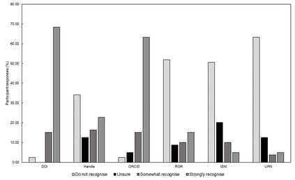
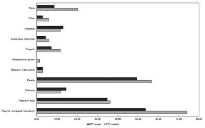
The increasing centrality of persistent identifiers (PIDs) to scholarly ecosystems and the contribution they can make to the burgeoning 'PID graph' has the potential to transform scholarship. Despite their importance as originators of PID data, little is known about researchers' awareness and understanding of PIDs, or their efficacy in using them. In this article we report on the results of an online interactive test designed to elicit exploratory data about researcher awareness and understanding of PIDs. This instrument was designed to explore recognition of PIDs and the extent to which researchers correctly apply PIDs within digital scholarly ecosystems, as well as measure researchers' perceptions of PIDs. Our results reveal irregular patterns of PID understanding and certainty across all participants, though statistically significant disciplinary and academic job role differences were observed in some instances. Uncertainty and confusion were found to exist in relation to dominant schemes such as ORCID and DOIs, even when contextualized within real-world examples. We also show researchers' perceptions of PIDs to be generally positive but that disciplinary differences can be noted, as well as higher levels of aversion to PIDs in specific use cases and negative perceptions where PIDs are measured on an 'activity' semantic dimension. This work therefore contributes to our understanding of academics' 'PID literacy' and should inform those designing PID-centric scholarly infrastructures, that a significant need for training and outreach to active researchers remains necessary.


翻译:持续识别器(PIDs)对学术生态系统的日益中心作用,以及它们能够对新兴的“PID图”作出的贡献,都有可能改变奖学金。尽管它们作为PID数据发端人的重要性,但研究人员对PID数据的认识和理解及其在使用这些识别器方面的功效却鲜为人知。在本篇文章中,我们报告了旨在获取关于研究人员对PID的认识和理解的探索性数据的在线互动测试结果。这个工具旨在探索对PID的承认,研究人员在数字学术生态系统中正确应用PID的程度,以及测量研究人员对PID的看法。我们的结果显示,所有参与者对PID的理解和确定性都存在不正常的形态,尽管在统计上重要的纪律和学术职务差异,或者在使用PID作用时也很少了解。我们发现,即使与现实世界的实例有关,在对PID的认知中,研究人员对PID的认识一般是积极的,但是可以注意到,对于PID的理解水平较高。因此,在具体案例中,对PID的理解水平和对PID的判断中,这种对PID具有重要的认识应该有助于设计对PID的学术性。

0
下载
关闭预览

相关内容

Linux导论,Introduction to Linux,96页ppt
专知会员服务
82+阅读 · 2020年7月26日
Keras François Chollet 《Deep Learning with Python 》, 386页pdf
专知会员服务
163+阅读 · 2019年10月12日
强化学习最新教程,17页pdf
专知会员服务
182+阅读 · 2019年10月11日
[综述]深度学习下的场景文本检测与识别
专知会员服务
78+阅读 · 2019年10月10日
机器学习入门的经验与建议
专知会员服务
94+阅读 · 2019年10月10日
【SIGGRAPH2019】TensorFlow 2.0深度学习计算机图形学应用
专知会员服务
41+阅读 · 2019年10月9日
VCIP 2022 Call for Demos
CCF多媒体专委会
1+阅读 · 2022年6月6日
征稿 | International Joint Conference on Knowledge Graphs (IJCKG)
开放知识图谱
2+阅读 · 2022年5月20日
Hierarchically Structured Meta-learning
CreateAMind
27+阅读 · 2019年5月22日
Transferring Knowledge across Learning Processes
CreateAMind
29+阅读 · 2019年5月18日
强化学习的Unsupervised Meta-Learning
CreateAMind
18+阅读 · 2019年1月7日
Unsupervised Learning via Meta-Learning
CreateAMind
43+阅读 · 2019年1月3日
A Technical Overview of AI & ML in 2018 & Trends for 2019
待字闺中
18+阅读 · 2018年12月24日
【推荐】SVM实例教程
机器学习研究会
17+阅读 · 2017年8月26日
国家自然科学基金
0+阅读 · 2015年12月31日
国家自然科学基金
0+阅读 · 2013年12月31日
国家自然科学基金
0+阅读 · 2012年12月31日
国家自然科学基金
0+阅读 · 2012年12月31日
国家自然科学基金
0+阅读 · 2011年12月31日
国家自然科学基金
0+阅读 · 2011年12月31日
Arxiv
0+阅读 · 2023年4月10日
Arxiv
0+阅读 · 2023年4月6日
Arxiv
10+阅读 · 2021年11月3日
Arxiv
38+阅读 · 2020年3月10日
A Comprehensive Survey on Transfer Learning
Arxiv
121+阅读 · 2019年11月7日
VIP会员
相关VIP内容
Linux导论,Introduction to Linux,96页ppt
专知会员服务
82+阅读 · 2020年7月26日
Keras François Chollet 《Deep Learning with Python 》, 386页pdf
专知会员服务
163+阅读 · 2019年10月12日
强化学习最新教程,17页pdf
专知会员服务
182+阅读 · 2019年10月11日
[综述]深度学习下的场景文本检测与识别
专知会员服务
78+阅读 · 2019年10月10日
机器学习入门的经验与建议
专知会员服务
94+阅读 · 2019年10月10日
【SIGGRAPH2019】TensorFlow 2.0深度学习计算机图形学应用
专知会员服务
41+阅读 · 2019年10月9日
相关资讯
VCIP 2022 Call for Demos
CCF多媒体专委会
1+阅读 · 2022年6月6日
征稿 | International Joint Conference on Knowledge Graphs (IJCKG)
开放知识图谱
2+阅读 · 2022年5月20日
Hierarchically Structured Meta-learning
CreateAMind
27+阅读 · 2019年5月22日
Transferring Knowledge across Learning Processes
CreateAMind
29+阅读 · 2019年5月18日
强化学习的Unsupervised Meta-Learning
CreateAMind
18+阅读 · 2019年1月7日
Unsupervised Learning via Meta-Learning
CreateAMind
43+阅读 · 2019年1月3日
A Technical Overview of AI & ML in 2018 & Trends for 2019
待字闺中
18+阅读 · 2018年12月24日
【推荐】SVM实例教程
机器学习研究会
17+阅读 · 2017年8月26日
相关基金
国家自然科学基金
0+阅读 · 2015年12月31日
国家自然科学基金
0+阅读 · 2013年12月31日
国家自然科学基金
0+阅读 · 2012年12月31日
国家自然科学基金
0+阅读 · 2012年12月31日
国家自然科学基金
0+阅读 · 2011年12月31日
国家自然科学基金
0+阅读 · 2011年12月31日
Top
微信扫码咨询专知VIP会员