“噪声对比估计”杂谈:曲径通幽之妙

2018 年 6 月 15 日 PaperWeekly


作者丨苏剑林

单位丨广州火焰信息科技有限公司

研究方向丨NLP,神经网络

个人主页丨kexue.fm


说到噪声对比估计,或者“负采样”,大家可能立马就想到了 Word2Vec。事实上,它的含义远不止于此,噪音对比估计(NCE, Noise Contrastive Estimation)是一个迂回但却异常精美的技巧,它使得我们在没法直接完成归一化因子(也叫配分函数)的计算时,就能够去估算出概率分布的参数。本文就让我们来欣赏一下 NCE 的曲径通幽般的美妙。 


注:由于出发点不同,本文所介绍的“噪声对比估计”实际上更偏向于所谓的“负采样”技巧,但两者本质上是一样的,在此不作区分。


问题起源


问题的根源是难分难舍的指数概率分布。


指数族分布


在很多问题中都会出现指数族分布,即对于某个变量 x 的概率 p(x),我们将其写成:



其中 G(x) 是 x 的某个“能量”函数,而则是归一化常数,也叫配分函数。这种分布也称为“玻尔兹曼分布”。


在机器学习中,指数族分布的主要来源有两个。第一个来源是 softmax:我们做分类预测时,通常最后都会将全连接层的结果用 softmax 激活,这就是一个离散的、有限个点的玻尔兹曼分布了;第二个则是来源于最大熵原理:当我们引入某个特征并且已经能估算出特征的期望时,最大熵模型告诉我们其分布应该是特征的指数形式。


难算的配分函数


总的来说,指数族分布是非常实用的一类分布,不论是机器学习、数学还是物理领域,都能够碰见它。然而,它却有一个比较大的问题:不容易算,准确来说是配分函数不容易算。


具体来说,不好算的原因可能有两个。一个是计算量太大,比如语言模型(包括 Word2Vec)的场景,因为要通过上下文来预测当前词的分布情况,这就需要对几十万甚至几百万项(取决于词表大小)进行求和来算归一化因子,这种情况下不是不能算,而是计算量大到难以承受了。


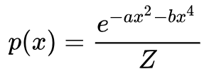
另一种情况是根本算不出来,比如假设那么就有:



这积分根本就没法简单地算出来呀,更不用说更加复杂的函数了。现在我们也许能从这个角度感受到为什么高斯分布那么常用了,因为,因为,因为,换个分布就没法算下去了……


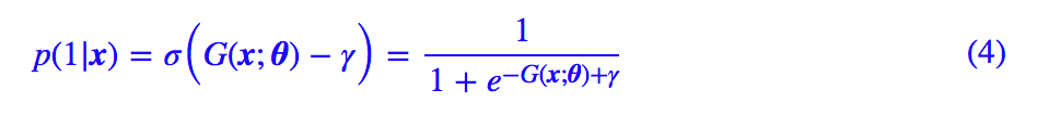
在机器学习中,如果只是分类、预测,那么归一化因子算不算出来都无所谓,因为我们只要相对比较取出最大的那个。但是在预测之前,我们还面临着训练的问题,也就是参数估计,具体来说,G(x) 其实是含有一些位置参数 θ 的,准确来说要写成 G(x;θ),那么概率分布就是:



我们要从 x 的样本中推算出 θ 来,通常我们会用最大似然,但是不算出 Z(θ) 来我们就没法算似然函数,也就没法做下去了。

NCE登场


非常幸运的是,NCE 诞生了,它成功地绕开了这个困难。对于配分函数算不出来的情形,它提供了一种算下去的可能性;对于配分函数计算量太大的情形,它还提供了一种降低计算量的方案。 


变成二分类问题


NCE 的思想很简单,它希望我们将真实的样本和一批“噪声样本”进行对比,从中发现真实样本的规律出来。 


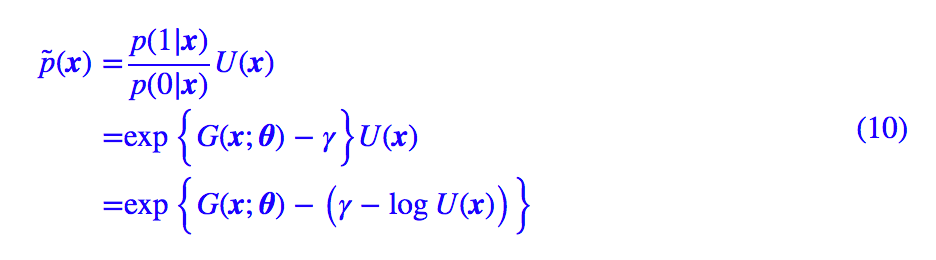
具体来说,能量还是原来的能量 G(x;θ),但这时候我们不直接算概率 p(x) 了,因为归一化因子很难算。我们去算:



这里的 θ 还是原来的待优化参数,而 γ 则是新引入的要优化的参数。


然后,NCE 的损失函数变为:



其中 p̃(x) 是真实样本,U(x) 是某个“均匀”分布或者其他的、确定的、方便采样的分布。 


说白了,NCE 的做法就是将它转化为二分类问题,将真实样本判为 1,从另一个分布采样的样本判为 0


等价于原来分布 


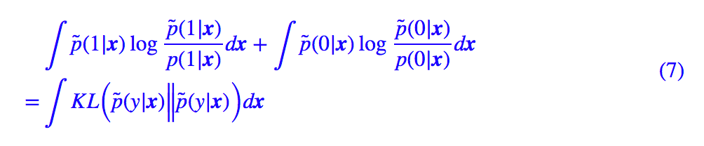
现在的问题是,从 (5) 式估算出来的 θ,跟直接从 (3) 式的最大似然估计(理论上是可行的)出来的结果是不是一样的。 


答案是基本一样的。我们将 (5) 式中的 loss 改写为:



因为 p̃(x) 和 U(x) 都跟参数 θ,γ 没关,因此将 loss 改为下面的形式,不会影响优化结果:



其中:



(7) 式是 KL 散度的积分,而 KL 散度非负,那么当“假设的分布形式是满足的、并且充分优化”时,(7) 式应该为 0,从而我们有 p̃(y|x)=p(y|x),也就是:



从中可以解得:



如果 U(x) 取均匀分布,那么 U(x) 就只是一个常数,所以最终的效果表明 γ−logU(x) 起到了 logZ 的作用,而分布还是原来的分布 (3),θ 还是原来的 θ。


这就表明了 NCE 就是一种间接优化 (3) 式的巧妙方案:看似迂回,实则结果等价,并且 (5) 式的计算量也大大减少,因为计算量就只取决于采样的数目了。


一些插曲


一些跟 NCE 相关的话题,就都放在这里了。 


NCE与负采样简述


NCE 的系统提出是在 2010 年的论文 Noise-contrastive estimation: A new estimation principle for unnormalized statistical models 中,后面训练大规模的神经语言模型基本上都采用 NCE 或者类似的 loss 了。

论文的标题其实就表明了 NCE 的要点:它是“非归一化模型”的一个“参数估计原理”,专门应对归一化因子难算的场景。 


但事实上,“负采样”的思想其实早就被使用了,比如就在 2008 年的 ICML 上,Ronan Collobert 和 Jason Weston 在发表的 A Unified Architecture for Natural Language Processing: Deep Neural Networks with Multitask Learning 中已经用到了负采样的方法来训练词向量。


要知道,那时候距离 Word2Vec 发布还有四五年。关于词向量和语言模型的故事,请参考 licstar 的《词向量和语言模型》[1]。 


基于同样的为了降低计算量的需求,后来Google的Word2Vec也用上了负采样技巧,在很多任务下,它还比基于Huffman Softmax的效果要好,尤其是那个“词类比(word analogy)”实验。这里边的奥妙,我们马上就来分析。 


Word2Vec


现在我们落实到 Word2Vec 来分析一些事情。以 Skip Gram 模型为例,Word2Vec 的目标是:



其中 ui,vj 都是待优化参数,代表着上下文和中心词的两套不同的词向量空间。显然地,这里的问题就是归一化因子计算量大,其中应对方案有 Huffman Softmax 和负采样。


这里我们不关心 Huffman Softmax,只需要知道它就是原来标准 Softmax 的一种近似就行了。我们来看负采样的,Word2Vec 将优化目标变为了:



这个式子看着有点眼花,总之它就是表达了“语料出现的 Skip Gram 视为正样本,随机采样的词作为负样本”的意思。 


首先最明显的是,(12) 式相比 (4),(5) 式,少引入了 γ 这个训练参数,或者就是说默认了 γ=0,这允许吗?据说确实有人做过对比实验,结果显示训练出来的 γ 确实在 0 上下浮动,因此这个默认操作基本上是合理的。 


其次,对于负样本,Word2Vec 可不是“均匀地采样每一个词”,而是按照每个词本身的总词频来采样的。这样一来,(10) 式就变成了:



也就是说,最终的拟合效果是:



大家可以看到,左边就是两个词的互信息。本来我们的拟合目标是两个词的内积等于条件概率 p̃(wj|wi)(的对数),现在经过负采样的 Word2Vec,两个词的内积就是两个词的互信息。 


现在大概就可以解释为什么 Word2Vec 的负采样会比 Huffman Softmax 效果要好些了。Huffman Softmax 只是对 Softmax 做了近似,它本质上还是在拟合 p̃(wj|wi),而负采样技巧则是在拟合互信息


我们之后,Word2Vec 是靠词的共现来反应词义的,互信息比条件概率 p̃(wj|wi)更能反映词与词之间“真正的”共现关系。换言之,p̃(wj|wi) 反映的可能是“我认识周杰伦,周杰伦却不认识我”的关系,而互信息反映的是“你认识我,我也认识你”的关系,后者更能体现出语义关系。 


我之前构造的另一个词向量模型《更别致的词向量模型(三):描述相关的模型》[2] 中也表明了,基于互信息出发构造的模型,能理论上解释“词类比(word analogy)”等很多实验结果,这也间接证实了,基于互信息的“Skip Gram + 负采样”组合,是 Word2Vec 的一个绝佳组合。


所以,根本原因不是 Huffman Softmax 和负采样本身谁更优的问题,而是它们的优化目标就已经不同。


列车已到终点站


本文的目的是介绍 NCE 这种精致的参数估算技巧,指出它可以在难以为完成归一化时来估算概率分布中的参数,原则上这是一种通用的方法,而且很可能,在某些场景下它是唯一可能的方案。


最后我们以 Word2Vec 为具体例子进行简单的分析,谈及了使用 NCE 时的一些细节问题,并且顺带解释了负采样为什么好的这个问题。


相关链接


[1]. 词向量和语言模型

http://licstar.net/archives/328

[2]. 更别致的词向量模型(三):描述相关的模型

https://kexue.fm/archives/4671



点击以下标题查看作者其他文章: 



 戳我查看招募详情


#作 者 招 募#


让你的文字被很多很多人看到,喜欢我们不如加入我们



关于PaperWeekly


PaperWeekly 是一个推荐、解读、讨论、报道人工智能前沿论文成果的学术平台。如果你研究或从事 AI 领域,欢迎在公众号后台点击「交流群」,小助手将把你带入 PaperWeekly 的交流群里。


▽ 点击 | 阅读原文 | 进入作者博客

登录查看更多
6

相关内容

【斯坦福】凸优化圣经- Convex Optimization (附730pdf下载)
专知会员服务
231+阅读 · 2020年6月5日
专知会员服务
45+阅读 · 2020年3月6日
一文读懂线性回归、岭回归和Lasso回归
CSDN
34+阅读 · 2019年10月13日
详解常见的损失函数
七月在线实验室
20+阅读 · 2018年7月12日
再谈变分自编码器VAE:从贝叶斯观点出发
PaperWeekly
13+阅读 · 2018年4月2日
从最大似然到EM算法:一致的理解方式
PaperWeekly
19+阅读 · 2018年3月19日
机器学习(13)之最大熵模型详解
机器学习算法与Python学习
7+阅读 · 2017年8月24日
从逻辑回归到最大熵模型
夕小瑶的卖萌屋
4+阅读 · 2017年7月11日
[有意思的数学] 参数估计
机器学习和数学
15+阅读 · 2017年6月4日
Bivariate Beta LSTM
Arxiv
6+阅读 · 2019年10月7日
Arxiv
7+阅读 · 2019年10月6日
Arxiv
19+阅读 · 2019年4月5日
Implicit Maximum Likelihood Estimation
Arxiv
7+阅读 · 2018年9月24日
Arxiv
7+阅读 · 2018年2月26日
Arxiv
3+阅读 · 2018年1月10日
VIP会员
相关资讯
一文读懂线性回归、岭回归和Lasso回归
CSDN
34+阅读 · 2019年10月13日
详解常见的损失函数
七月在线实验室
20+阅读 · 2018年7月12日
再谈变分自编码器VAE:从贝叶斯观点出发
PaperWeekly
13+阅读 · 2018年4月2日
从最大似然到EM算法:一致的理解方式
PaperWeekly
19+阅读 · 2018年3月19日
机器学习(13)之最大熵模型详解
机器学习算法与Python学习
7+阅读 · 2017年8月24日
从逻辑回归到最大熵模型
夕小瑶的卖萌屋
4+阅读 · 2017年7月11日
[有意思的数学] 参数估计
机器学习和数学
15+阅读 · 2017年6月4日
相关论文
Bivariate Beta LSTM
Arxiv
6+阅读 · 2019年10月7日
Arxiv
7+阅读 · 2019年10月6日
Arxiv
19+阅读 · 2019年4月5日
Implicit Maximum Likelihood Estimation
Arxiv
7+阅读 · 2018年9月24日
Arxiv
7+阅读 · 2018年2月26日
Arxiv
3+阅读 · 2018年1月10日
Top
微信扫码咨询专知VIP会员