AABO:自适应最优化Anchor设置,性能榨取的最后一步丨ECCV 2020 Spotlight

2020 年 9 月 22 日 极市平台
↑ 点击 蓝字  关注极市平台

作者丨 VincentLee
来源丨  晓飞的算法工程笔记
编辑丨极市平台

极市导读

 

这篇论文分析了现有超参数优化方法的优劣,并提出了一种基于贝叶斯优化和Sub-Sample的新方案——自适应的anchor box优化方法AABO。它能高效搜索到最优的anchor设置,挖掘算法潜力。>>加入极市CV技术交流群,走在计算机视觉的最前沿


AABO: Adaptive Anchor Box Optimization for Object Detection via Bayesian Sub-sampling




论文地址:https://arxiv.org/abs/2007.09336


Introduction

目前,主流的目标检测算法使用多种形状的anchor box作为初始预测,然后对anchor box进行回归调整,anchor box的配置是检测算法中十分重要的超参数。一般而言,anchor box的配置都是简单地通过人为指定,比如Faster R-CNN经典的的9种形状,也可以像YOLO一样通过k-means对数据集进行分析,得出特定的配置。

为了人工设置超参数的环节,近年来很多关于超参数优化问题(HPO, hyper-parameter optimization)的研究,最有效的方法为贝叶斯优化(BO)和bandit-based策略。在分析了当前方法的优劣后,论文提出一种自适应的anchor box优化方法AABO,该方法基于贝叶斯优化和Sub-Sample方法,能够自动切高效地搜索到最优的anchor设置,榨干主流目标检测算法的潜力。

Relative Method

这里先对论文经常提及的3种超参数搜索方法进行简单的介绍,方便下面的理解。

Bayesian optimization

超参数的验证通常需要进行模型训练,会耗费大量的时间,所以贝叶斯优化的核心是使用替代模型(prior function)来代理目标模型,替代模型一般为概率分布模型。在得到替代模型后,使用采集函数(acquisition function)从候选集中选择一组合适的超参数进行测试,采集函数需要能够很好地平衡exploitation和exploration,测试则是使用目标模型进行正常的训练和验证,最后将当前结果加入观测数据中,用于训练替代模型,反复进行上述的操作。



贝叶斯优化的完整流程如上面所示,在每轮的迭代中基于替代模型和采集函数获取一组超参数,然后使用目标模型进行验证,最后将验证结果加入观测数据集并更新替代模型。

Hyperband

Bandit-based方法在限定资源的情况以高效的策略寻找最优超参数,资源可为时间、迭代次数等,而Hyperband是经典的bandit-based方法。Hyperband在Successive Halving算法的基础上进行了扩展,每次选取一批超参数进行多轮迭代,每轮迭代将资源 均匀地分配给待验证的超参数组合,每轮结束时保留 超参数组合进行下一轮。
Hyperband的完整流程如上面所示, 为单超参数分组可分配的最大资源,包含两个循环,外循环负责控制每次验证的初始可分配的资源数 以及验证的分组数 ,逐步增加 和减少 ,分组由随机采样所得。内循环则进行Successive Halving算法,共进行 次迭代,逐步增加每组的可分配资源,并且每次保留最优的 分组。

BOHB

实际上,上面的两种经典超参数方法都有其各自的优缺点,贝叶斯优化虽然搜索高效,但是容易陷入局部最优解,而Hyperband虽然搜索比较全面,但效率不够高。所以,BOHB结合了贝叶斯优化和Hyperband进行超参数优化。
图1
BOHO的完整流程如上所示,可简单地认为将Hyperband的随机采样替换为贝叶斯优化进行采样,然后将Hyperband的超参数组合及其对应的输出加入到观测数据中,用于更新替代模型。需要注意的是,BOHO的替代模型是一个多维核密度估计(KDE)模型,类似于TPE(Tree Parzen Estimator)。如论文提到的,BOHO有一个比较严重的问题,对于难学习的样本,一般需要较长的训练周期,而由于BOHO使用HyperBand进行快速验证,所以不一定能完整地测出超参数的真实准确率,导致最终的结果有偏差。

Preliminary Analysis

Default Anchors Are Not Optimal

图2
随机采样100组不同的anchor设置,每组包含3种尺寸和3种长宽比,然后与Faster R-CNN的默认anchor配置进行性能对比。结果如上图所示,红线为默认设置的性能,可以看到,默认设置并不是最优的。

Anchors Influence More Than RPN Structure

图3
使用BOHB同时搜索RPN head结构以及anchor设置,RPN head的搜索空间如上图所示。
结果如上表所示,可以看到anchor设置搜索带来的性能提升在一定程度上要高于RPN head结构搜索。

Search Space Optimization for Anchors

论文通过分析目标bbox的分布特性,设计了紧密的搜索空间,主要基于以下两个特性。
Upper and Lower Limits of the Anchors
论文对COCO数据集目标的尺寸和长宽比进行统计,并且得到了ratio的上界和下界:
图4
统计结果如上图所示,其中蓝点为每个目标,黄线分别为上界和下界,中间的黑色长方形为BOHB搜索实验的搜索空间。可以看到,有一部分的搜索空间在上界和下界之外,是无效的搜索,所以约束搜索空间在上界和下界之间是有必要的。另外,图中有5个红色的框,是论文为RPN的每层设定的对应搜索空间,下面会提到。

Adaptive Feature-Map-Wised Search Space

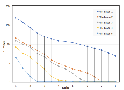
图5
论文对FPN每层的输出进行了统计,结果如上图所示。可以看到,不同层包含不同数量和不同形状的输出,随着层数的增加,anchor的数量越少,长宽比范围也越小。
图6
基于上面的分析,论文设计了自适应FPN的搜索空间,图4中的5个红框与上下界之间的区域即为FPN每层对应的搜索空间。具体搜索如上图所示,每层都有独立的搜索空间,层数越大,anchor的数量、尺寸范围和长宽比范围越小。实际上,与图4的黑矩形框搜索空间对比,这种自适应FPN搜索空间更大,而且每层较小的搜索空间有助于HPO算法的更集中地进行搜索。

Bayesian Anchor Optimization via Sub-sampling

图7
论文提出的搜索方法如图7所示,包含BO和子采样方法,分别用于选择潜在的设置以及为不同的设置分配不同的计算资源。整体思路和BOHB类似,将其中的Hyperband替换成了Sub-Sample方法。

Bayesian Optimization

论文在实现时,BO模块与与BOHB类似,使用TPE(Tree Parzen Estimator)作为核密度函数进行建模,TPE包含两个概率密度函数: ,分别表示结果好的概率和结果差的概率,其中 为当前的观测数据, 为当前观测数据的最优结果,采样时取 最大的超参数组合。需要注意的是,由于Hyperband只保证最种输出的结果的准确性,其它结果由于在中途就停止了,资源不足,输出不一定准确,直接用这些结果来对 进行训练会造成很大的误差,所以需要一个更好的方法来解决这个问题。

Sub-Sample Method

Sub-Sample也是bandit-based方法,在资源有限的情况,尽可能测试出优质的候选超参数组合。定义 为候选超参数组合,Sub-Sample方法基于观测数据 进行选择,  为当前观测点相对于上一个观测点的收益。
Sub-Sample方法如上所示,首先对所有超参数组合进行最小资源 的测试,得到一批观测数据,然后每轮选取已使用资源最多超参数组合作为leader,若其它组合优于leader,则赋予其资源 ,否则赋予leader资源 ,判断当前组合 是否优于leader组合 有以下两个规则:
第一条规则根据观测次数进行判断, 为非负单调阈值,用于控制每个超参数的最小观测次数,一般设为 。第二条规则根据两个组合的近期收益进行判断,收益更高即为优。

Experiment


COCO数据集上搜索到的最优anchor组合。
在不同的数据集上进行对比。
嵌入SOTA方法进行对比。
与其它方法的对比实验。

Conclustion

论文提出超参数优化方法AABO,该方法核心基于贝叶斯优化和Sub-Sample方法,能够自适应的搜索最优的anchor设置。从实验结果来看,AABO能够仅通过anchor设置优化,为SOTA目标检测方法带来1.4%~2.4%的性能提升。 

参考资料

BOHB -- https://nni.readthedocs.io/zh/latest/Tuner/BohbAdvisor.html


推荐阅读



来测一测你是几级的炼丹师?

添加极市小助手微信(ID : cvmart2),备注:姓名-学校/公司-研究方向-城市(如:小极-北大-目标检测-深圳),即可申请加入极市目标检测/图像分割/工业检测/人脸/医学影像/3D/SLAM/自动驾驶/超分辨率/姿态估计/ReID/GAN/图像增强/OCR/视频理解等技术交流群:每月大咖直播分享、真实项目需求对接、求职内推、算法竞赛、干货资讯汇总、与 10000+来自港科大、北大、清华、中科院、CMU、腾讯、百度等名校名企视觉开发者互动交流~

△长按添加极市小助手

△长按关注极市平台,获取 最新CV干货

觉得有用麻烦给个在看啦~   
登录查看更多
1

相关内容

专知会员服务
51+阅读 · 2020年10月21日
【NeurIPS 2020】对比学习全局和局部医学图像分割特征
专知会员服务
44+阅读 · 2020年10月20日
最新《图嵌入组合优化》综述论文,40页pdf
专知会员服务
78+阅读 · 2020年8月31日
深度学习目标检测方法综述
专知会员服务
280+阅读 · 2020年8月1日
专知会员服务
164+阅读 · 2020年4月21日
专知会员服务
55+阅读 · 2020年3月16日
深度学习视频中多目标跟踪:论文综述
专知会员服务
94+阅读 · 2019年10月13日
自动机器学习:最新进展综述
专知会员服务
124+阅读 · 2019年10月13日
最全综述 | 图像目标检测
计算机视觉life
31+阅读 · 2019年6月24日
一种小目标检测中有效的数据增强方法
极市平台
119+阅读 · 2019年3月23日
ECCV 2018 | Bi-box行人检测:‘行人遮挡’为几何?
极市平台
13+阅读 · 2018年9月30日
ECCV 2018 | OR-CNN行人检测:为‘遮挡’而生
极市平台
6+阅读 · 2018年9月21日
Arxiv
0+阅读 · 2020年12月2日
EfficientDet: Scalable and Efficient Object Detection
Arxiv
6+阅读 · 2019年11月20日
Arxiv
5+阅读 · 2018年4月17日
VIP会员
相关VIP内容
专知会员服务
51+阅读 · 2020年10月21日
【NeurIPS 2020】对比学习全局和局部医学图像分割特征
专知会员服务
44+阅读 · 2020年10月20日
最新《图嵌入组合优化》综述论文,40页pdf
专知会员服务
78+阅读 · 2020年8月31日
深度学习目标检测方法综述
专知会员服务
280+阅读 · 2020年8月1日
专知会员服务
164+阅读 · 2020年4月21日
专知会员服务
55+阅读 · 2020年3月16日
深度学习视频中多目标跟踪:论文综述
专知会员服务
94+阅读 · 2019年10月13日
自动机器学习:最新进展综述
专知会员服务
124+阅读 · 2019年10月13日
Top
微信扫码咨询专知VIP会员