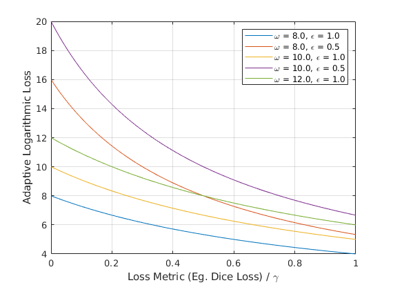
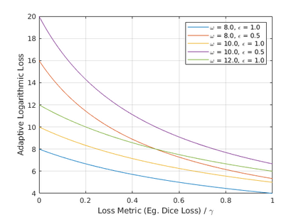
Loss functions are error metrics that quantify the difference between a prediction and its corresponding ground truth. Fundamentally, they define a functional landscape for traversal by gradient descent. Although numerous loss functions have been proposed to date in order to handle various machine learning problems, little attention has been given to enhancing these functions to better traverse the loss landscape. In this paper, we simultaneously and significantly mitigate two prominent problems in medical image segmentation namely: i) class imbalance between foreground and background pixels and ii) poor loss function convergence. To this end, we propose an adaptive logarithmic loss function. We compare this loss function with the existing state-of-the-art on the ISIC 2018 dataset, the nuclei segmentation dataset as well as the DRIVE retinal vessel segmentation dataset. We measure the performance of our methodology on benchmark metrics and demonstrate state-of-the-art performance. More generally, we show that our system can be used as a framework for better training of deep neural networks.


翻译:损失函数是量化预测与其相应的地面事实之间的差别的错误度量。 从根本上说, 它们界定了一种因梯度下降而跨度的功能景观。 虽然迄今为止已经提出了许多损失功能, 以便处理各种机器学习问题, 但很少注意加强这些功能, 以便更好地绕过损失景观。 在本文中, 我们同时并显著地缓解了医学图像分割的两个突出问题, 即: (一) 地表和背景像素之间的等级不平衡, 以及 (二) 损失函数的差异。 为此, 我们提议了一个适应性对数损失函数。 我们把这个损失函数与国际标准行业分类 2018 数据集、 核分离数据集 和 流体对流体对流数据集的现有最新技术进行比较。 我们测量了我们衡量基准度方法的性能, 并展示了最新性性能。 更一般地说, 我们表明, 我们的系统可以用作一个框架, 更好地培训深神经网络。

0
下载
关闭预览

相关内容

损失函数,在AI中亦称呼距离函数,度量函数。此处的距离代表的是抽象性的,代表真实数据与预测数据之间的误差。损失函数(loss function)是用来估量你模型的预测值f(x)与真实值Y的不一致程度,它是一个非负实值函数,通常使用L(Y, f(x))来表示,损失函数越小,模型的鲁棒性就越好。损失函数是经验风险函数的核心部分,也是结构风险函数重要组成部分。
Fariz Darari简明《博弈论Game Theory》介绍,35页ppt
专知会员服务
112+阅读 · 2020年5月15日
因果图,Causal Graphs,52页ppt
专知会员服务
253+阅读 · 2020年4月19日
机器学习入门的经验与建议
专知会员服务
94+阅读 · 2019年10月10日
强化学习三篇论文 避免遗忘等
CreateAMind
20+阅读 · 2019年5月24日
Transferring Knowledge across Learning Processes
CreateAMind
29+阅读 · 2019年5月18日
强化学习的Unsupervised Meta-Learning
CreateAMind
18+阅读 · 2019年1月7日
无监督元学习表示学习
CreateAMind
27+阅读 · 2019年1月4日
Unsupervised Learning via Meta-Learning
CreateAMind
43+阅读 · 2019年1月3日
gan生成图像at 1024² 的 代码 论文
CreateAMind
4+阅读 · 2017年10月31日
Auto-Encoding GAN
CreateAMind
7+阅读 · 2017年8月4日
Meta-Learning to Cluster
Arxiv
18+阅读 · 2019年10月30日
Learning to Weight for Text Classification
Arxiv
8+阅读 · 2019年3月28日
A General and Adaptive Robust Loss Function
Arxiv
8+阅读 · 2018年11月5日
VIP会员
相关资讯
强化学习三篇论文 避免遗忘等
CreateAMind
20+阅读 · 2019年5月24日
Transferring Knowledge across Learning Processes
CreateAMind
29+阅读 · 2019年5月18日
强化学习的Unsupervised Meta-Learning
CreateAMind
18+阅读 · 2019年1月7日
无监督元学习表示学习
CreateAMind
27+阅读 · 2019年1月4日
Unsupervised Learning via Meta-Learning
CreateAMind
43+阅读 · 2019年1月3日
gan生成图像at 1024² 的 代码 论文
CreateAMind
4+阅读 · 2017年10月31日
Auto-Encoding GAN
CreateAMind
7+阅读 · 2017年8月4日
Top
微信扫码咨询专知VIP会员