从最大似然到EM算法:一致的理解方式

2018 年 3 月 19 日 PaperWeekly 苏剑林

作者丨苏剑林

单位丨广州火焰信息科技有限公司

研究方向丨NLP,神经网络

个人主页丨kexue.fm


最近在思考 NLP 的无监督学习和概率图相关的一些内容,于是重新把一些参数估计方法理了一遍。


在深度学习中,参数估计是最基本的步骤之一了,也就是我们所说的模型训练过程。为了训练模型就得有个损失函数,而如果没有系统学习过概率论的读者,能想到的最自然的损失函数估计是平均平方误差,它也就是对应于我们所说的欧式距离。


而理论上来讲,概率模型的最佳搭配应该是“交叉熵”函数,它来源于概率论中的最大似然函数。


最大似然


合理的存在


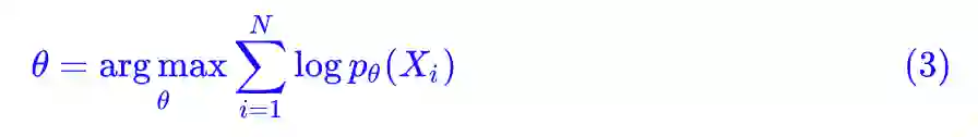
何为最大似然?哲学上有句话叫做“存在就是合理的”,最大似然的意思是“存在就是最合理的”。具体来说,如果事件 X 的概率分布为 p(X),如果一次观测中具体观测到的值分别为 X1,X2,…,XN,并假设它们是相互独立,那么:



是最大的。如果 p(X) 是一个带有参数 θ 的概率分布式 (X),那么我们应当想办法选择 θ,使得 L 最大化,即:



对概率取对数,就得到等价形式:



如果右端再除以 N,我们就得到更精炼的表达形式:



其中我们将 −L(θ) 就称为交叉熵。


理论形式


理论上,根据已有的数据,我们可以得到每个 X 的统计频率 (X),那么可以得到上式的等价形式:



但实际上,我们几乎都不可能得到 (X)(尤其是对于连续分布),我们能直接算的是关于它的数学期望,也就是 (4) 式,因为求期望只需要把每个样本的值算出来,然后求和并除以 N 就行了。所以 (5) 式只有理论价值,它能方便后面的推导。 


要注意的是,上面的描述是非常一般的,其中 X 可以是任意对象,它也有可能是连续的实数,这时候就要把求和换成积分,把 p(X) 变成概率密度函数。当然,这并没有什么本质困难。

有监督模型


现在我们来观察有监督学习中是如何应用上述内容的。假设输入为 X,标签为 Y,那么 (X,Y) 就构成了一个事件,于是我们根据 (4) 就有:



这里已经注明了是X,Y 整体求数学期望,然而该式却是不够实用的。


分类问题


以分类问题为例,我们通常建模的是 p(Y|X) 而不是 p(X,Y),也就是我们要根据输入确定输出的分布,而不是它们的联合分布。所以我们还是要从 (5) 式出发,利用 p(X,Y)=p(X)p(Y|X),先得到:



因为我们只对 p(Y|X) 建模,因此 (X) 我们认为就是 (X),那么这相当于让优化目标多了一个常数项,因此 (7) 等价于:



然后,我们还有 (X,Y)=(X)p̃θ(Y|X),于是 (8) 式还可以再变化成:



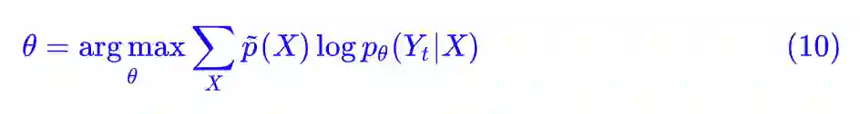
最后别忘了,我们是处理有监督学习中的分类问题,一般而言在训练数据中对于确定的输入 X 就只有一个类别,所以 (Yt|X)=1,其余为 0,Yt 就是 X 的目标标签,所以:



这就是最常见的分类问题的最大似然函数了:



变变变


事实上,上述的内容只是一些恒等变换,应该说没有特别重要的价值,而它的结果(也就是分类问题的交叉熵损失)也早就被我们用得滚瓜烂熟了。


因此,这一节仅仅是展示了如何将最大似然函数从最原始的形式出发,最终落实到一个具体的问题中,让读者熟悉一下这种逐步推进的变换过程


隐变量


现在就是展示它的价值的时候了,我们要将用它来给出一个 EM 算法的直接推导对于 EM 算法,一般将它分为 M 步和 E 步,应当说,M 步是比较好理解的,难就难在 E 步的那个 Q 函数为什么要这样构造


很多教程并没有给出这个 Q 函数的解释,有一些教程给出了基于詹森不等式的理解,但我认为这些做法都没有很好凸显出 EM 算法的精髓。


一般来说,EM 算法用于存在隐变量的概率问题优化。什么是隐变量?很简单,还是以刚才的分类问题为例,分类问题要建模的是 p(Y|X),当然也等价于 p(X,Y),我们说过要用最大似然函数为目标,得到 (6) 式:



如果给出 (X,Y) 的标签数据对,那就是一个普通的有监督学习问题了,然而如果只给出 X 不给出 Y 呢?这时候 Y 就称为隐变量,它存在,但我们看不见,所以“隐”


GMM模型


等等,没有标签数据你也想做分类问题?当然有可能,GMM 模型不就是这样的一个模型了吗?在 GMM 中假设了:



注意,是 (Y)(X|Y) 而不是 (X)(Y|X),两者区别在于我们难以直接估计 p(X),也比较难直接猜测 p(Y|X) 的形式。


p(Y) 和 p(X|Y) 就相对容易了,因为我们通常假设 Y 的意义是类别,所以 p(Y只是一个有限向量,而 p(X|Y表示每个类内的对象的分布。


既然这些对象都属于同一个类,同一个类应该都长得差不多吧,所以 GMM 假设它为正态分布,这时候做的假设就有依据了,不然将所有数据混合在一起,谁知道假设什么分布好呢?


pLSA模型


当然,并不只有无监督学习才有隐变量,有监督学习也可以有,比如我们可以设:



这时候多出了一个变量 Z,就算给出 (X,Y) 这样的标签数据对,但 Z 仍然是没有数据的,是我们假想的一个变量,它也就是隐变量,pLSA 就是这样的一个问题。这时候它的最大似然估计是:



联合最大似然


再等等,你这个好像跟我之前看到的 pLSA 的目标函数不大一样呀?还有 (6) 式也跟 GMM 的目标函数不一样呀?你是不是弄错了? 


我觉得并没有弄错,最大似然函数应该要考虑的是整体联合分布,也就是得把 Z 也考虑进去。而教程一般是这样处理的:由于隐变量不可观测,因此一般改用边缘分布(也就是显变量的分布)的最大似然为目标函数,即:



为最大化的目标。


事实上这种做法我认为是不大妥当的,隐变量虽然“隐”了,但既然我们假设它存在,那么它就是真的存在了,既然真的存在,最大似然函数当然要考虑上它,这才是真正的“存在就是最合理的”,是连同隐变量一起最合理才对



而事实上这种处理不仅具有理论意义,它还极大简化了 EM 算法的推导,而如果采用边缘分布最大似然的做法,我们就无法直观地理解那个 Q 函数的来源了。


最后,可能有读者“异想天开”:那么参数 θ 是不是也可以看作一个隐变量呢?恭喜你,如果你有这层领悟,那你已经进入贝叶斯学派的思维范畴了。


贝叶斯学派认为,一切都是随机的,一切都服从某个概率分布,参数 θ 也不例外。不过很遗憾,贝叶斯学派的概率理论很艰深,我们这里还没法派上用场。


EM算法


好了,不再废话了,还是正式进入对 EM 算法的讨论吧。 


再变变变


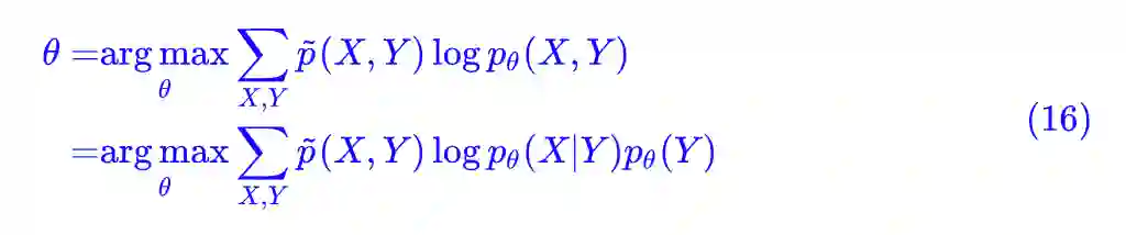
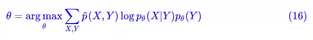
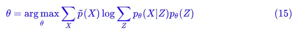
以式 (6) 的模型为例,假设我们只有 X 的数据,没有对应的标签 Y,这时候 Y 是隐变量,但我们还是要算整体的最大似然,也就是前面的 (16) 式:



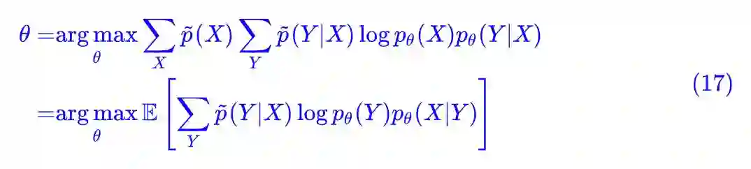
这时候我们依然没有解决的问题是:我们不知道 (X,Y),甚至 (X) 我们也可能不知道(但我们可以算关于它的期望)。那好吧,将式子做一下变换:



这里的 𝔼 是对 X 求的期望。现在好像有点意思了,然而并没有什么用,因为 (Y|X) 还是未知的。


EM大佬来了


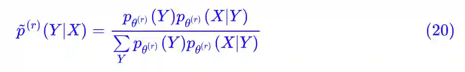
这时候,大佬就发话了:先当它已知的吧,那么我们就可以算参数 θ 了:



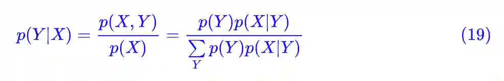
然后根据算出来的结果再去更新 (Y|X) 就是了,根据定义:



所以:



就让它们交替更新吧。现在来看看 (18) 式,有个 E(求期望),又有个 M(argmax),就叫它 EM 算法吧,那个被 E 的式子,我们就叫它 Q 函数好了。于是 EM 大佬就这样出来了,Q 函数也出来了,就这么任性。


当然,EM 算法中的 E 的本意是将:



看成是对隐变量 Y 求期望,这里我们就随意一点的,结论没错就行。


是不是感觉很突然?感觉啥也没做,EM 算法就这么两句话说清楚了?还包括了推导?


究竟在做啥


对于 pLSA 或者其他含有因变量的模型的 EM 算法,也可以类似地推导。对比目前我能找到的 EM 算法的推导,我相信上面的过程已经是相当简洁了。尽管前面很多铺垫,但其实都是基础知识而已。 


那这是如何实现的呢?回顾整个过程,其实我们也没做什么,只是坚持使用联合隐变量的整体分布的最大似然,然后该化简的就化简,最终关于隐变量部分没法化简,那就迭代吧,迭着迭着就出来了


这样子得到的推导,比从边缘分布的最大自然出发,居然直接快捷了很多,也是个惊喜。


一致的理解


本文是作者对最大似然原理的一番思考,整体思路是从最大似然的原理和形式出发,来诱导出有监督/无监督学习的一些结果,希望能用一个统一的思想将各种相关内容都串起来。


最后发现结果也挺让人满意的,尤其是 EM 算法部分,以后只需要记住一切的根本都是(联合)分布的最大似然,再也不用死记 EM 算法中的 Q 函数形式了。


当然,文章有些观点都是“我认为”的,因此可能有不当之处,请读者甄别。不过可以保证的是结果跟现有的都是一样的。



点击以下标题查看相关内容: 





#榜 单 公 布 #


2017年度最值得读的AI论文 | NLP篇 · 评选结果公布

2017年度最值得读的AI论文 | CV篇 · 评选结果公布


          

 我是彩蛋

 解锁新功能:热门职位推荐!


PaperWeekly小程序升级啦


今日arXiv√猜你喜欢√热门职位


找全职找实习都不是问题

 

 解锁方式 

1. 识别下方二维码打开小程序

2. 用PaperWeekly社区账号进行登陆

3. 登陆后即可解锁所有功能


 职位发布 

请添加小助手微信(pwbot01)进行咨询

 

长按识别二维码,使用小程序

*点击阅读原文即可注册





关于PaperWeekly


PaperWeekly 是一个推荐、解读、讨论、报道人工智能前沿论文成果的学术平台。如果你研究或从事 AI 领域,欢迎在公众号后台点击「交流群」,小助手将把你带入 PaperWeekly 的交流群里。


▽ 点击 | 阅读原文 | 进入作者博客

登录查看更多
19

相关内容

【2020新书】监督机器学习,156页pdf,剑桥大学出版社
专知会员服务
154+阅读 · 2020年6月27日
【开放书】SLAM 中的几何与学习方法,62页pdf
专知会员服务
111+阅读 · 2020年6月5日
机器学习速查手册,135页pdf
专知会员服务
345+阅读 · 2020年3月15日
一文读懂线性回归、岭回归和Lasso回归
CSDN
34+阅读 · 2019年10月13日
从信息论的角度来理解损失函数
深度学习每日摘要
17+阅读 · 2019年4月7日
从动力学角度看优化算法:一个更整体的视角
黑龙江大学自然语言处理实验室
8+阅读 · 2019年1月28日
零基础概率论入门:最大似然估计
论智
12+阅读 · 2018年1月18日
干货|EM算法原理总结
全球人工智能
17+阅读 · 2018年1月10日
干货|通俗易懂地解释EM算法并举例说明?
机器学习研究会
12+阅读 · 2017年11月17日
[有意思的数学] 参数估计
机器学习和数学
15+阅读 · 2017年6月4日
Implicit Maximum Likelihood Estimation
Arxiv
7+阅读 · 2018年9月24日
Arxiv
3+阅读 · 2018年4月18日
Arxiv
3+阅读 · 2018年4月11日
Arxiv
6+阅读 · 2018年2月26日
VIP会员
相关VIP内容
【2020新书】监督机器学习,156页pdf,剑桥大学出版社
专知会员服务
154+阅读 · 2020年6月27日
【开放书】SLAM 中的几何与学习方法,62页pdf
专知会员服务
111+阅读 · 2020年6月5日
机器学习速查手册,135页pdf
专知会员服务
345+阅读 · 2020年3月15日
相关资讯
一文读懂线性回归、岭回归和Lasso回归
CSDN
34+阅读 · 2019年10月13日
从信息论的角度来理解损失函数
深度学习每日摘要
17+阅读 · 2019年4月7日
从动力学角度看优化算法:一个更整体的视角
黑龙江大学自然语言处理实验室
8+阅读 · 2019年1月28日
零基础概率论入门:最大似然估计
论智
12+阅读 · 2018年1月18日
干货|EM算法原理总结
全球人工智能
17+阅读 · 2018年1月10日
干货|通俗易懂地解释EM算法并举例说明?
机器学习研究会
12+阅读 · 2017年11月17日
[有意思的数学] 参数估计
机器学习和数学
15+阅读 · 2017年6月4日
Top
微信扫码咨询专知VIP会员