把空泡放在声场中,我们会发现什么?

2018 年 12 月 18 日 中科院物理所

张宇宁 英国曼彻斯特大学材料系

 

声空化是研究空泡在声场下的动力学及其产生的一些物理和化学现象的一门学科。

 

这门学科有着丰富的内涵,比如传热、传质、非线性和混沌等。图1显示了单个空泡在声场下的非线性振荡。在一个空泡振荡周期内,空泡先逐渐膨胀,直到半径增加至其初始半径的数倍,然后空泡迅速地进行若干次溃灭(即空泡半径减小)。在一定的声场参数下,空泡可以产生异常剧烈的振荡,并在其内部产生高温高压的环境和化学反应(图2),甚至可以发光(图3)。目前声空化效应应用于众多领域。

 

图1 球形空泡在声场下的非线性振荡示意图

 


图2 单个空泡产生的化学反应示意图。

图中的轨迹显示了化学反应后的产物

 


图3 单空泡声致发光装置。

中间的亮点即发光中的单个空泡。

该装置中空泡的发光非常稳定,可以持续几天

 


1. 结石治疗中的空化效应


体外激波碎石法是一种现在广泛流行的无创结石治疗技术,空化效应在此项治疗技术中起到了重要的作用。与传统的波不同,当激波经过流体时,由于激波携带很高的能量,流体内部的压强等物理参数会骤然升高,造成激波两侧的物理量发生剧烈的变化。在激波的作用下,空泡会剧烈的振荡并且在此过程中也释放出激波,与原有激波产生相互作用。空泡在溃灭过程中会产生很强的破坏力(如产生微射流等),处于其周围的物体会受到不同程度的破坏。

 

体外激波碎石法1980 年由德国的公司发明,并于1983 年实现商业化,随后成为治疗结石的一项常规技术。治疗过程中,在激波发生器和人体接触的部位进行一定的特殊处理,保证产生的聚焦的激波(波形见图4)可以比较容易的穿过人体的脂肪和组织等部位,最终作用在人体中的结石部位并将其击碎。激波粉碎结石的机理包含很多物理效应,包括应力的破坏,空化效应和疲劳等。

 

图4 典型的用于碎石的激波的波形

 

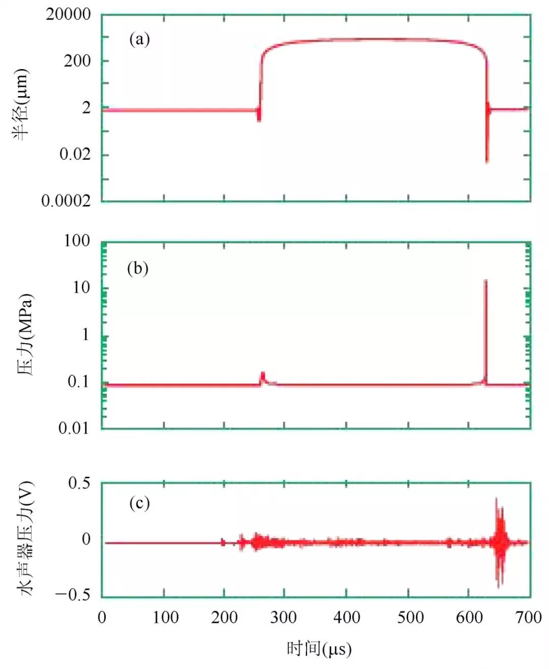
图4显示了一个典型的体外激波碎石法采用的完整的激波波形。首先该波的压力在很短的时间内迅速升高到约40MPa,然后逐步降低到约负50MPa,最后逐渐恢复到初始的压力值。一般来讲,一次治疗需要约1500~3000个如图4 中所示的激波脉冲,治疗过程大概持续30分钟左右。治疗的目的为,通过高能量的激波将人体内的结石粉碎为较小的碎块,以便可以自然的通过尿道等部位排出人体或者通过服用相关药物溶解掉。在体外激波碎石过程中,空化效应扮演着重要角色(图5)。图5(a)和(b)分别显示了理论计算得到的空泡在聚焦的激波作用下的半径变化及其产生的压力波的示意图。图5(c)显示了采用水声器测量得到的空泡产生的压力波的示意图。图5 中,聚焦的激波大约在250ms到达聚焦中心,人体中自然存在的微米尺度的空泡在激波的作用下首先被强力的压缩(图5中250ms 左右区域),然后微空泡急剧膨胀到毫米级空泡(图5中250~620ms 区域),最后,这些空泡剧烈的溃灭(图5中620ms 左右区域)。在空泡溃灭过程中,将产生强烈的激波,并产生高速微射流。整个空化云(即由很多空泡组成的空泡团)溃灭的物理过程见图6。整个空化云呈半球形,接近结石部分的空泡先向内部收缩,最终整个空化云在其中心剧烈溃灭。因此,在体外激波碎石法治疗过程中,产生的空化效应可以协助治疗,促进结石的粉碎和分解等。

 


图5 (a)空泡的半径随时间变化示意图;

(b)空泡产生的压力波随时间变化示意图;

(c)通过水声器检测到的压力信号随时间变化示意图




 图6高速摄影拍摄到的体外激波碎石过程中结石表面的空化云溃灭过程

 

需要指出的是,空泡对激波能量在人体中的传输过程有非常重要的影响。当激波在充满空泡的液体中传播时,由于空泡的振荡和引起的激波反射等物理过程的存在,激波的能量会很大程度地被耗散掉,从而导致激波能量无法聚焦在结石附近。例如,如果激波传送的频率过高(如频率高于1 Hz),由于前面的激波产生的空泡来不及溶解掉,激波的能量会大量被空泡耗散掉,从而导致无法达到预定的治疗效果。因此,合理的选择激波的参数是达到良好治疗效果的一个重要因素。

 

尽管体外激波碎石法被广泛应用,该方法却有一定的副作用(如可能引起出血、高血压、血栓和肾损伤等),可能引起病人治疗期间的不适,并且对胆结石和比较大的结石无明显疗效。鉴于该方法的上述缺点,一些新兴的替代技术(比如肾盂镜激光碎石术等)已经得到一定程度的应用。其他正在研发中的碎石技术包括体外无创聚焦超声波碎石法(波形见图7)。该技术主要采用聚焦的超声波在结石表面产生空化云,利用空化云破裂过程中产生的强大的破坏力将结石逐渐粉碎成细小的粉末。该方法首先采用高频的超声波(如图7 中的3.82 MHz 的超声波)促使空化云在结石表面的形成和激发空化云的振荡,随后再利用低频的超声波(如图7 中的545 kHz 的超声波)诱发空化云的溃灭,超声波的能量会在空化云内部不断的传递和聚集,最后在空化云内部某处强烈的释放,对结石形成强有力的破坏,“咬”下一小块结石。整个上述过程大概持续80~90ms,经过一小段间歇后,上述过程不断的重复,最终整个结石将被彻底粉碎为非常细小的粉末,可以很方便的从人体内排出。很多患者经过体外激波碎石法治疗后,其被粉碎后的结石依然很大,其等效直径可能大于2 mm,无法顺利从人体内排出,而体外无创聚焦超声波碎石法的相关实验显示,治疗后,结石被空化效应完全粉碎为细小的粉末(图8),可以很方便的通过尿道等从人体内排出。另外,由于聚焦超声技术的发展,超声波的聚焦精度远远高于激波,可以对结石进行“精确打击”,避免伤及无辜(如周围的组织等),这样可以大大削弱治疗过程中产生的并发症。体外无创聚焦超声波碎石法仍在发展中,是一项很有前途的结石治疗技术,期待不久的将来能用到临床治疗中。


图7 用于碎石的聚焦超声波的波形示意图

 

图8 体外无创聚焦超声波碎石法治疗后的结石及其碎片

 


2. 声空化和海洋生物搁浅


 为了更好的侦测潜艇等,海军自20世纪60年代以来就开始使用主动声纳(原理见图9)。中频声纳频率为1~10 kHz;低频声纳频率小于1 kHz。主动声纳的基本原理是首先由声纳发射出探测信号,然后通过接收探测信号遇到物体反射回来的反射波对目标进行分析(例如类型、位置和形状等)。为了增加探测的距离,一般主动声纳的功率都比较大。声纳对于海洋动物的影响是多方面的,而与声空化相关的效应却鲜为人知。

 



9 主动声纳的原理图

 

近些年来,人们发现很多的海洋生物(主要是鲸鱼和海豚等)搁浅事件与海军的军事演习在时间和空间上有着很强的关联。2002年9 月24日,有10个国家参与的北大西洋公约组织的代号为“Neo Tapon2012”的国际海军演习在西班牙加那利群岛附近进行。在使用主动声纳4小时后,演习地点附近发现有14头不同种类的海洋生物搁浅(图10)。随后,科学家通过解剖搁浅的海洋生物尸体(图11)指出海军演习过程中使用的声纳可能是造成此事件的罪魁祸首。在搁浅的海洋动物体内(尤其是肝脏),发现了大量的不同尺度的空泡(图11)。在局部部位,空泡体积甚至占到总体积的90%。一些微小空泡(直径在50~750 mm 之间)的存在可能导致海洋生物的肝脏组织被压缩、血管膨胀、局部出血和严重的细胞坏死等。

 


图10 在加那利群岛附近搁浅的海洋生物

 


图11 海洋生物肝脏部位发现的空泡。

(a)解剖图,空泡的直径为0.2~6.0 cm;

(b)显微镜图,图中空泡的直径为50~750 mm

 

那么这些不正常的空泡到底是从哪里来的呢?这些空泡又是如何影响鲸鱼等海洋生物的正常活动呢?

 

学术界有两种解释:第一种解释认为鲸鱼受到声纳的噪音等惊吓,快速浮上水面造成类似于潜水病的症状。但近年来的一些后续研究并不支持此观点。在一次测试中,科学家给一头突吻鲸贴上了“标签”,并跟踪其在声纳使用过程中的行为。实验表明,该鲸鱼缓慢下潜,然后停止其进食活动,远离声源,并最终浮上水面。这与之前科学家所推测的鲸鱼会在声呐的干扰下快速浮出水面并不相符。

 

另一种解释认为搁浅可能跟空泡在含有高饱和度气体的环境中和高功率的声场作用下的增长有关。人们很早就发现在声场的作用下,由于在空泡与周围流体之间存在质量的传递,空泡会缓慢的增长(图12)或缩小。经过几代人不懈的努力,这方面的理论已被逐渐完善,其理论预测值与实验测量值基本吻合,已被学术界广泛的认可和接受。对于固定的频率和特定大小的空泡,声场的强度存在一个阈值。当声场强度高于此阈值时,空泡增长;当声场的强度低于此阈值时,空泡缩小。通常,为了使探测距离更远,主动声纳的功率远高于此阈值。当周围的流体中的气体处于过饱和状态时,空泡的增长速度将显著加快。理论推测,在深海动物中,氮气在组织中的过饱和度将达到300%。在这样高的过饱和度环境中,在声纳的作用下极可能激发空泡的迅速增长和振荡。空泡振荡过程中产生的强大的破坏力可以造成海洋生物内部组织的损伤(图11),最终导致海洋生物搁浅的悲剧。尽管获取上述理论的直接证据是非常困难的,但科学家通过设计一套体外的实验对此问题进行了研究。结果显示,在动物组织中气体保持一定的高饱和度的条件下,声波的存在对于空泡的增长有决定性的影响,能大大促进其生长。

 

图12 空泡在声场作用下的增长过程

 

由于海洋生物在声纳作用下搁浅的问题非常复杂,很难进行直接的实验去验证上述学术假说,因此其真正的原因至今仍是一个谜,学术界仍存在争论,尚无普遍接受的观点。

 


3.利用空化效应的

碳纳米管切割技术


碳纳米管(图13)是一种圆柱形中空的纳米结构,是碳元素的一种同素异形体(即相同元素组成,但不同形态的单质)。碳纳米管自1991 年被发现以来,由于其超常的强度,良好的柔韧性,高熔点等独特的性质引起了学术界的广泛关注。例如,2012年10月29日,IBM 的研究人员宣称采用主流半导体工艺第一次将一万多个碳纳米管制作的晶体管精确地放置在了一颗芯片内,并通过了可行性测试,迈出了纳米材料取代硅的第一步。工业生产出来的碳纳米管的微观特性(如长度和直径等)参差不齐,需要进一步的处理(如切割等)。


图13 (单壁)碳纳米管

 

由于碳纳米管的直径很小(一般在1~20 nm范围),传统的切割工艺在这样小的尺度下已无用武之地。近年来,声空化技术逐渐用于对碳纳米管簇进行切割。在声场(一般为20 kHz的低频超声)的作用下,溶液中的空泡(其直径约为几十微米大小)附近的压力场发生剧烈变化,从而引起空泡的振荡。由于微米尺度的空泡通常是球形的,空泡的振荡方式主要是径向的(即空泡中心到空泡边缘的方向),在空泡附近形成了一个来回振荡的速度场,对处于其中的碳纳米管产生作用力,从而使空泡附近的碳纳米管被切割。不同长度的碳纳米管在空泡产生的流场下的动力学行为有显著区别(图14):

 

图14 不同长度的碳纳米管在空泡振荡产生的流场作用下的示意图。

图中黑色部分为碳纳米管

 

短碳纳米管:在空泡流场的作用下会发生旋转,长度的方向与空泡的径向一致。由于在碳纳米管的两端的速度场不同,离空泡较近的一端速度比离空泡较远的一端大。碳纳米管在该流场的作用下不断的伸缩,从而导致最终被切断。

 

长碳纳米管:在空泡流场的作用下,其长度方向与空泡的切线方向一致。由于流场的作用,碳纳米管被压曲,从而导致断裂。

 

上述两种不同的作用机理将导致不同长度的碳纳米管在相同声场参数的作用下被切割的速率不同。通过对声场的参数和其作用时间的调节,采用这种技术可以从宏观上控制碳纳米管簇(统计意义上)的长度等参数。该项技术仍在进一步研发和完善中。

 


4. 结束语

 

近些年来,基于声空化效应的医学治疗(如采用基因传递和药物传输方法治疗肿瘤)等领域逐渐成为热点,并且已取得一定的成果。这些崭新的领域的出现也为声空化这一传统领域的研究增添了新的活力和动力。

 

本文选自《现代物理知识》2014年第1期  时光摘编


来源:现代物理知识杂志
编辑:Tomic

近期热门文章Top10

↓ 点击标题即可查看 ↓

1. 日本数学鬼才的幻象魔术,千万人已看瞎

2. 这场意外里,安卓手机毫发无伤,苹果设备居然近乎全灭

3. 学物理的,随时随地都能把天聊死

4. 微博一个假测试,让全网网民都压力过大了?

5. 你现在还不知道的地铁上广告的原理,居然和两百年前的发明有关系

6. “我对普通的人类没有兴趣,你们只要能求出超排列的准确公式,就尽管来找我吧!以上”

7. 到底几点睡觉才算是熬夜?

8. 一幅图读懂量子力学(下)

9. 数学和物理太难?这些动图让你秒懂抽象概念

10. 癌细胞既然可以无限增殖,岂不是可以用来做口粮?| No.129

点此查看以往全部热门文章


登录查看更多
1

相关内容

【哈佛大学】机器学习的黑盒解释性,52页ppt
专知会员服务
172+阅读 · 2020年5月27日
2020年中国《知识图谱》行业研究报告,45页ppt
专知会员服务
240+阅读 · 2020年4月18日
【学科交叉】抗生素发现的深度学习方法
专知会员服务
25+阅读 · 2020年2月23日
模型压缩究竟在做什么?我们真的需要模型压缩么?
专知会员服务
28+阅读 · 2020年1月16日
自动驾驶高精度定位如何在复杂环境进行
智能交通技术
18+阅读 · 2019年9月27日
从十篇热门学术论文看计算机视觉的未来
计算机视觉life
6+阅读 · 2019年9月11日
【数据中台】什么是数据中台?
产业智能官
18+阅读 · 2019年7月30日
《自然》(20190221出版)一周论文导读
科学网
6+阅读 · 2019年2月23日
关于医学影像背后的科学,你都知道多少?
中科院物理所
3+阅读 · 2017年12月14日
神经网络中的「注意力」是什么?怎么用?
北京思腾合力科技有限公司
17+阅读 · 2017年10月28日
AI都干过什么让人细思极恐的事?
全球创新论坛
4+阅读 · 2017年9月15日
Geometric Graph Convolutional Neural Networks
Arxiv
10+阅读 · 2019年9月11日
Self-Attention Graph Pooling
Arxiv
13+阅读 · 2019年6月13日
Viewpoint Estimation-Insights & Model
Arxiv
3+阅读 · 2018年7月3日
Arxiv
6+阅读 · 2018年2月8日
Arxiv
3+阅读 · 2018年1月10日
Arxiv
27+阅读 · 2017年12月6日
VIP会员
相关资讯
自动驾驶高精度定位如何在复杂环境进行
智能交通技术
18+阅读 · 2019年9月27日
从十篇热门学术论文看计算机视觉的未来
计算机视觉life
6+阅读 · 2019年9月11日
【数据中台】什么是数据中台?
产业智能官
18+阅读 · 2019年7月30日
《自然》(20190221出版)一周论文导读
科学网
6+阅读 · 2019年2月23日
关于医学影像背后的科学,你都知道多少?
中科院物理所
3+阅读 · 2017年12月14日
神经网络中的「注意力」是什么?怎么用?
北京思腾合力科技有限公司
17+阅读 · 2017年10月28日
AI都干过什么让人细思极恐的事?
全球创新论坛
4+阅读 · 2017年9月15日
相关论文
Geometric Graph Convolutional Neural Networks
Arxiv
10+阅读 · 2019年9月11日
Self-Attention Graph Pooling
Arxiv
13+阅读 · 2019年6月13日
Viewpoint Estimation-Insights & Model
Arxiv
3+阅读 · 2018年7月3日
Arxiv
6+阅读 · 2018年2月8日
Arxiv
3+阅读 · 2018年1月10日
Arxiv
27+阅读 · 2017年12月6日
Top
微信扫码咨询专知VIP会员