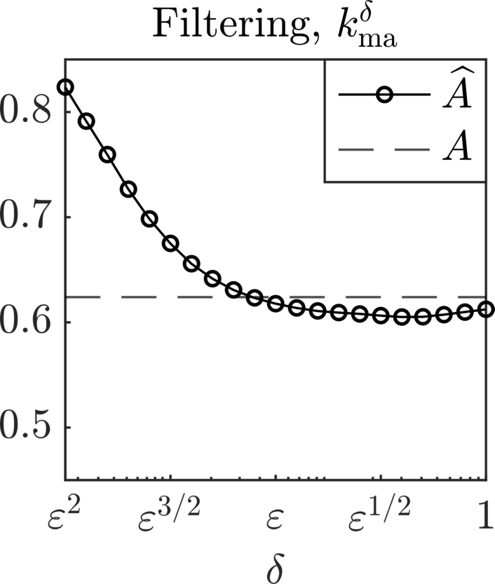
We present a methodology based on filtered data and moving averages for estimating robustly effective dynamics from observations of multiscale systems. We show in a semi-parametric framework of the Langevin type that the method we propose is asymptotically unbiased with respect to homogenization theory. Moreover, we demonstrate with a series of numerical experiments that the method we propose here outperforms traditional techniques for extracting coarse-grained dynamics from data, such as subsampling, in terms of bias and of robustness.


翻译:我们提出了一个基于过滤数据和移动平均数的方法,用于从多尺度系统的观测中估算稳健有效的动态。我们在Langevin类型的半参数框架中显示,我们建议的方法在同质化理论方面是无差别的。此外,我们用一系列数字实验来证明,我们在这里提出的方法在偏向和稳健方面超过了从数据中提取粗重重重力动态的传统技术,例如子抽样,在偏差和稳健性方面。

0
下载
关闭预览

相关内容

【Google-Marco Cuturi】最优传输,339页ppt,Optimal Transport
专知会员服务
48+阅读 · 2021年10月26日
迁移学习简明教程,11页ppt
专知会员服务
109+阅读 · 2020年8月4日
一份循环神经网络RNNs简明教程,37页ppt
专知会员服务
173+阅读 · 2020年5月6日
因果图,Causal Graphs,52页ppt
专知会员服务
253+阅读 · 2020年4月19日
强化学习最新教程,17页pdf
专知会员服务
182+阅读 · 2019年10月11日
Transferring Knowledge across Learning Processes
CreateAMind
29+阅读 · 2019年5月18日
ICLR2019最佳论文出炉
专知
12+阅读 · 2019年5月6日
无监督元学习表示学习
CreateAMind
27+阅读 · 2019年1月4日
Unsupervised Learning via Meta-Learning
CreateAMind
43+阅读 · 2019年1月3日
Disentangled的假设的探讨
CreateAMind
9+阅读 · 2018年12月10日
【泡泡机器人原创专栏】IMU预积分总结与公式推导(一)
泡泡机器人SLAM
21+阅读 · 2018年7月22日
已删除
将门创投
4+阅读 · 2018年6月1日
Hierarchical Disentangled Representations
CreateAMind
4+阅读 · 2018年4月15日
【论文】变分推断(Variational inference)的总结
机器学习研究会
39+阅读 · 2017年11月16日
Arxiv
0+阅读 · 2021年10月24日
Arxiv
0+阅读 · 2021年10月23日
VIP会员
相关VIP内容
相关资讯
Transferring Knowledge across Learning Processes
CreateAMind
29+阅读 · 2019年5月18日
ICLR2019最佳论文出炉
专知
12+阅读 · 2019年5月6日
无监督元学习表示学习
CreateAMind
27+阅读 · 2019年1月4日
Unsupervised Learning via Meta-Learning
CreateAMind
43+阅读 · 2019年1月3日
Disentangled的假设的探讨
CreateAMind
9+阅读 · 2018年12月10日
【泡泡机器人原创专栏】IMU预积分总结与公式推导(一)
泡泡机器人SLAM
21+阅读 · 2018年7月22日
已删除
将门创投
4+阅读 · 2018年6月1日
Hierarchical Disentangled Representations
CreateAMind
4+阅读 · 2018年4月15日
【论文】变分推断(Variational inference)的总结
机器学习研究会
39+阅读 · 2017年11月16日
Top
微信扫码咨询专知VIP会员