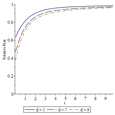
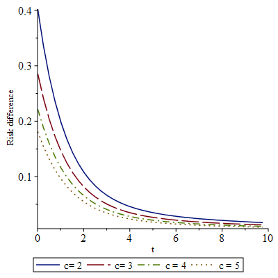
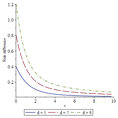
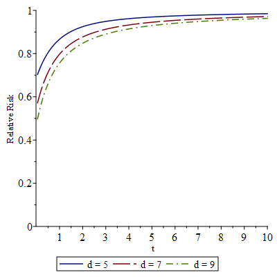
We study frequentist risk properties of predictive density estimators for mean mixtures of multivariate normal distributions, involving an unknown location parameter $\theta \in \mathbb{R}^d$, and which include multivariate skew normal distributions. We provide explicit representations for Bayesian posterior and predictive densities, including the benchmark minimum risk equivariant (MRE) density, which is minimax and generalized Bayes with respect to an improper uniform density for $\theta$. For four dimensions or more, we obtain Bayesian densities that improve uniformly on the MRE density under Kullback-Leibler loss. We also provide plug-in type improvements, investigate implications for certain type of parametric restrictions on $\theta$, and illustrate and comment the findings based on numerical evaluations.


翻译:我们研究多变量正常分布平均混合物的预测密度估计值常年风险特性,其中涉及未知位置参数$\theta\ in\mathbb{R ⁇ d$,其中包括多变量扭曲正常分布,我们为巴伊西亚后方和预测密度提供了明确的表述,包括基准最小风险等差密度(MRE)密度(MRE),该等值密度与美元不适当统一密度相比是微型和泛海湾。对于四个或更多维,我们获得了巴伊西亚密度,这些密度在Kullback-Leiberl损失条件下的MRE密度一致提高。我们还提供插式改进,调查某类对$\theta$的参数限制的影响,并根据数字评估来说明和评论调查结果。

0
下载
关闭预览

相关内容

专知会员服务
45+阅读 · 2020年12月18日
因果图,Causal Graphs,52页ppt
专知会员服务
253+阅读 · 2020年4月19日
【哈佛大学商学院课程Fall 2019】机器学习可解释性
专知会员服务
105+阅读 · 2019年10月9日
ACM MM 2022 Call for Papers
CCF多媒体专委会
5+阅读 · 2022年3月29日
ACM TOMM Call for Papers
CCF多媒体专委会
2+阅读 · 2022年3月23日
AIART 2022 Call for Papers
CCF多媒体专委会
1+阅读 · 2022年2月13日
Hierarchically Structured Meta-learning
CreateAMind
27+阅读 · 2019年5月22日
Unsupervised Learning via Meta-Learning
CreateAMind
43+阅读 · 2019年1月3日
A Technical Overview of AI & ML in 2018 & Trends for 2019
待字闺中
18+阅读 · 2018年12月24日
【SIGIR2018】五篇对抗训练文章
专知
12+阅读 · 2018年7月9日
【论文】变分推断(Variational inference)的总结
机器学习研究会
39+阅读 · 2017年11月16日
【推荐】RNN/LSTM时序预测
机器学习研究会
25+阅读 · 2017年9月8日
强化学习族谱
CreateAMind
26+阅读 · 2017年8月2日
国家自然科学基金
3+阅读 · 2014年12月31日
国家自然科学基金
1+阅读 · 2013年12月31日
国家自然科学基金
0+阅读 · 2012年12月31日
国家自然科学基金
1+阅读 · 2012年12月31日
国家自然科学基金
0+阅读 · 2012年12月31日
国家自然科学基金
0+阅读 · 2011年12月31日
国家自然科学基金
0+阅读 · 2009年12月31日
国家自然科学基金
0+阅读 · 2009年12月31日
国家自然科学基金
1+阅读 · 2009年12月31日
Arxiv
0+阅读 · 2022年4月18日
Arxiv
23+阅读 · 2022年2月24日
Arxiv
15+阅读 · 2020年12月17日
VIP会员
相关资讯
ACM MM 2022 Call for Papers
CCF多媒体专委会
5+阅读 · 2022年3月29日
ACM TOMM Call for Papers
CCF多媒体专委会
2+阅读 · 2022年3月23日
AIART 2022 Call for Papers
CCF多媒体专委会
1+阅读 · 2022年2月13日
Hierarchically Structured Meta-learning
CreateAMind
27+阅读 · 2019年5月22日
Unsupervised Learning via Meta-Learning
CreateAMind
43+阅读 · 2019年1月3日
A Technical Overview of AI & ML in 2018 & Trends for 2019
待字闺中
18+阅读 · 2018年12月24日
【SIGIR2018】五篇对抗训练文章
专知
12+阅读 · 2018年7月9日
【论文】变分推断(Variational inference)的总结
机器学习研究会
39+阅读 · 2017年11月16日
【推荐】RNN/LSTM时序预测
机器学习研究会
25+阅读 · 2017年9月8日
强化学习族谱
CreateAMind
26+阅读 · 2017年8月2日
相关基金
国家自然科学基金
3+阅读 · 2014年12月31日
国家自然科学基金
1+阅读 · 2013年12月31日
国家自然科学基金
0+阅读 · 2012年12月31日
国家自然科学基金
1+阅读 · 2012年12月31日
国家自然科学基金
0+阅读 · 2012年12月31日
国家自然科学基金
0+阅读 · 2011年12月31日
国家自然科学基金
0+阅读 · 2009年12月31日
国家自然科学基金
0+阅读 · 2009年12月31日
国家自然科学基金
1+阅读 · 2009年12月31日
Top
微信扫码咨询专知VIP会员