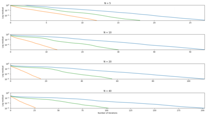
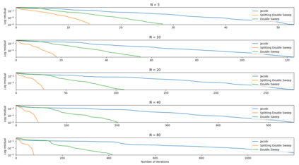
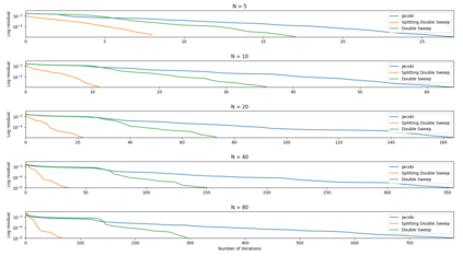
We consider the domain decomposition method approach to solve the Helmholtz equation. Double sweep based approaches for overlapping decompositions are presented. In particular, we introduce an overlapping splitting double sweep (OSDS) method valid for any type of interface boundary conditions. Despite the fact that first order interface boundary conditions are used, the OSDS method demonstrates good stability properties with respect to the number of subdomains and the frequency even for heterogeneous media. In this context, convergence is improved when compared to the double sweep methods in Nataf et al. (1997) and Vion et al. (2014, 2016} for all of our test cases: waveguide, open cavity and wedge problems.


翻译:我们考虑了解决Helmholtz等式的域分解方法,提出了重叠分解的双向拆解方法,特别是,我们采用了对任何类型的界面边界条件都适用的重叠分拆双向拆解方法,尽管使用了第一顺序的界面边界条件,但OSDS方法在子域数和甚至多种媒体的频率方面显示出了良好的稳定性。在这方面,与Nataf等人(1997年)和Vion等人(2014年、2016年)的双向拆解方法相比,我们所有试验案例(波导、开腔和wedge问题)的趋同性得到了改进。

0
下载
关闭预览

相关内容

CASES:International Conference on Compilers, Architectures, and Synthesis for Embedded Systems。 Explanation:嵌入式系统编译器、体系结构和综合国际会议。 Publisher:ACM。 SIT: http://dblp.uni-trier.de/db/conf/cases/index.html
专知会员服务
30+阅读 · 2021年2月17日
专知会员服务
33+阅读 · 2020年10月2日
TensorFlowLite:端侧机器学习框架
专知会员服务
33+阅读 · 2020年8月27日
专知会员服务
87+阅读 · 2019年12月13日
Hierarchically Structured Meta-learning
CreateAMind
27+阅读 · 2019年5月22日
已删除
德先生
53+阅读 · 2019年4月28日
动物脑的好奇心和强化学习的好奇心
CreateAMind
10+阅读 · 2019年1月26日
逆强化学习-学习人先验的动机
CreateAMind
16+阅读 · 2019年1月18日
【泡泡一分钟】基于运动估计的激光雷达和相机标定方法
泡泡机器人SLAM
25+阅读 · 2019年1月17日
A Technical Overview of AI & ML in 2018 & Trends for 2019
待字闺中
18+阅读 · 2018年12月24日
Arxiv
0+阅读 · 2021年3月19日
VIP会员
相关VIP内容
专知会员服务
30+阅读 · 2021年2月17日
专知会员服务
33+阅读 · 2020年10月2日
TensorFlowLite:端侧机器学习框架
专知会员服务
33+阅读 · 2020年8月27日
专知会员服务
87+阅读 · 2019年12月13日
相关资讯
Hierarchically Structured Meta-learning
CreateAMind
27+阅读 · 2019年5月22日
已删除
德先生
53+阅读 · 2019年4月28日
动物脑的好奇心和强化学习的好奇心
CreateAMind
10+阅读 · 2019年1月26日
逆强化学习-学习人先验的动机
CreateAMind
16+阅读 · 2019年1月18日
【泡泡一分钟】基于运动估计的激光雷达和相机标定方法
泡泡机器人SLAM
25+阅读 · 2019年1月17日
A Technical Overview of AI & ML in 2018 & Trends for 2019
待字闺中
18+阅读 · 2018年12月24日
Top
微信扫码咨询专知VIP会员