard deviation), describe an approach to propagate p-boxes into a black-box mathematical model, and introduce an approach for decision-making based on the results of PBA. We demonstrate the characteristics and utility of PBA versus PSA using two case studies. In sum, this study provides modelers with practical tools to conduct parameter uncertainty quantification given the constraints of available data and with the fewest assumptions.


翻译:用于为此类决定提供信息的数学模型往往包括不确定性分析,以说明目前与决策有关数量的证据基础的不确定性的影响;然而,目前的不确定性量化方法,包括概率敏感性分析,要求模型家指定准确的概率分布,以代表模型参数的不确定性。本研究采用了一种新颖的推广参数不确定性、概率界限分析(PBA)的新办法,模型参数的概率分布不明的不确定性以未知累积分布函数(p-box)上下限的间隔值表示,不假定分配函数的具体形式。我们提供了用于常见情况的p-box公式(将最低、最高、中位、中位或标准偏差的数据组合起来),介绍了将p-box纳入黑盒数学模型的方法,并采用了基于PBA结果的决策方法。我们用两个案例研究展示了PBA相对于PSA的特征和实用性。我们提供了用于常见情况的p-box公式的模型模型,并提供了可用于量化不确定性的参数的实用工具。

1
下载
关闭预览

相关内容

ACM/IEEE第23届模型驱动工程语言和系统国际会议,是模型驱动软件和系统工程的首要会议系列,由ACM-SIGSOFT和IEEE-TCSE支持组织。自1998年以来,模型涵盖了建模的各个方面,从语言和方法到工具和应用程序。模特的参加者来自不同的背景,包括研究人员、学者、工程师和工业专业人士。MODELS 2019是一个论坛,参与者可以围绕建模和模型驱动的软件和系统交流前沿研究成果和创新实践经验。今年的版本将为建模社区提供进一步推进建模基础的机会,并在网络物理系统、嵌入式系统、社会技术系统、云计算、大数据、机器学习、安全、开源等新兴领域提出建模的创新应用以及可持续性。 官网链接:http://www.modelsconference.org/
【干货书】机器学习速查手册,135页pdf
专知会员服务
127+阅读 · 2020年11月20日
专知会员服务
41+阅读 · 2020年10月13日
Fariz Darari简明《博弈论Game Theory》介绍,35页ppt
专知会员服务
112+阅读 · 2020年5月15日
强化学习最新教程,17页pdf
专知会员服务
182+阅读 · 2019年10月11日
【新书】Python编程基础,669页pdf
专知会员服务
197+阅读 · 2019年10月10日
Unsupervised Learning via Meta-Learning
CreateAMind
43+阅读 · 2019年1月3日
A Technical Overview of AI & ML in 2018 & Trends for 2019
待字闺中
18+阅读 · 2018年12月24日
Disentangled的假设的探讨
CreateAMind
9+阅读 · 2018年12月10日
Hierarchical Disentangled Representations
CreateAMind
4+阅读 · 2018年4月15日
计算机视觉近一年进展综述
机器学习研究会
9+阅读 · 2017年11月25日
【论文】变分推断(Variational inference)的总结
机器学习研究会
39+阅读 · 2017年11月16日
【推荐】决策树/随机森林深入解析
机器学习研究会
5+阅读 · 2017年9月21日
最佳实践:深度学习用于自然语言处理(三)
待字闺中
3+阅读 · 2017年8月20日
强化学习族谱
CreateAMind
26+阅读 · 2017年8月2日
Arxiv
8+阅读 · 2021年7月15日
Arxiv
30+阅读 · 2021年7月7日
VIP会员
相关VIP内容
【干货书】机器学习速查手册,135页pdf
专知会员服务
127+阅读 · 2020年11月20日
专知会员服务
41+阅读 · 2020年10月13日
Fariz Darari简明《博弈论Game Theory》介绍,35页ppt
专知会员服务
112+阅读 · 2020年5月15日
强化学习最新教程,17页pdf
专知会员服务
182+阅读 · 2019年10月11日
【新书】Python编程基础,669页pdf
专知会员服务
197+阅读 · 2019年10月10日
相关资讯
Unsupervised Learning via Meta-Learning
CreateAMind
43+阅读 · 2019年1月3日
A Technical Overview of AI & ML in 2018 & Trends for 2019
待字闺中
18+阅读 · 2018年12月24日
Disentangled的假设的探讨
CreateAMind
9+阅读 · 2018年12月10日
Hierarchical Disentangled Representations
CreateAMind
4+阅读 · 2018年4月15日
计算机视觉近一年进展综述
机器学习研究会
9+阅读 · 2017年11月25日
【论文】变分推断(Variational inference)的总结
机器学习研究会
39+阅读 · 2017年11月16日
【推荐】决策树/随机森林深入解析
机器学习研究会
5+阅读 · 2017年9月21日
最佳实践:深度学习用于自然语言处理(三)
待字闺中
3+阅读 · 2017年8月20日
强化学习族谱
CreateAMind
26+阅读 · 2017年8月2日
Top
微信扫码咨询专知VIP会员