涨点神器!SIoU:目标检测的新损失函数,提高准确性和训练速度!

2022 年 6 月 7 日 CVer

点击下方卡片,关注“CVer”公众号

AI/CV重磅干货,第一时间送达

转载自:集智书童

SIoU Loss: More Powerful Learning for Bounding Box Regression

论文:https://arxiv.org/abs/2205.12740

目标检测是计算机视觉任务的核心问题之一,其有效性在很大程度上取决于损失函数的定义。传统的目标检测损失函数依赖于边界框回归指标的聚合,例如预测框和真实框(即 GIoUCIoUICIoU 等)的距离、重叠区域和纵横比。

然而,迄今为止提出和使用的方法都没有考虑到所需真实框与预测框之间不匹配的方向。这种不足导致收敛速度较慢且效率较低,因为预测框可能在训练过程中“四处游荡”并最终产生更差的模型。

在本文中,提出了一种新的损失函数 SIoU,其中考虑到所需回归之间的向量角度,重新定义了惩罚指标。应用于传统的神经网络和数据集,表明 SIoU 提高了训练的速度和推理的准确性。

在许多模拟和测试中揭示了所提出的损失函数的有效性。特别是,将 SIoU 应用于 COCO-train/COCO-val 与其他损失函数相比,提高了 +2.4% (mAP@0.5:0.95) 和 +3.6%(mAP@0.5)。

1简介

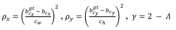
我们都知道目标检测中损失函数(LF)的定义起着重要作用。后者作为一种惩罚措施,需要在训练期间最小化,并且理想情况下可以将勾勒出目标的预测框与相应的真实框匹配。为目标检测问题定义 LF 有不同的方法,这些方法考虑到框的以下“不匹配”指标的某种组合:框中心之间的距离、重叠区域和纵横比。

最近 Rezatofighi 等人声称Generalized IoU (GIoU) LF优于其他标准 LF 的最先进的目标检测方法。虽然这些方法对训练过程和最终结果都产生了积极影响,但作者认为仍有很大改进的空间。因此,与用于计算图像中真实框和模型预测框不匹配的惩罚的传统指标并行——即距离、形状和 IoU,本文作者建议还要考虑匹配的方向。这种添加极大地帮助了训练收敛过程和效果,因为它可以让预测框很快地移动到最近的轴,并且随后的方法只需要一个坐标 X 或 Y 的回归。简而言之,添加Angle惩罚成本有效地减少了损失的总自由度。

2SIoU Loss

SIoU损失函数由4个Cost函数组成:

  • Angle cost
  • Distance cost
  • Shape cost
  • IoU cost

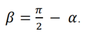
2.1 Angle cost

添加这种角度感知 LF 组件背后的想法是最大限度地减少与距离相关的“奇妙”中的变量数量。基本上,模型将尝试首先将预测带到 X 或 Y 轴(以最接近者为准),然后沿着相关轴继续接近。

如果 𝛼 ≤Π/4,收敛过程将首先最小化𝛼 , 否则最小化β:

为了首先实现这一点,以以下方式引入和定义了LF组件:

其中,

Angle cost的曲线如图2所示。

图2

2.2 Distance cost

考虑到上面定义的Angle cost,重新定义了Distance cost

其中,

可以看出,当𝛼→0时,Distance cost的贡献大大降低。相反,𝛼越接近Π/4,Distance cost贡献越大。随着角度的增大,问题变得越来越难。因此,γ被赋予时间优先的距离值,随着角度的增加。

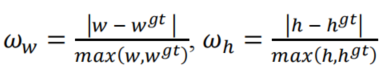
2.3 Shape cost

Shape cost的定义为:

其中,

𝜃 的值定义了每个数据集的Shape cost及其值是唯一的。𝜃 的值是这个等式中非常重要的一项,它控制着对Shape cost的关注程度。如果 𝜃 的值设置为 1,它将立即优化一个Shape,从而损害Shape的自由移动。为了计算 𝜃 的值,作者将遗传算法用于每个数据集,实验上 𝜃 的值接近 4,文中作者为此参数定义的范围是 2 到 6。

2.4 IoU Cost

IoU cost的定义为:

其中,

2.5 SIoU Loss

最后,回归损失函数为:

总损失函数为:

其中 是Focal Loss, 分别是框和分类损失权重。为了计算 、𝜃,使用了遗传算法。

3实验结果

图 10 总结了不同模型与 mAP@0.5:0.95 的推理时间。显然,Scylla-Net 的 mAP 值较高,而模型推理时间远低于比较模型的推理时间。

图 10

COCO-val 上 SIoU 的 mAP 为 52.7% mAP@0.5:0.95(包括预处理、推理和后处理为 7.6ms)和 70% mAP@0.5,同时 CIoU 为分别只有 50.3% 和 66.4%。

更大的模型可以达到 57.1% mAP@0.5:0.95(12ms 包括预处理、推理和后处理)和 74.3% mAP@0.5,而其他架构如 Efficient-Det-d7xYOLO-V4YOLO-V5 可以达到mAP@0.5:0.95分别为 54.4% (153ms)、47.1% (26.3ms) 和 50.4%(使用 fp16 进行 6.1ms)。

请注意,YOLO-V5x6-TTA 在 COCO-val 上可以达到约 55%,但推理时间非常慢(FP16 时约为 72ms)。



点击进入—> CV 微信技术交流群


ICCV和CVPR 2021论文和代码下载


后台回复:CVPR2021,即可下载CVPR 2021论文和代码开源的论文合集

后台回复:ICCV2021,即可下载ICCV 2021论文和代码开源的论文合集

后台回复:Transformer综述,即可下载最新的3篇Transformer综述PDF


目标检测和Transformer交流群成立


扫描下方二维码,或者添加微信:CVer6666,即可添加CVer小助手微信,便可申请加入CVer-目标检测或者Transformer 微信交流群。另外其他垂直方向已涵盖:目标检测、图像分割、目标跟踪、人脸检测&识别、OCR、姿态估计、超分辨率、SLAM、医疗影像、Re-ID、GAN、NAS、深度估计、自动驾驶、强化学习、车道线检测、模型剪枝&压缩、去噪、去雾、去雨、风格迁移、遥感图像、行为识别、视频理解、图像融合、图像检索、论文投稿&交流、PyTorch、TensorFlow和Transformer等。


一定要备注:研究方向+地点+学校/公司+昵称(如目标检测或者Transformer+上海+上交+卡卡),根据格式备注,可更快被通过且邀请进群


▲扫码或加微信: CVer6666,进交流群


CVer学术交流群(知识星球)来了!想要了解最新最快最好的CV/DL/ML论文速递、优质开源项目、学习教程和实战训练等资料,欢迎扫描下方二维码,加入CVer学术交流群,已汇集数千人!


扫码进群

▲点击上方卡片,关注CVer公众号

整理不易,请点赞和在看

登录查看更多
1

相关内容

何恺明组新论文:只用ViT做主干也可以做好目标检测
专知会员服务
30+阅读 · 2022年4月2日
CVPR 2022 | 用于目标检测的双加权标签分配
专知会员服务
9+阅读 · 2022年3月26日
专知会员服务
22+阅读 · 2021年7月28日
专知会员服务
18+阅读 · 2021年4月24日
专知会员服务
30+阅读 · 2021年4月5日
目标检测回归损失函数总结
极市平台
0+阅读 · 2021年10月27日
CVPR 2019:精确目标检测的不确定边界框回归
AI科技评论
13+阅读 · 2019年9月16日
目标检测中边界框的回归策略
极市平台
17+阅读 · 2019年9月8日
再谈人脸识别损失函数综述
人工智能前沿讲习班
14+阅读 · 2019年5月7日
人脸识别损失函数综述(附开源实现)
极市平台
29+阅读 · 2019年3月12日
YOLOv3:An Incremental Improvement 全文翻译
极市平台
12+阅读 · 2018年3月28日
国家自然科学基金
0+阅读 · 2015年12月31日
国家自然科学基金
0+阅读 · 2015年12月31日
国家自然科学基金
0+阅读 · 2015年12月31日
国家自然科学基金
0+阅读 · 2013年12月31日
国家自然科学基金
0+阅读 · 2012年12月31日
国家自然科学基金
0+阅读 · 2012年12月31日
国家自然科学基金
0+阅读 · 2009年12月31日
国家自然科学基金
1+阅读 · 2009年12月31日
国家自然科学基金
0+阅读 · 2009年12月31日
Arxiv
11+阅读 · 2018年4月8日
VIP会员
相关资讯
目标检测回归损失函数总结
极市平台
0+阅读 · 2021年10月27日
CVPR 2019:精确目标检测的不确定边界框回归
AI科技评论
13+阅读 · 2019年9月16日
目标检测中边界框的回归策略
极市平台
17+阅读 · 2019年9月8日
再谈人脸识别损失函数综述
人工智能前沿讲习班
14+阅读 · 2019年5月7日
人脸识别损失函数综述(附开源实现)
极市平台
29+阅读 · 2019年3月12日
YOLOv3:An Incremental Improvement 全文翻译
极市平台
12+阅读 · 2018年3月28日
相关基金
国家自然科学基金
0+阅读 · 2015年12月31日
国家自然科学基金
0+阅读 · 2015年12月31日
国家自然科学基金
0+阅读 · 2015年12月31日
国家自然科学基金
0+阅读 · 2013年12月31日
国家自然科学基金
0+阅读 · 2012年12月31日
国家自然科学基金
0+阅读 · 2012年12月31日
国家自然科学基金
0+阅读 · 2009年12月31日
国家自然科学基金
1+阅读 · 2009年12月31日
国家自然科学基金
0+阅读 · 2009年12月31日
Top
微信扫码咨询专知VIP会员