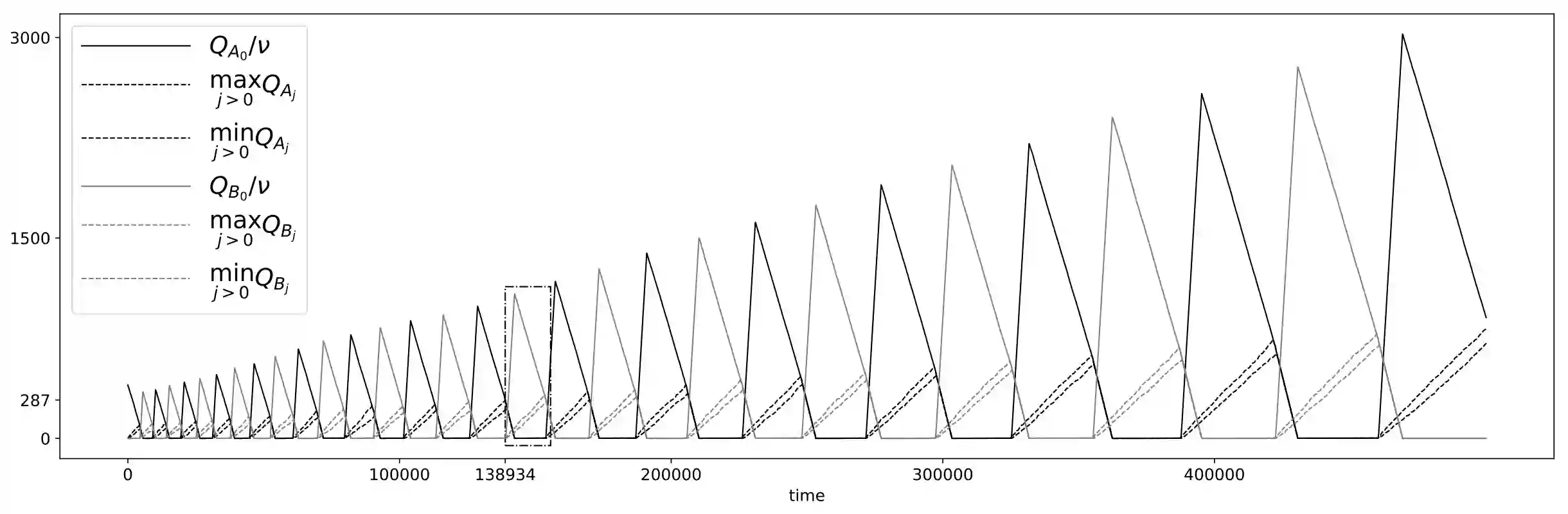
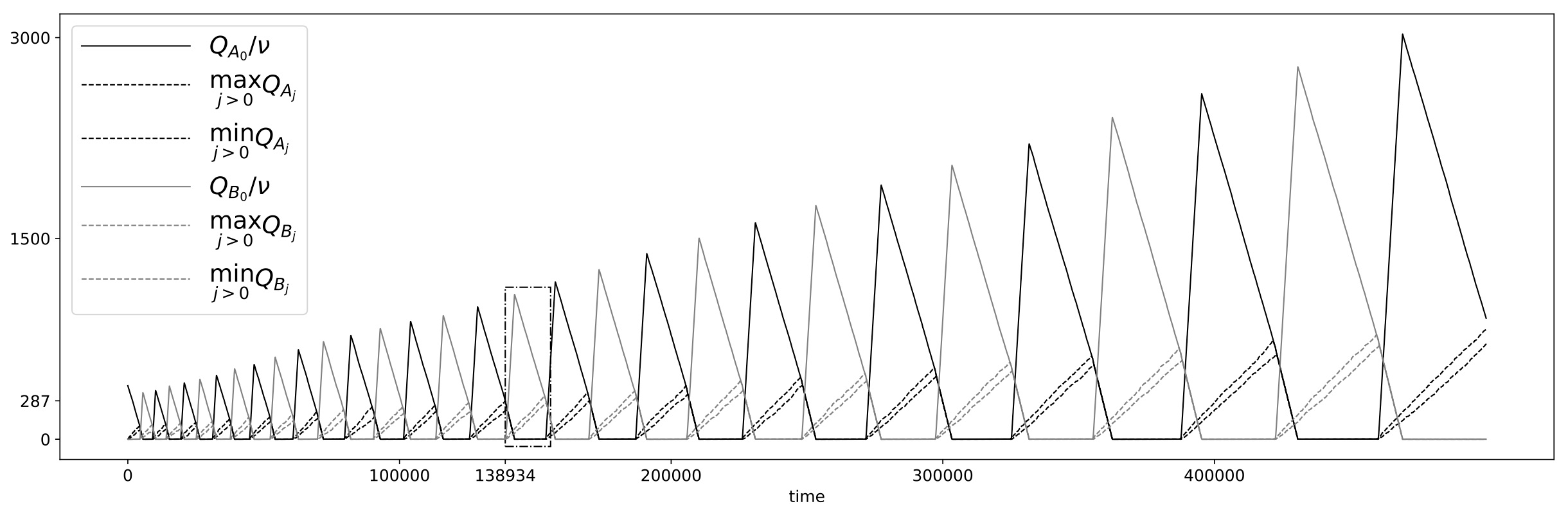
Consider a switched queueing network with general routing among its queues. The MaxWeight policy assigns available service by maximizing the objective function $\sum_j Q_j \sigma_j$ among the different feasible service options, where $Q_j$ denotes queue size and $\sigma_j$ denotes the amount of service to be executed at queue $j$. MaxWeight is a greedy policy that does not depend on knowledge of arrival rates and is straightforward to implement. These properties, as well as its simple formulation, suggest MaxWeight as a serious candidate for implementation in the setting of switched queueing networks; MaxWeight has been extensively studied in the context of communication networks. However, a fluid model variant of MaxWeight was shown by Andrews--Zhang (2003) not to be maximally stable. Here, we prove that MaxWeight itself is not in general maximally stable. We also prove MaxWeight is maximally stable in a much more restrictive setting, and that a weighted version of MaxWeight, where the weighting depends on the traffic intensity, is always stable.


翻译:考虑一个在队列之间有一般路由的换换队列网络。 MaxWeight 政策通过将目标函数$\sum_ j @ j\sigma_ j$最大化, 在不同可行的服务选项中分配了可用的服务, 目标函数$\sum_ j\ j\ sigma_ j$, $_j$ j$ 表示队列大小, 和$sgma_ j$ 表示要执行的服务量。 MaxWeight 是一个贪婪的政策, 不取决于对抵达率的了解, 并且可以直接执行。 这些属性及其简单表达方式, 表明 MaxWeight 是一个在设置被调换队列网络时执行的严肃候选对象; MaxWeight 已经在通信网络中进行了广泛的研究。 但是, Andrews- Zhang (2003) 显示的 MaxWeight 流体模型变体并不最稳定。 我们在这里证明 MaxWeight 本身不是一般最稳定。 我们还证明, 在更严格的环境中, MaxWeight 是最稳定的, 最稳定的, 而加权的版本, 而重的版本, 它的重量取决于取决于交通强度取决于交通强度。

0
下载
关闭预览

相关内容

神经常微分方程教程,50页ppt,A brief tutorial on Neural ODEs
专知会员服务
74+阅读 · 2020年8月2日
Linux导论,Introduction to Linux,96页ppt
专知会员服务
82+阅读 · 2020年7月26日
知识图谱推理,50页ppt,Salesforce首席科学家Richard Socher
专知会员服务
111+阅读 · 2020年6月10日
MIT-深度学习Deep Learning State of the Art in 2020,87页ppt
专知会员服务
62+阅读 · 2020年2月17日
深度强化学习策略梯度教程,53页ppt
专知会员服务
184+阅读 · 2020年2月1日
Stabilizing Transformers for Reinforcement Learning
专知会员服务
60+阅读 · 2019年10月17日
【哈佛大学商学院课程Fall 2019】机器学习可解释性
专知会员服务
105+阅读 · 2019年10月9日
【论文笔记】通俗理解少样本文本分类 (Few-Shot Text Classification) (1)
深度学习自然语言处理
7+阅读 · 2020年4月8日
Transferring Knowledge across Learning Processes
CreateAMind
29+阅读 · 2019年5月18日
强化学习的Unsupervised Meta-Learning
CreateAMind
18+阅读 · 2019年1月7日
Unsupervised Learning via Meta-Learning
CreateAMind
43+阅读 · 2019年1月3日
meta learning 17年:MAML SNAIL
CreateAMind
11+阅读 · 2019年1月2日
spinningup.openai 强化学习资源完整
CreateAMind
6+阅读 · 2018年12月17日
分布式TensorFlow入门指南
机器学习研究会
4+阅读 · 2017年11月28日
已删除
将门创投
5+阅读 · 2017年11月20日
Auto-Encoding GAN
CreateAMind
7+阅读 · 2017年8月4日
强化学习 cartpole_a3c
CreateAMind
9+阅读 · 2017年7月21日
Meta-learning with negative learning rates
Arxiv
2+阅读 · 2021年3月17日
VIP会员
相关VIP内容
神经常微分方程教程,50页ppt,A brief tutorial on Neural ODEs
专知会员服务
74+阅读 · 2020年8月2日
Linux导论,Introduction to Linux,96页ppt
专知会员服务
82+阅读 · 2020年7月26日
知识图谱推理,50页ppt,Salesforce首席科学家Richard Socher
专知会员服务
111+阅读 · 2020年6月10日
MIT-深度学习Deep Learning State of the Art in 2020,87页ppt
专知会员服务
62+阅读 · 2020年2月17日
深度强化学习策略梯度教程,53页ppt
专知会员服务
184+阅读 · 2020年2月1日
Stabilizing Transformers for Reinforcement Learning
专知会员服务
60+阅读 · 2019年10月17日
【哈佛大学商学院课程Fall 2019】机器学习可解释性
专知会员服务
105+阅读 · 2019年10月9日
相关资讯
【论文笔记】通俗理解少样本文本分类 (Few-Shot Text Classification) (1)
深度学习自然语言处理
7+阅读 · 2020年4月8日
Transferring Knowledge across Learning Processes
CreateAMind
29+阅读 · 2019年5月18日
强化学习的Unsupervised Meta-Learning
CreateAMind
18+阅读 · 2019年1月7日
Unsupervised Learning via Meta-Learning
CreateAMind
43+阅读 · 2019年1月3日
meta learning 17年:MAML SNAIL
CreateAMind
11+阅读 · 2019年1月2日
spinningup.openai 强化学习资源完整
CreateAMind
6+阅读 · 2018年12月17日
分布式TensorFlow入门指南
机器学习研究会
4+阅读 · 2017年11月28日
已删除
将门创投
5+阅读 · 2017年11月20日
Auto-Encoding GAN
CreateAMind
7+阅读 · 2017年8月4日
强化学习 cartpole_a3c
CreateAMind
9+阅读 · 2017年7月21日
Top
微信扫码咨询专知VIP会员