两圆重叠问题你会求解吗?这个问题的准确答案,德国数学家最近才找到

2020 年 12 月 13 日 量子位
萧箫 发自 凹非寺
量子位 报道 | 公众号 QbitAI

先来看一道简单的几何问题:

下图中,黑圆恰好将红圆的面积等分,且黑圆的圆心恰好在红圆上。假设红圆半径为R,黑圆半径为r,求r。

是不是感觉已经信手拈来,能在纸上演算一通了?

然而,就是这个看起来简单的数学难题,让数学家们想了几百年,都没能给出它的解析解

解析解,指用精确的数学表达式写出的方程解。有些方程难以求出解析解,只能写出近似解。如下图,x=cos(x)就没有解析解,方程的解只能近似为x≈0.7390…

x=cos(x),x没有解析解

这个难倒数学家的问题,叫做「山羊问题」 (goat problem),最初的问题描述是这样的:

将一只山羊拴在面积为1英亩的圆形草地的围栏上,请问栓多长的绳子,才能让山羊刚好吃到半英亩的草?

问题提出后,已有数学家给出了2种求解方程。

但,仅仅是“方程”:

这个问题的精确答案,即如何准确地用围栏半径来表示绳子长度,却一直悬而未解。

美国海军学院数学家Mark Meyerson曾表示,对于这一问题,此前“没人知道确切答案,解决方法只是大致给出的。”

直到今年,才有一位叫做Ingo Ullisch的德国数学家,给出了这个问题的解析解。

从迭代到积分,求出来的还是方程

如果用数学的语言来描述这个问题,它是这样的:

一个半径为R的圆A,与另一个半径为r的圆B相交,其中圆B的圆心在圆A上,且两个圆的相交面积为圆A面积的一半,求解r。

如果只是列出有关r的方程,目前已经有两种方案。

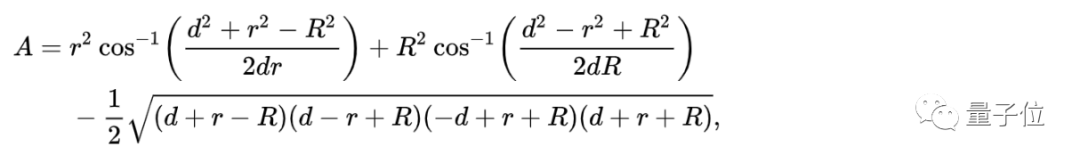
第一种方案,代入求解透镜面积的方程。

透镜由两个(半径相同或不同的)圆相交构成,求解它的面积A,目前已有这么一个公式(其中,两圆半径为R和r,圆心之间的距离为d)

显然,「山羊问题」也能用透镜面积方程来求解。

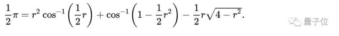
假设围栏的半径为1,那么在「山羊问题」中,求解条件将变成R=d=1,且A=1/2π,求解出来的r符合这一方程式:

这个方程需要用迭代法求解,能得到r=1.1587…的答案。

但这不是数学家想要的结果。

不愿意就此放弃的数学家们,试图用求积分来解决这一问题,并给出了第二种方案:

这次,他们求出了左边有r的式子,但遗憾的是,这其实是个超越方程 (指方程中有无法用自变数的多项式或开方表示的函数,类似于x=cosx)

这些看似都能求解出r,但实际上只能算出数值解,而非解析解。

最后用上了复变函数

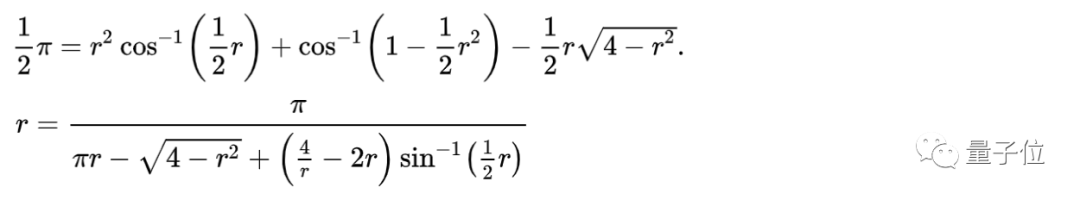
直到今年,一个名为Ingo Ullisch的科学家,才终于给出了问题精准的解析解。

不过,为了求解这一问题,他甚至用上了复变函数的知识,这也使得式子变得复杂不已。

但也得益于他的贡献,这一问题自被提出以来,第一次有了解析解:

那么,这个式子是怎么被求解出来的呢?

根据Ullisch的思路,他以两个圆的圆心与其中一个交点相连,组成了一个三角形,如下图所示。

其中,三角形的两个底角分别被设为α/2和β/2。

在经过一系列复杂运算后,Ullisch将式子简化成了下面这个方程:

求解这一方程,就能得到解析解,但会用到复变函数相关的定理。

Ullisch表示,这一问题之所以复杂,是因为问题本质上相当于给定了一个面积固定值,并倒推出它的输入。

但如果想要逆转这一过程,反向求解出输入的定义,问题就会变得棘手。

CMU的数学教授Michael Harrison表示,这是他所知道的有关「山羊问题」的第一个明确的解析解。

“这绝对是一个进步。”

这也是山羊问题系列中,最原始、最根本,也是最难的问题之一。

有关山羊的问题,还有这么多

事实上,自1748年来,数学家们还从最原始的山羊问题中,思考出了各种问题的变体(换着花样找难题做)

例如,除了让山羊在围栏内吃草,还让山羊到围栏外吃草,并计算它能吃到的最大草地面积(其中,绳索长度和围栏周长固定)

此外,甚至还让羊飞上了空中,让它在三维的世界里吃草(空间中的山羊问题)

当然,根本问题还是求解球的半径r,使得两个相交球的相交体积正好是单位球体积的一半。

不过,兰卡斯特大学的数学教授Graham Jameson表示:“三维问题实际上比二维问题更容易解决。”

数学家Fraser表示,这是因为,如果将问题放在无限的维度中,数学家们可以推论出一个更明确的答案。

例如,将这个问题放到n维空间时,Fraser就推算出,当n接近无穷大的时候,绳子与限定球体的半径比接近于√2。

然而在二维世界里,这种明确的答案反而很难找。

因此,这次Ullisch求出的解析解,也是「山羊问题」系列的重大突破。

不过Ullisch也承认,这一问题的解决,并不会颠覆教科书或数学的研究,因为它只是一个孤立问题,不仅与其他问题无关,也没有嵌入数学理论。

但数学家们仍然非常激动。

Mark Meyerson表示:

为数学题寻找新的解法,通常是很有价值的,这些解法不仅可以再次给已解决的问题带来新思路,还可以将之推广到其他问题上。

数学家Harrison则认为:

虽然解决放牧山羊的问题不会取得突破性的数学成果,但数学领域的新方向,永远可能来自任何地方。

而提出山羊问题超越方程的Hoffman,也有类似的看法:

并非所有的数学进步都来自于取得根本性突破的人。有时候,这种进步也包括研究经典方法并找到新的角度,最终可能会带来意想不到的效果。

当然,网友在祝贺之余,也有表示这一问题“不太符合生活常理”的:

我认为这个问题,是没有山羊相关的经验的人提出的。因为我一想到山羊,就会想到它们在拼命跳篱笆、嚼绳子……这让我没办法专心解决这个问题。

山羊问题解析解论文:
https://link.springer.com/article/10.1007/s00283-020-09966-0

参考链接:
https://news.ycombinator.com/item?id=25375575
https://www.quantamagazine.org/mathematician-solves-centuries-old-grazing-goat-problem-exactly-20201209/
https://en.wikipedia.org/wiki/Goat_problem#cite_note-1

本文系网易新闻•网易号特色内容激励计划签约账号【量子位】原创内容,未经账号授权,禁止随意转载。

量子位年度智能商业大会启幕,大咖已就位!

12月16日,李开复博士、谭建荣院士、清华唐杰教授,以及来自小米美团百度华为爱奇艺小冰亚信浪潮容联澎思地平线G7等知名AI大厂的大咖嘉宾将齐聚MEET2021大会,期待关注AI的朋友报名参会、共探新形势下智能产业发展之路。

早鸟票限时优惠,扫码锁定席位吧~


量子位 QbitAI · 头条号签约作者


վ'ᴗ' ի 追踪AI技术和产品新动态


一键三连「分享」、「点赞」和「在看」

科技前沿进展日日相见~


登录查看更多
0

相关内容

数学家是以研究或应用数学为职业的人。著名数学家有阿基米德、欧拉、高斯、伽罗华、黎曼、格罗腾迪克等。
专知会员服务
41+阅读 · 2021年2月12日
【经典书】线性代数,352页pdf教你应该这样学
专知会员服务
107+阅读 · 2020年12月20日
专知会员服务
9+阅读 · 2020年11月27日
【斯坦福大学】矩阵对策的协调方法,89页pdf
专知会员服务
27+阅读 · 2020年9月18日
最新《因果推断导论》课程,102页ppt
专知会员服务
185+阅读 · 2020年9月1日
【ICML2020】机器学习无参数在线优化,294页ppt
专知会员服务
55+阅读 · 2020年8月1日
麻省理工学院MIT-ICLR2020《神经网络能推断出什么?》
专知会员服务
51+阅读 · 2020年2月19日
求解稀疏优化问题——半光滑牛顿方法
极市平台
50+阅读 · 2019年11月30日
从泰勒展开来看梯度下降算法
深度学习每日摘要
13+阅读 · 2019年4月9日
面试时让你手推公式不在害怕 | 梯度下降
计算机视觉life
14+阅读 · 2019年3月27日
从零开始一起学习SLAM | 神奇的单应矩阵
计算机视觉life
9+阅读 · 2018年11月11日
机器学习的5种距离度量方法
七月在线实验室
9+阅读 · 2018年5月18日
机器之心最干的文章:机器学习中的矩阵、向量求导
深度学习世界
12+阅读 · 2018年2月7日
如何轻松解锁神经网络的数学姿势
ImportNew
6+阅读 · 2018年1月4日
量子世界的因果关系
中国物理学会期刊网
9+阅读 · 2017年8月5日
微积分的本质 合集
遇见数学
12+阅读 · 2017年7月29日
Arxiv
10+阅读 · 2018年4月19日
VIP会员
相关VIP内容
专知会员服务
41+阅读 · 2021年2月12日
【经典书】线性代数,352页pdf教你应该这样学
专知会员服务
107+阅读 · 2020年12月20日
专知会员服务
9+阅读 · 2020年11月27日
【斯坦福大学】矩阵对策的协调方法,89页pdf
专知会员服务
27+阅读 · 2020年9月18日
最新《因果推断导论》课程,102页ppt
专知会员服务
185+阅读 · 2020年9月1日
【ICML2020】机器学习无参数在线优化,294页ppt
专知会员服务
55+阅读 · 2020年8月1日
麻省理工学院MIT-ICLR2020《神经网络能推断出什么?》
专知会员服务
51+阅读 · 2020年2月19日
相关资讯
求解稀疏优化问题——半光滑牛顿方法
极市平台
50+阅读 · 2019年11月30日
从泰勒展开来看梯度下降算法
深度学习每日摘要
13+阅读 · 2019年4月9日
面试时让你手推公式不在害怕 | 梯度下降
计算机视觉life
14+阅读 · 2019年3月27日
从零开始一起学习SLAM | 神奇的单应矩阵
计算机视觉life
9+阅读 · 2018年11月11日
机器学习的5种距离度量方法
七月在线实验室
9+阅读 · 2018年5月18日
机器之心最干的文章:机器学习中的矩阵、向量求导
深度学习世界
12+阅读 · 2018年2月7日
如何轻松解锁神经网络的数学姿势
ImportNew
6+阅读 · 2018年1月4日
量子世界的因果关系
中国物理学会期刊网
9+阅读 · 2017年8月5日
微积分的本质 合集
遇见数学
12+阅读 · 2017年7月29日
Top
微信扫码咨询专知VIP会员