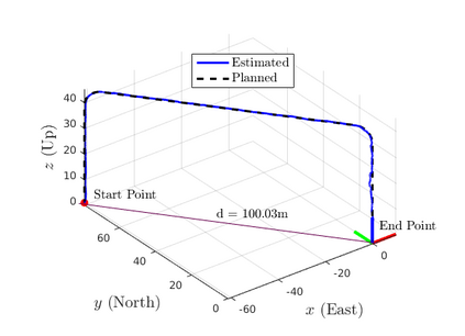
The use of delivery services is an increasing trend worldwide, further enhanced by the COVID pandemic. In this context, drone delivery systems are of great interest as they may allow for faster and cheaper deliveries. This paper presents a navigation system that makes feasible the delivery of parcels with autonomous drones. The system generates a path between a start and a final point and controls the drone to follow this path based on its localization obtained through GPS, 9DoF IMU, and barometer. In the landing phase, information of poses estimated by a marker (ArUco) detection technique using a camera, ultra-wideband (UWB) devices, and the drone's software estimation are merged by utilizing an Extended Kalman Filter algorithm to improve the landing precision. A vector field-based method controls the drone to follow the desired path smoothly, reducing vibrations or harsh movements that could harm the transported parcel. Real experiments validate the delivery strategy and allow to evaluate the performance of the adopted techniques. Preliminary results state the viability of our proposal for autonomous drone delivery.


翻译:在着陆阶段,使用照相机、超广频带(UWB)装置的标记探测技术估计成份的信息,以及无人机的软件估算,通过使用扩展的Kalman过滤算法来提高着陆精确度,使无人机能够顺利地走所希望的道路,减少振动或可能损害运输包裹的严酷移动。 真正的实验验证了交付战略,并能够评价所采用的技术的性能。 初步结果说明我们关于自动无人机交付的建议的可行性。

0
下载
关闭预览

相关内容

Linux导论,Introduction to Linux,96页ppt
专知会员服务
82+阅读 · 2020年7月26日
强化学习最新教程,17页pdf
专知会员服务
182+阅读 · 2019年10月11日
最新BERT相关论文清单,BERT-related Papers
专知会员服务
53+阅读 · 2019年9月29日
AAAI2020 图相关论文集
图与推荐
11+阅读 · 2020年7月15日
ICRA 2019 论文速览 | 基于Deep Learning 的SLAM
计算机视觉life
41+阅读 · 2019年7月22日
无人机视觉挑战赛 | ICCV 2019 Workshop—VisDrone2019
PaperWeekly
7+阅读 · 2019年5月5日
【泡泡一分钟】基于3D激光雷达地图的立体相机定位
泡泡机器人SLAM
4+阅读 · 2019年1月14日
carla 学习笔记
CreateAMind
9+阅读 · 2018年2月7日
carla无人驾驶模拟中文项目 carla_simulator_Chinese
CreateAMind
3+阅读 · 2018年1月30日
【推荐】Python机器学习生态圈(Scikit-Learn相关项目)
机器学习研究会
6+阅读 · 2017年8月23日
【推荐】SLAM相关资源大列表
机器学习研究会
10+阅读 · 2017年8月18日
【今日新增】IEEE Trans.专刊截稿信息8条
Call4Papers
7+阅读 · 2017年6月29日
Arxiv
0+阅读 · 2021年8月13日
Arxiv
0+阅读 · 2021年8月13日
VIP会员
相关资讯
AAAI2020 图相关论文集
图与推荐
11+阅读 · 2020年7月15日
ICRA 2019 论文速览 | 基于Deep Learning 的SLAM
计算机视觉life
41+阅读 · 2019年7月22日
无人机视觉挑战赛 | ICCV 2019 Workshop—VisDrone2019
PaperWeekly
7+阅读 · 2019年5月5日
【泡泡一分钟】基于3D激光雷达地图的立体相机定位
泡泡机器人SLAM
4+阅读 · 2019年1月14日
carla 学习笔记
CreateAMind
9+阅读 · 2018年2月7日
carla无人驾驶模拟中文项目 carla_simulator_Chinese
CreateAMind
3+阅读 · 2018年1月30日
【推荐】Python机器学习生态圈(Scikit-Learn相关项目)
机器学习研究会
6+阅读 · 2017年8月23日
【推荐】SLAM相关资源大列表
机器学习研究会
10+阅读 · 2017年8月18日
【今日新增】IEEE Trans.专刊截稿信息8条
Call4Papers
7+阅读 · 2017年6月29日
Top
微信扫码咨询专知VIP会员