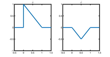
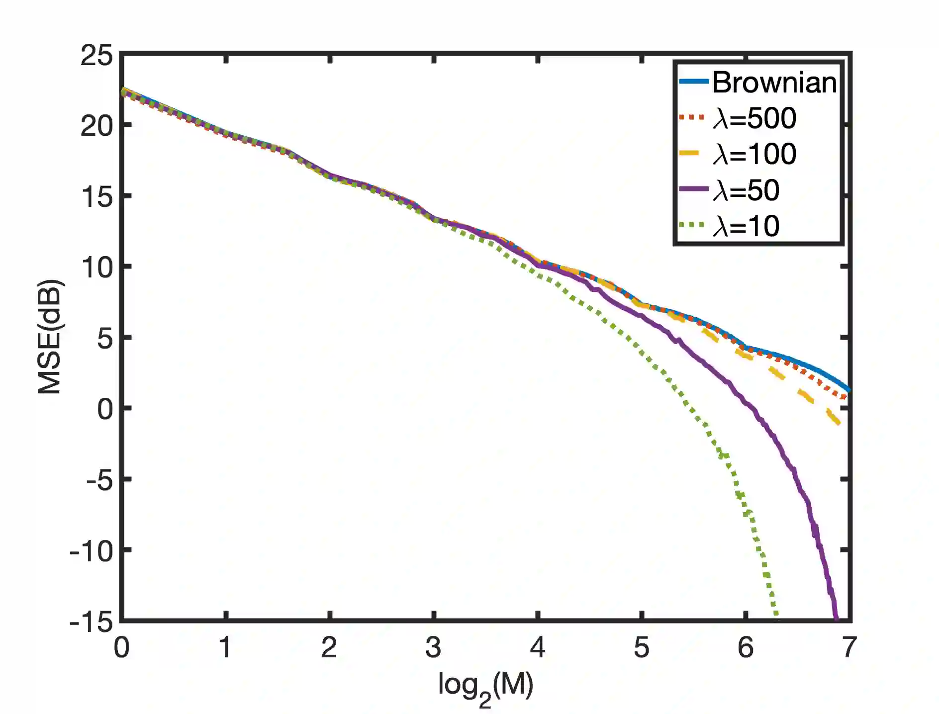
In this paper, we precisely quantify the wavelet compressibility of compound Poisson processes. To that end, we expand the given random process over the Haar wavelet basis and we analyse its asymptotic approximation properties. By only considering the nonzero wavelet coefficients up to a given scale, what we call the greedy approximation, we exploit the extreme sparsity of the wavelet expansion that derives from the piecewise-constant nature of compound Poisson processes. More precisely, we provide lower and upper bounds for the mean squared error of greedy approximation of compound Poisson processes. We are then able to deduce that the greedy approximation error has a sub-exponential and super-polynomial asymptotic behavior. Finally, we provide numerical experiments to highlight the remarkable ability of wavelet-based dictionaries in achieving highly compressible approximations of compound Poisson processes.


翻译:在本文中, 我们精确地量化了 复合 Poisson 过程的波浪压缩。 为此, 我们将给定的随机过程扩展到 Haar 波浪基底, 并分析其无症状近似特性。 我们仅仅考虑到非零波子系数, 最高可达给定规模, 我们称之为贪婪近似, 我们利用波浪膨胀的极端偏狭性, 其来源于复合 Poisson 过程的片断性。 更准确地说, 我们为化合物 Poisson 进程贪婪近似的平均正方差错误提供了下限和上限。 然后我们可以推断出贪婪近似错误具有亚为耗尽性和超极极极极极极极极无药性行为。 最后, 我们提供数字实验, 以突出基于波浪的字典在达到复合 Poisson 过程的高度可压缩近比值方面的巨大能力 。

0
下载
关闭预览

相关内容

【硬核书】树与网络上的概率,716页pdf
专知会员服务
77+阅读 · 2021年12月8日
专知会员服务
32+阅读 · 2021年6月12日
【经典书】算法博弈论,775页pdf,Algorithmic Game Theory
专知会员服务
155+阅读 · 2021年5月9日
专知会员服务
51+阅读 · 2020年12月14日
《DeepGCNs: Making GCNs Go as Deep as CNNs》
专知会员服务
31+阅读 · 2019年10月17日
强化学习最新教程,17页pdf
专知会员服务
182+阅读 · 2019年10月11日
计算机 | 国际会议信息5条
Call4Papers
3+阅读 · 2019年7月3日
计算机 | IUI 2020等国际会议信息4条
Call4Papers
6+阅读 · 2019年6月17日
强化学习三篇论文 避免遗忘等
CreateAMind
20+阅读 · 2019年5月24日
Transferring Knowledge across Learning Processes
CreateAMind
29+阅读 · 2019年5月18日
IEEE | DSC 2019诚邀稿件 (EI检索)
Call4Papers
10+阅读 · 2019年2月25日
disentangled-representation-papers
CreateAMind
26+阅读 · 2018年9月12日
【NIPS2018】接收论文列表
专知
5+阅读 · 2018年9月10日
Hierarchical Disentangled Representations
CreateAMind
4+阅读 · 2018年4月15日
计算机视觉近一年进展综述
机器学习研究会
9+阅读 · 2017年11月25日
【论文】变分推断(Variational inference)的总结
机器学习研究会
39+阅读 · 2017年11月16日
Arxiv
0+阅读 · 2022年2月21日
Arxiv
0+阅读 · 2022年2月20日
Arxiv
0+阅读 · 2022年2月17日
VIP会员
相关资讯
计算机 | 国际会议信息5条
Call4Papers
3+阅读 · 2019年7月3日
计算机 | IUI 2020等国际会议信息4条
Call4Papers
6+阅读 · 2019年6月17日
强化学习三篇论文 避免遗忘等
CreateAMind
20+阅读 · 2019年5月24日
Transferring Knowledge across Learning Processes
CreateAMind
29+阅读 · 2019年5月18日
IEEE | DSC 2019诚邀稿件 (EI检索)
Call4Papers
10+阅读 · 2019年2月25日
disentangled-representation-papers
CreateAMind
26+阅读 · 2018年9月12日
【NIPS2018】接收论文列表
专知
5+阅读 · 2018年9月10日
Hierarchical Disentangled Representations
CreateAMind
4+阅读 · 2018年4月15日
计算机视觉近一年进展综述
机器学习研究会
9+阅读 · 2017年11月25日
【论文】变分推断(Variational inference)的总结
机器学习研究会
39+阅读 · 2017年11月16日
Top
微信扫码咨询专知VIP会员