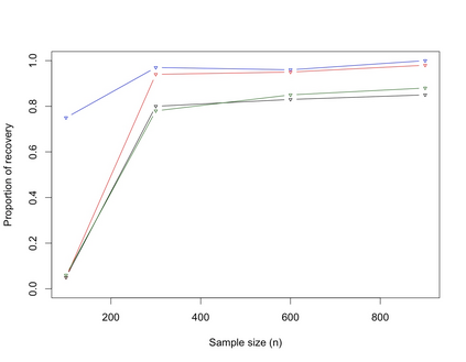
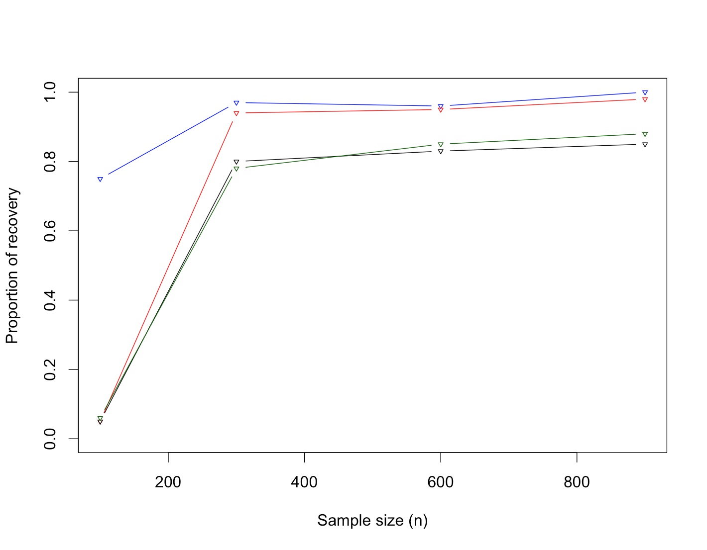
Clustering of proteins is of interest in cancer cell biology. This article proposes a hierarchical Bayesian model for protein (variable) clustering hinging on correlation structure. Starting from a multivariate normal likelihood, we enforce the clustering through prior modeling using angle based unconstrained reparameterization of correlations and assume a truncated Poisson distribution (to penalize the large number of clusters) as prior on the number of clusters. The posterior distributions of the parameters are not in explicit form and we use a reversible jump Markov chain Monte Carlo (RJMCMC) based technique is used to simulate the parameters from the posteriors. The end products of the proposed method are estimated cluster configuration of the proteins (variables) along with the number of clusters. The Bayesian method is flexible enough to cluster the proteins as well as the estimate the number of clusters. The performance of the proposed method has been substantiated with extensive simulation studies and one protein expression data with a hereditary disposition in breast cancer where the proteins are coming from different pathways.


翻译:蛋白质组群与癌症细胞生物学有关。 本文建议采用一种高层次的贝叶西亚蛋白( 变式) 组合模型, 将蛋白质( 变式) 组群放在相关结构上。 从多变的正常可能性开始, 我们通过使用基于角度的、 不加限制的对相关关系进行重新计数的先建模强制集聚, 并假设比先前的组群数多得多的Poisson分布( 以惩罚大量组群) 。 参数的后表分布没有明确的形式, 我们使用一种基于可逆跳跃 Markov 链 Monte Carlo ( RJMCMC) 的技术来模拟子宫的参数 。 拟议方法的最终产品是蛋白质( 变式) 和组群集数的估计组合组合组合。 贝伊斯 方法足够灵活地将蛋白质组群群群群聚集起来, 以及估计组群集的数量。 拟议方法的性表现得到了广泛的模拟研究的证实, 一个蛋白质表达数据得到了来自不同途径的乳腺癌遗传性处理。

0
下载
关闭预览

相关内容

最新《联邦学习Federated Learning》报告,Federated Learning
专知会员服务
91+阅读 · 2020年12月2日
【干货书】机器学习速查手册,135页pdf
专知会员服务
127+阅读 · 2020年11月20日
Linux导论,Introduction to Linux,96页ppt
专知会员服务
82+阅读 · 2020年7月26日
Keras François Chollet 《Deep Learning with Python 》, 386页pdf
专知会员服务
163+阅读 · 2019年10月12日
【哈佛大学商学院课程Fall 2019】机器学习可解释性
专知会员服务
105+阅读 · 2019年10月9日
ACM MM 2022 Call for Papers
CCF多媒体专委会
5+阅读 · 2022年3月29日
AIART 2022 Call for Papers
CCF多媒体专委会
1+阅读 · 2022年2月13日
【ICIG2021】Check out the hot new trailer of ICIG2021 Symposium8
中国图象图形学学会CSIG
0+阅读 · 2021年11月16日
【ICIG2021】Check out the hot new trailer of ICIG2021 Symposium3
中国图象图形学学会CSIG
0+阅读 · 2021年11月9日
Hierarchically Structured Meta-learning
CreateAMind
27+阅读 · 2019年5月22日
深度自进化聚类:Deep Self-Evolution Clustering
我爱读PAMI
15+阅读 · 2019年4月13日
Unsupervised Learning via Meta-Learning
CreateAMind
43+阅读 · 2019年1月3日
A Technical Overview of AI & ML in 2018 & Trends for 2019
待字闺中
18+阅读 · 2018年12月24日
【论文】变分推断(Variational inference)的总结
机器学习研究会
39+阅读 · 2017年11月16日
【推荐】SVM实例教程
机器学习研究会
17+阅读 · 2017年8月26日
国家自然科学基金
4+阅读 · 2015年12月31日
国家自然科学基金
0+阅读 · 2013年12月31日
国家自然科学基金
0+阅读 · 2012年12月31日
国家自然科学基金
0+阅读 · 2012年12月31日
国家自然科学基金
0+阅读 · 2011年12月31日
国家自然科学基金
0+阅读 · 2009年12月31日
国家自然科学基金
6+阅读 · 2008年12月31日
国家自然科学基金
0+阅读 · 2008年12月31日
Arxiv
0+阅读 · 2022年4月18日
Arxiv
0+阅读 · 2022年4月18日
Arxiv
0+阅读 · 2022年4月14日
Arxiv
23+阅读 · 2022年2月24日
Arxiv
10+阅读 · 2021年2月18日
Arxiv
15+阅读 · 2020年12月17日
VIP会员
相关资讯
ACM MM 2022 Call for Papers
CCF多媒体专委会
5+阅读 · 2022年3月29日
AIART 2022 Call for Papers
CCF多媒体专委会
1+阅读 · 2022年2月13日
【ICIG2021】Check out the hot new trailer of ICIG2021 Symposium8
中国图象图形学学会CSIG
0+阅读 · 2021年11月16日
【ICIG2021】Check out the hot new trailer of ICIG2021 Symposium3
中国图象图形学学会CSIG
0+阅读 · 2021年11月9日
Hierarchically Structured Meta-learning
CreateAMind
27+阅读 · 2019年5月22日
深度自进化聚类:Deep Self-Evolution Clustering
我爱读PAMI
15+阅读 · 2019年4月13日
Unsupervised Learning via Meta-Learning
CreateAMind
43+阅读 · 2019年1月3日
A Technical Overview of AI & ML in 2018 & Trends for 2019
待字闺中
18+阅读 · 2018年12月24日
【论文】变分推断(Variational inference)的总结
机器学习研究会
39+阅读 · 2017年11月16日
【推荐】SVM实例教程
机器学习研究会
17+阅读 · 2017年8月26日
相关基金
国家自然科学基金
4+阅读 · 2015年12月31日
国家自然科学基金
0+阅读 · 2013年12月31日
国家自然科学基金
0+阅读 · 2012年12月31日
国家自然科学基金
0+阅读 · 2012年12月31日
国家自然科学基金
0+阅读 · 2011年12月31日
国家自然科学基金
0+阅读 · 2009年12月31日
国家自然科学基金
6+阅读 · 2008年12月31日
国家自然科学基金
0+阅读 · 2008年12月31日
Top
微信扫码咨询专知VIP会员