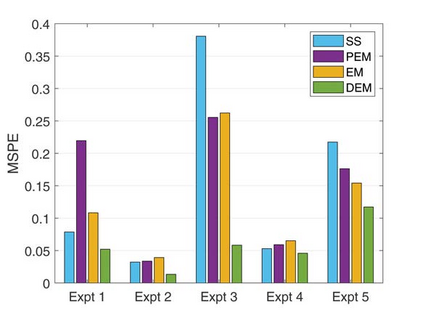
The quest for a brain-inspired learning algorithm for robots has culminated in the free energy principle from neuroscience that models the brain's perception and action as an optimization over its free energy objectives. Based on this idea, we propose an estimation algorithm for accurate output prediction of a quadrotor flying under unmodelled wind conditions. The key idea behind this work is the handling of unmodelled wind dynamics and the model's non-linearity errors as coloured noise in the system, and leveraging it for accurate output predictions. This paper provides the first experimental validation for the usefulness of generalized coordinates for robot perception using Dynamic Expectation Maximization (DEM). Through real flight experiments, we show that the estimator outperforms classical estimators with the least error in output predictions. Based on the experimental results, we extend the DEM algorithm for model order selection for complete black box identification. With this paper, we provide the first experimental validation of DEM applied to robot learning.


翻译:探索由大脑启发的机器人学习算法最终产生了神经科学自由能源原则,该原则将大脑的感知和行动模拟为对其自由能源目标的优化。 基于这一想法,我们提出一个估算算法,用于准确预测在非模拟风力条件下飞行的二次钻探机的产出。 这项工作的关键理念是处理非模拟风力动态和模型的非线性误差,作为系统中的彩色噪音,并利用模型的非线性误差进行精确输出预测。 本文为利用动态预期最大化( DEM)来验证机器人感知通用坐标的效用提供了第一次实验性验证。 通过实际飞行实验, 我们显示测量仪比典型的测算法要优于输出预测中差最小的经典测算器。 基于实验结果, 我们扩展了DM算法, 用于选择完全黑盒识别的模型。 有了这个论文, 我们为机器人学习应用的DM首次实验验证提供了应用的通用坐标的用途。

0
下载
关闭预览

相关内容

专知会员服务
51+阅读 · 2020年12月14日
Stabilizing Transformers for Reinforcement Learning
专知会员服务
60+阅读 · 2019年10月17日
Keras François Chollet 《Deep Learning with Python 》, 386页pdf
专知会员服务
163+阅读 · 2019年10月12日
强化学习最新教程,17页pdf
专知会员服务
182+阅读 · 2019年10月11日
【SIGGRAPH2019】TensorFlow 2.0深度学习计算机图形学应用
专知会员服务
41+阅读 · 2019年10月9日
Unsupervised Learning via Meta-Learning
CreateAMind
43+阅读 · 2019年1月3日
meta learning 17年:MAML SNAIL
CreateAMind
11+阅读 · 2019年1月2日
A Technical Overview of AI & ML in 2018 & Trends for 2019
待字闺中
18+阅读 · 2018年12月24日
disentangled-representation-papers
CreateAMind
26+阅读 · 2018年9月12日
Hierarchical Imitation - Reinforcement Learning
CreateAMind
19+阅读 · 2018年5月25日
Adversarial Variational Bayes: Unifying VAE and GAN 代码
CreateAMind
7+阅读 · 2017年10月4日
【推荐】Python机器学习生态圈(Scikit-Learn相关项目)
机器学习研究会
6+阅读 · 2017年8月23日
强化学习 cartpole_a3c
CreateAMind
9+阅读 · 2017年7月21日
Arxiv
11+阅读 · 2019年4月15日
Arxiv
3+阅读 · 2018年12月17日
Deep Learning
Arxiv
6+阅读 · 2018年8月3日
Arxiv
6+阅读 · 2018年4月24日
Arxiv
9+阅读 · 2018年3月20日
Arxiv
4+阅读 · 2018年3月19日
Arxiv
3+阅读 · 2014年10月9日
VIP会员
相关资讯
Unsupervised Learning via Meta-Learning
CreateAMind
43+阅读 · 2019年1月3日
meta learning 17年:MAML SNAIL
CreateAMind
11+阅读 · 2019年1月2日
A Technical Overview of AI & ML in 2018 & Trends for 2019
待字闺中
18+阅读 · 2018年12月24日
disentangled-representation-papers
CreateAMind
26+阅读 · 2018年9月12日
Hierarchical Imitation - Reinforcement Learning
CreateAMind
19+阅读 · 2018年5月25日
Adversarial Variational Bayes: Unifying VAE and GAN 代码
CreateAMind
7+阅读 · 2017年10月4日
【推荐】Python机器学习生态圈(Scikit-Learn相关项目)
机器学习研究会
6+阅读 · 2017年8月23日
强化学习 cartpole_a3c
CreateAMind
9+阅读 · 2017年7月21日
相关论文
Arxiv
11+阅读 · 2019年4月15日
Arxiv
3+阅读 · 2018年12月17日
Deep Learning
Arxiv
6+阅读 · 2018年8月3日
Arxiv
6+阅读 · 2018年4月24日
Arxiv
9+阅读 · 2018年3月20日
Arxiv
4+阅读 · 2018年3月19日
Arxiv
3+阅读 · 2014年10月9日
Top
微信扫码咨询专知VIP会员