基于神经网络的高性能依存句法分析器

2017 年 10 月 3 日 全球人工智能

“全球人工智能”拥有十多万AI产业用户,10000多名AI技术专家。主要来自:北大,清华,中科院,麻省理工,卡内基梅隆,斯坦福,哈佛,牛津,剑桥...以及谷歌,腾讯,百度,脸谱,微软,阿里,海康威视,英伟达......等全球名校和名企。


——免费加入AI高管投资者群>>

——免费加入AI技术专家社群>>

一、依存句法分析器综述

谈起依存句法分析,主流的统计句法分析一般分为两大流派——生成式和判决式。

1、生成式句法分析

生成式就是生成一系列句法树,从里面挑选出概率最大的那一棵作为输出。在具体实现的时候,可以选择最大熵等模型去计算单条依存边的概率,利用最大生成树算法来挑选最佳句法树,比如《最大熵依存句法分析器的实现》。

其优点是效果好,但开销大。训练的时候常常要用一份巨大的特征模板,得到的模型中含有大量复杂的特征函数。在解码的时候,这些特征函数的储存和运算成本很高。由于是全局最优,所以可以取得较高的准确率,还可以很方便地处理非投射的句法树。不过也由于搜索的全局性和特征函数的复杂度,模型常常会过拟合,在训练集和测试集上的准确率差别很大。

2、判决式句法分析

判决式一般是基于动作(或称转移)和一个分类器实现的,仿照人类从左到右的阅读顺序,判决式句法分析器不断地读入单词,根据该单词和已构建的句法子树等信息建立分类模型,分类模型输出当前状态下的最佳动作,然后判决式分析器根据最佳动作“拼装”句法树。

二、动作体系简介

一般有两大体系,分别处理投射和非投射两种语言现象。

1、投射

刘群老师在计算语言学讲义中说,大多数语言,包括汉语和英语,满足投射性。

所谓投射性是指:如果词p依存于词q,那么p和q之间的任意词r就不能依存到p和q所构成的跨度之外(用白话说,就是任意构成依存的两个单词构成一个笼子,把它们之间的所有单词囚禁在这个笼子里,只可内部交配,不可与外族通婚)。比如:

再比如:

处理投射现象的动作体系有Arc-eager和Arc-standard (Nirve, 2004),后者就是本依存句法分析器采用的动作体系,后面会详细阐述。

2、非投射

非投射就没有上述限制了,这会导致依存边有交叉,怎么都理不顺:


事实上,不同于刘群老师的观点,Saarbrücken说道,25% or more of the sentences in some languages are non-projective。对于汉语,王跃龙还专门写了《汉语交叉依存类非投射性现象.pdf》进行分门别类地详细研究,比如:

处理非投射的动作体系有Arc standard + swap (Nirve, ACL 2009)。

本Parser无法处理非投射现象,也就是说,即使一个句子本身是非投射的,但分析出来的依存句法树依然是投射的。

三、Arc-standard详解

在arc-standard system中,一次分析任务由一个栈s(题外话,有些人包括维基认为栈也叫堆栈,我强烈反对,堆是heap,栈是stack,heap和stack才混称堆栈),一个队列b,一系列依存弧A构成。如果定义一个句子为单词构成的序列,那么——

1、栈

栈s是用来储存系统已经处理过的句法子树的根节点的,初始状态下。另外,定义从栈顶数起的第i个元素为si。那么栈顶元素就是s1,s1的下一个元素就是s2:

在一些中文论文中习惯使用焦点词这个表述,我觉得该表述更形象,如果我们将栈横着放,亦即让先入栈的元素在左边,后入栈的元素在右边:

则称s2为左焦点词,s1为右焦点词。接下来的动作都是围绕着这两个焦点词展开的。

2、队列

在《A Fast and Accurate Dependency Parser using Neural Networks.pdf》中,使用的是buffer这个单词,与其翻译为缓冲区,我认为这个概念更像一个顺序队列,而不是随机访问的缓冲区。队列模拟的是人眼的阅读顺序,人眼从左到右阅读,系统也从左往右读入单词,未读入的单词就构成一个队列,队列的出口在左边。初始状态下队列就是整个句子,且顺序不变:b=

3、依存弧

一条依存弧(原文dependency arcs,我认为翻译成变换也许更好)有两个信息:动作类型+依存关系名称l。l视依存句法语料库中使用了哪些依存关系label而定,在arc-standard系统中,一共有如下三种动作:

LEFT-ARC(l):添加一条s1 -> s2的依存边,名称为l,并且将s2从栈中删除。前提条件:。亦即建立右焦点词依存于左焦点词的依存关系,例如:

RIGHT-ARC(l):添加一条s2 -> s1的依存边,名称为l,并且将s1从栈中删除。前提条件:。亦即建立左焦点词依存于右焦点词的依存关系,例如:

SHIFT:将b1出队,压入栈。亦即不建立依存关系,只转移句法分析的焦点,即新的左焦点词是原来的右焦点词,依此类推。例如:

可见当存在种依存关系时,系统一共有种变换。

四、基于神经网络的句法分析器

1、神经网络模型

初等神经网络背景知识请参考《反向传播神经网络极简入门》,这并不是本文的重点。反向传播神经网络极简入门》中介绍的是二分类模型,然而arc-standard转移系统中,一共有种变换,这时候就得将输出层由一个节点换成多个节点。或者由一个节点换成一个softmax层(这也是Chen and Manning (2014)中的标准做法)。单一输出节点和softmax层的区别如图:

假设训练集由m个样本组成:,每个样本的特征维度都是n+1,其中对应截距项。

在二分类神经网络模型中,对隐藏层的输出做了一次逻辑斯蒂回归

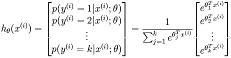
这个假设函数对应y=0的概率,用1减掉这个得到y=1的概率,二分类就是这么简单。而在多分类神经网络模型中,做的是softmax回归:

其中,输出是一个k维的向量,k是所有类别的数量。是模型的参数,在实现的时候,一般用一个的矩阵储存:

则是用于概率分布的归一化。不过,在LTP的实现中,并没有使用softmax层,而是直接用了隐藏层的输出:

这使得该神经网络模型的输出不再是概率,而是表示概率大小的一个“分值”,所以代码中的方法名为:

2、特征提取

不同于传统句法分析器的人工编写特征模板的作坊式风格,Chen and Manning将一些零散的原始特征直接作为输入传入神经网络模型中。至于它们是如何组合的,不再由人工编写的特征模板决定,而是由神经网络模型的隐藏层自动提取。

如上图所示,Chen and Manning使用了词、词性、依存关系名称等作为了原始特征(这里还有他们的独创做法,且听下文分解)。

具体是哪些词和词性以及依存关系呢?对转移系统的当前状态(亦即上下文)来讲,有如下值得注意的词语:

NeuralNetworkParser#get_basic_features这个方法将它们的词和词性作为原始特征添加到了待分析的实例中。

3、词向量、词性向量、依存向量

词向量就是众所周知的word2vec训练出的向量,英文术语是embedding,我觉得直译成“词嵌入”有些过硬,还是通俗的词向量比较容易理解。

比较先进的句法分析器已经开始用词向量代替词本身来作为特征了,但Chen and Manning还有更绝的,他们把词性和依存关系也向量化了(To our best knowledge, this is the first attempt to introduce POS tag and arc label embeddings instead of discrete representations)。Chen and Manning说,既然词和词之间有相似的关系,那么词性、依存相互之间都应该有相似的关系。这些有相似度的向量导入模型后,对性能有所提升。

这些向量被存在一个矩阵中:

加载完模型后确定向量的维度

以后每个特征(词、词性、依存关系)都直接去这个矩阵里取出一列作为列向量就完成了到向量的转化:

不过,在此之前,还有一个性能提升的措施。

4、词聚类

词聚类也是一种特征的抽象化,相似的词在句法树中的功能也应该是相似的。LTP的文档中指出利用了Guo et. al, (2015)中提出的词聚类特征,然而我并没有找到这篇论文。如果你有,恳请告诉我。

接下来我将通过代码反推词聚类大概的作用。

首先,聚类的第一个问题就是聚成几个类。在代码中,一共聚类了3次,每次的类的数目都不同,从少到多依次是:

另外,还保留了每个聚类中每个类别的String->ID映射:

接下来就会将词映射到类的ID:

上文的特征提取中的词,其实都指的是词的聚类的ID,这就是上文提到的性能提升的措施。

5、距离和配价特征

Zhang and Nivre (2011)在中指出,两个焦点词的距离和配价(Valency,指的是一个词有几个子节点)都有助于分类决策。在实现中,分别对应:

6、立方激活函数

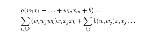
如同《反向传播神经网络极简入门》中介绍的一样,常用的激活函数有tanh和Sigmoid这两种。不过在本句法分析器中,使用的是立方激活函数:

这个函数有什么好处呢?它可以将输入特征充分地组合起来,因为特征来自词、词性、依存这三个大类,假设分别为,那么

立方展开后将ijk遍历相乘,组合在一起了。据Chen and Manning试验,该立方激活函数在性能上优于传统的激活函数:

在代码中,对应:

进入全球人工智能学院

热门文章推荐

中科院步态识别技术:不看脸 50米内在人群中认出你!

厉害|黄仁勋狂怼CPU:摩尔定律已死 未来属于GPU!

干货|7步让你从零开始掌握Python机器学习!

华裔女科学家钱璐璐,发明仅20纳米的DNA机器人!

Geoffrey Hinton提出capsule 概念,推翻反向传播!

2017年7大最受欢迎的AI编程语言:Python第一!

重磅|中国首家人工智能技术学院在京揭牌开学!

厉害 | 南京大学周志华教授当选欧洲科学院外籍院士!

5个月市值涨了1200亿,首次突破3100亿市值!

华为扔下这枚“AI芯弹”,全世界的智能手机都卡死了!

登录查看更多
8

相关内容

句法分析(Parsing)就是指对句子中的词语语法功能进行分析,比如“我来晚了”,这里“我”是主语,“来”是谓语,“晚了”是补语。 句法分析(syntactic parsing)是对输入的文本句子进行分析以得到句子的句法结构的处理过程。对句法结构进行分析,一方面是语言理解的自身需求,句法分析是语言理解的重要一环,另一方面也为其它自然语言处理任务提供支持。例如句法驱动的统计机器翻译需要对源语言或目标语言(或者同时两种语言)进行句法分析;语义分析通常以句法分析的输出结果作为输入以便获得更多的指示信息。
基于多头注意力胶囊网络的文本分类模型
专知会员服务
78+阅读 · 2020年5月24日
专知会员服务
157+阅读 · 2020年4月21日
机器翻译深度学习最新综述
专知会员服务
99+阅读 · 2020年2月20日
【华侨大学】基于混合深度学习算法的疾病预测模型
专知会员服务
97+阅读 · 2020年1月21日
 【中科院信工所】社交媒体情感分析,40页ppt
专知会员服务
104+阅读 · 2019年12月13日
深度学习视频中多目标跟踪:论文综述
专知会员服务
94+阅读 · 2019年10月13日
一文读懂依存句法分析
AINLP
16+阅读 · 2019年4月28日
一文了解成分句法分析
人工智能头条
15+阅读 · 2019年4月24日
别说还不懂依存句法分析
人工智能头条
23+阅读 · 2019年4月8日
详解Transition-based Dependency parser基于转移的依存句法解析器
黑龙江大学自然语言处理实验室
9+阅读 · 2019年3月18日
基于典型相关分析的词向量
AI研习社
7+阅读 · 2017年12月24日
赛尔原创 | 基于转移的语义依存图分析
哈工大SCIR
5+阅读 · 2017年11月20日
推荐|CS224n研究热点:自动组合神经网络做问答系统!
全球人工智能
3+阅读 · 2017年9月27日
详解基于朴素贝叶斯的情感分析及Python实现
AI研习社
9+阅读 · 2017年7月12日
Arxiv
29+阅读 · 2020年3月16日
Area Attention
Arxiv
5+阅读 · 2019年5月23日
Bidirectional Attention for SQL Generation
Arxiv
4+阅读 · 2018年6月21日
Arxiv
14+阅读 · 2018年5月15日
VIP会员
相关VIP内容
基于多头注意力胶囊网络的文本分类模型
专知会员服务
78+阅读 · 2020年5月24日
专知会员服务
157+阅读 · 2020年4月21日
机器翻译深度学习最新综述
专知会员服务
99+阅读 · 2020年2月20日
【华侨大学】基于混合深度学习算法的疾病预测模型
专知会员服务
97+阅读 · 2020年1月21日
 【中科院信工所】社交媒体情感分析,40页ppt
专知会员服务
104+阅读 · 2019年12月13日
深度学习视频中多目标跟踪:论文综述
专知会员服务
94+阅读 · 2019年10月13日
相关资讯
一文读懂依存句法分析
AINLP
16+阅读 · 2019年4月28日
一文了解成分句法分析
人工智能头条
15+阅读 · 2019年4月24日
别说还不懂依存句法分析
人工智能头条
23+阅读 · 2019年4月8日
详解Transition-based Dependency parser基于转移的依存句法解析器
黑龙江大学自然语言处理实验室
9+阅读 · 2019年3月18日
基于典型相关分析的词向量
AI研习社
7+阅读 · 2017年12月24日
赛尔原创 | 基于转移的语义依存图分析
哈工大SCIR
5+阅读 · 2017年11月20日
推荐|CS224n研究热点:自动组合神经网络做问答系统!
全球人工智能
3+阅读 · 2017年9月27日
详解基于朴素贝叶斯的情感分析及Python实现
AI研习社
9+阅读 · 2017年7月12日
Top
微信扫码咨询专知VIP会员