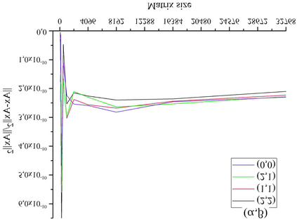
In calculating integral or discrete transforms, use has been made of fast algorithms for multiplying vectors by matrices whose elements are specified as values of special (Chebyshev, Legendre, Laguerre, etc.) functions. The currently available fast algorithms are several orders of magnitude less efficient than the fast Fourier transform. To achieve higher efficiency, a convenient general approach for calculating matrix-vector products for some class of problems is proposed. A series of fast simple-structure algorithms developed under this approach can be efficiently implemented with software based on modern microprocessors. The method has a pre-computation complexity of $O(N^2 \log N)$ and an execution complexity of $O(N \log N)$. The results of computational experiments with the algorithms show that these procedures can decrease the calculation time by several orders of magnitude compared with a conventional direct method of matrix-vector multiplication.


翻译:在计算整体或离散变异时,使用快速算法来计算乘量矢量,其要素被指定为特殊函数(Chebyshev、Tulture、Laguerre等)值的矩阵对乘量矢量作了快速算法。现有快速算法比快速傅里叶变异低几个数量级的效率。为了实现更高的效率,提议了一种方便的通用方法,用于计算某类问题的矩阵-矢量产品。在这种方法下开发的一系列快速简单结构算法可以通过基于现代微处理器的软件有效加以实施。该方法的计算前复杂性为$O(N%2\log N$),执行复杂性为$O(N\log N)。用算法进行的计算实验结果显示,与传统的矩阵-动量倍增直接法相比,这些程序可以减少数个数量级的计算时间。

0
下载
关闭预览

相关内容

FAST:Conference on File and Storage Technologies。 Explanation:文件和存储技术会议。 Publisher:USENIX。 SIT:http://dblp.uni-trier.de/db/conf/fast/
最新《自动微分》综述教程,71页ppt
专知会员服务
22+阅读 · 2020年11月22日
【干货书】机器学习速查手册,135页pdf
专知会员服务
127+阅读 · 2020年11月20日
一份简单《图神经网络》教程,28页ppt
专知会员服务
127+阅读 · 2020年8月2日
[综述]深度学习下的场景文本检测与识别
专知会员服务
78+阅读 · 2019年10月10日
机器学习入门的经验与建议
专知会员服务
94+阅读 · 2019年10月10日
计算机 | 入门级EI会议ICVRIS 2019诚邀稿件
Call4Papers
10+阅读 · 2019年6月24日
Hierarchically Structured Meta-learning
CreateAMind
27+阅读 · 2019年5月22日
实战 | 源码入门之Faster RCNN
计算机视觉life
19+阅读 · 2019年4月16日
人工智能 | ISAIR 2019诚邀稿件(推荐SCI期刊)
Call4Papers
6+阅读 · 2019年4月1日
IEEE | DSC 2019诚邀稿件 (EI检索)
Call4Papers
10+阅读 · 2019年2月25日
强化学习的Unsupervised Meta-Learning
CreateAMind
18+阅读 · 2019年1月7日
Ray RLlib: Scalable 降龙十八掌
CreateAMind
9+阅读 · 2018年12月28日
Auto-Encoding GAN
CreateAMind
7+阅读 · 2017年8月4日
强化学习 cartpole_a3c
CreateAMind
9+阅读 · 2017年7月21日
Arxiv
3+阅读 · 2018年10月18日
VIP会员
相关VIP内容
最新《自动微分》综述教程,71页ppt
专知会员服务
22+阅读 · 2020年11月22日
【干货书】机器学习速查手册,135页pdf
专知会员服务
127+阅读 · 2020年11月20日
一份简单《图神经网络》教程,28页ppt
专知会员服务
127+阅读 · 2020年8月2日
[综述]深度学习下的场景文本检测与识别
专知会员服务
78+阅读 · 2019年10月10日
机器学习入门的经验与建议
专知会员服务
94+阅读 · 2019年10月10日
相关资讯
计算机 | 入门级EI会议ICVRIS 2019诚邀稿件
Call4Papers
10+阅读 · 2019年6月24日
Hierarchically Structured Meta-learning
CreateAMind
27+阅读 · 2019年5月22日
实战 | 源码入门之Faster RCNN
计算机视觉life
19+阅读 · 2019年4月16日
人工智能 | ISAIR 2019诚邀稿件(推荐SCI期刊)
Call4Papers
6+阅读 · 2019年4月1日
IEEE | DSC 2019诚邀稿件 (EI检索)
Call4Papers
10+阅读 · 2019年2月25日
强化学习的Unsupervised Meta-Learning
CreateAMind
18+阅读 · 2019年1月7日
Ray RLlib: Scalable 降龙十八掌
CreateAMind
9+阅读 · 2018年12月28日
Auto-Encoding GAN
CreateAMind
7+阅读 · 2017年8月4日
强化学习 cartpole_a3c
CreateAMind
9+阅读 · 2017年7月21日
Top
微信扫码咨询专知VIP会员