BAT机器学习面试题1000题(366~370题)

2018 年 8 月 23 日 七月在线实验室

点击上方蓝字关注




BAT机器学习面试题1000题(366~370题)


366题

简单介绍下logistics回归?


点击下方空白区域查看答案

解析:

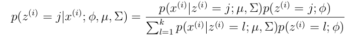
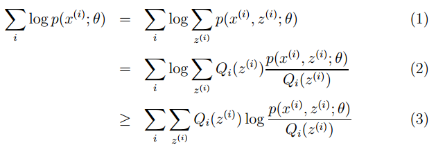
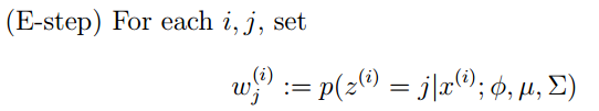
有时候因为样本的产生和隐含变量有关(隐含变量是不能观察的),而求模型的参数时一般采用最大似然估计,由于含有了隐含变量,所以对似然函数参数求导是求不出来的,这时可以采用EM算法来求模型的参数的(对应模型参数个数可能有多个),EM算法一般分为2步:  

E步:选取一组参数,求出在该参数下隐含变量的条件概率值;  

M步:结合E步求出的隐含变量条件概率,求出似然函数下界函数(本质上是某个期望函数)的最大值。  

重复上面2步直至收敛。  

公式如下所示:

M步公式中下界函数的推导过程:

EM算法一个常见的例子就是GMM模型,每个样本都有可能由k个高斯产生,只不过由每个高斯产生的概率不同而已,因此每个样本都有对应的高斯分布(k个中的某一个),此时的隐含变量就是每个样本对应的某个高斯分布。 

GMM的E步公式如下(计算每个样本对应每个高斯的概率):

更具体的计算公式为:

M步公式如下(计算每个高斯的比重,均值,方差这3个参数):

本题解析来源:@tornadomeet,链接:http://www.cnblogs.com/tornadomeet/p/3395593.html





367题

KNN中的K如何选取的?

点击下方空白区域查看答案

解析:

关于什么是KNN,可以查看此文:《从K近邻算法、距离度量谈到KD树、SIFT+BBF算法》(链接:http://blog.csdn.net/v_july_v/article/details/8203674)。KNN中的K值选取对K近邻算法的结果会产生重大影响。


如李航博士的一书「统计学习方法」上所说:如果选择较小的K值,就相当于用较小的领域中的训练实例进行预测,“学习”近似误差会减小,只有与输入实例较近或相似的训练实例才会对预测结果起作用,


与此同时带来的问题是“学习”的估计误差会增大,换句话说,K值的减小就意味着整体模型变得复杂,容易发生过拟合;如果选择较大的K值,就相当于用较大领域中的训练实例进行预测,其优点是可以减少学习的估计误差,但缺点是学习的近似误差会增大。这时候,与输入实例较远(不相似的)训练实例也会对预测器作用,使预测发生错误,且K值的增大就意味着整体的模型变得简单。 


K=N,则完全不足取,因为此时无论输入实例是什么,都只是简单的预测它属于在训练实例中最多的累,模型过于简单,忽略了训练实例中大量有用信息。    在实际应用中,K值一般取一个比较小的数值,例如采用交叉验证法(简单来说,就是一部分样本做训练集,一部分做测试集)来选择最优的K值。




368题

防止过拟合的方法

点击下方空白区域查看答案

解析:

过拟合的原因是算法的学习能力过强;一些假设条件(如样本独立同分布)可能是不成立的;训练样本过少不能对整个空间进行分布估计。 

处理方法: 

1 早停止:如在训练中多次迭代后发现模型性能没有显著提高就停止训练 

2 数据集扩增:原有数据增加、原有数据加随机噪声、重采样 

3 正则化,正则化可以限制模型的复杂度

 4 交叉验证

 5 特征选择/特征降维

 6 创建一个验证集是最基本的防止过拟合的方法。


我们最终训练得到的模型目标是要在验证集上面有好的表现,而不训练集




369题

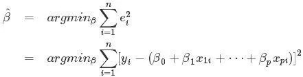
什么最小二乘法?

点击下方空白区域查看答案

解析:

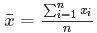
我们口头中经常说:一般来说,平均来说。如平均来说,不吸烟的健康优于吸烟者,之所以要加“平均”二字,是因为凡事皆有例外,总存在某个特别的人他吸烟但由于经常锻炼所以他的健康状况可能会优于他身边不吸烟的朋友。而最小二乘法的一个最简单的例子便是算术平均。    


最小二乘法(又称最小平方法)是一种数学优化技术。它通过最小化误差的平方和寻找数据的最佳函数匹配。利用最小二乘法可以简便地求得未知的数据,并使得这些求得的数据与实际数据之间误差的平方和为最小。用函数表示为:

使误差「所谓误差,当然是观察值与实际真实值的差量」平方和达到最小以寻求估计值的方法,就叫做最小二乘法,用最小二乘法得到的估计,叫做最小二乘估计。当然,取平方和作为目标函数只是众多可取的方法之一。  

 最小二乘法的一般形式可表示为:

有效的最小二乘法是勒让德在 1805 年发表的,基本思想就是认为测量中有误差,所以所有方程的累积误差为

 我们求解出导致累积误差最小的参数即可:

勒让德在论文中对最小二乘法的优良性做了几点说明: 

1,最小二乘使得误差平方和最小,并在各个方程的误差之间建立了一种平衡,从而防止某一个极端误差取得支配地位

2.计算中只要求偏导后求解线性方程组,计算过程明确便捷

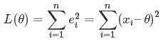
3.最小二乘可以导出算术平均值作为估计值    对于最后一点,从统计学的角度来看是很重要的一个性质。推理如下:假设真值为θ, x1,⋯,xn为n次测量值, 每次测量的误差为ei=xi−θ,按最小二乘法,误差累积为

求解θ使L(θ)达到最小,正好是算术平均

由于算术平均是一个历经考验的方法,而以上的推理说明,算术平均是最小二乘的一个特例,所以从另一个角度说明了最小二乘方法的优良性,使我们对最小二乘法更加有信心。    


最小二乘法发表之后很快得到了大家的认可接受,并迅速的在数据分析实践中被广泛使用。不过历史上又有人把最小二乘法的发明归功于高斯,这又是怎么一回事呢。高斯在1809年也发表了最小二乘法,并且声称自己已经使用这个方法多年。高斯发明了小行星定位的数学方法,并在数据分析中使用最小二乘方法进行计算,准确的预测了谷神星的位置。 


对了,最小二乘法跟SVM有什么联系呢?请参见《支持向量机通俗导论(理解SVM的三层境界)》(链接:http://blog.csdn.net/v_july_v/article/details/7624837)。




370题

简单说说贝叶斯定理

点击下方空白区域查看答案

解析:

在引出贝叶斯定理之前,先学习几个定义:条件概率(又称后验概率)就是事件A在另外一个事件B已经发生条件下的发生概率。条件概率表示为P(A|B),读作“在B条件下A的概率”。


比如,在同一个样本空间Ω中的事件或者子集A与B,如果随机从Ω中选出的一个元素属于B,那么这个随机选择的元素还属于A的概率就定义为在B的前提下A的条件概率,所以:P(A|B) = |A∩B|/|B|,接着分子、分母都除以|Ω|得到

联合概率表示两个事件共同发生的概率。A与B的联合概率表示为

边缘概率(又称先验概率)是某个事件发生的概率。边缘概率是这样得到的:在联合概率中,把最终结果中那些不需要的事件通过合并成它们的全概率,而消去它们(对离散随机变量用求和得全概率,对连续随机变量用积分得全概率),这称为边缘化(marginalization),比如A的边缘概率表示为P(A),B的边缘概率表示为P(B)。


接着,考虑一个问题:P(A|B)是在B发生的情况下A发生的可能性。 首先,事件B发生之前,我们对事件A的发生有一个基本的概率判断,称为A的先验概率,用P(A)表示; 

其次,事件B发生之后,我们对事件A的发生概率重新评估,称为A的后验概率,用P(A|B)表示;

 类似的,事件A发生之前,我们对事件B的发生有一个基本的概率判断,称为B的先验概率,用P(B)表示; 

同样,事件A发生之后,我们对事件B的发生概率重新评估,称为B的后验概率,用P(B|A)表示。    


贝叶斯定理便是基于下述贝叶斯公式:


上述公式的推导其实非常简单,就是从条件概率推出。    根据条件概率的定义,在事件B发生的条件下事件A发生的概率是

 同样地,在事件A发生的条件下事件B发生的概率

整理与合并上述两个方程式,便可以得到:

接着,上式两边同除以P(B),若P(B)是非零的,我们便可以得到贝叶斯定理的公式表达式:

  所以,贝叶斯公式可以直接根据条件概率的定义直接推出。即因为P(A,B) = P(A)P(B|A) = P(B)P(A|B),所以P(A|B) = P(A)P(B|A)  / P(B)。更多请参见此文:《从贝叶斯方法谈到贝叶斯网络》(链接:http://blog.csdn.net/v_july_v/article/details/40984699)。




题目来源:七月在线官网(https://www.julyedu.com/)——面试题库——面试大题——机器学习


分享一哈


亲耐滴小伙伴们,8月中下旬喽,每年的三四月份、和八九月份,都是各大企业狂招人的季节,也是跳槽涨薪的最佳时节喔,想跳槽转行的亲们抓好机遇啦。


之前第一期,不到一个月,30人的名额很快招满,毕业之后有的不到半个月,便拿到30万offer,甚至更多


现在为了更好的冲刺秋季转行转岗转型的黄金季节,拿下dream offer,我们推出了【AI就业班 二期】此期特在一期基础上,进一步改进,推出BAT大咖一对一定向辅导+包就业更好的课程体系和服务。


报名即学,报名截止到8月底,还有一周时间喽,想转行跳槽的小伙伴们抓紧时间呢~~

(ps:点击下方“阅读原文”可在线报名,详细可添加客服咨询:julyedukefu_02



 更多资讯

 请戳一戳

往期推荐

机器学习中的弯路该如何避免?5个新人常见问题和3个学习规划

想做Python开发,这14种常用Python模块,你必须知道!

深度学习难吗?如果你连这25个概念都不知道,当然难!

这10道题会做,年薪百万木问题

45万AI面经 |  面试offer拿不停,人称“offer收割机”

【干货合集】关于支持向量机(SVM)的原理,你了解多少?(万字长文 速收)

点击“阅读原文”,可在线报名

登录查看更多
0

相关内容

【资源】100+本免费数据科学书
专知会员服务
108+阅读 · 2020年3月17日
【干货书】机器学习Python实战教程,366页pdf
专知会员服务
346+阅读 · 2020年3月17日
机器学习速查手册,135页pdf
专知会员服务
345+阅读 · 2020年3月15日
【经典书】精通机器学习特征工程,中文版,178页pdf
专知会员服务
360+阅读 · 2020年2月15日
谷歌机器学习速成课程中文版pdf
专知会员服务
147+阅读 · 2019年12月4日
【斯坦福&Google】面向机器人的机器学习,63页PPT
专知会员服务
26+阅读 · 2019年11月19日
BAT机器学习面试1000题(721~725题)
七月在线实验室
11+阅读 · 2018年12月18日
BAT机器学习面试1000题(716~720题)
七月在线实验室
19+阅读 · 2018年12月17日
BAT机器学习面试题1000题(376~380题)
七月在线实验室
9+阅读 · 2018年8月27日
BAT机器学习面试题1000题(331~335题)
七月在线实验室
12+阅读 · 2018年8月13日
BAT机器学习面试题1000题(316~320题)
七月在线实验室
14+阅读 · 2018年1月18日
BAT题库 | 机器学习面试1000题系列(第196~200题)
七月在线实验室
17+阅读 · 2017年11月16日
BAT题库 | 机器学习面试1000题系列(第191~195题)
七月在线实验室
6+阅读 · 2017年11月15日
BAT机器学习面试1000题系列(第116~120题)
七月在线实验室
16+阅读 · 2017年10月24日
BAT机器学习面试1000题系列(第51~55题)
七月在线实验室
10+阅读 · 2017年10月8日
BAT机器学习面试1000题系列(第36~40题)
七月在线实验室
8+阅读 · 2017年10月3日
Reasoning on Knowledge Graphs with Debate Dynamics
Arxiv
14+阅读 · 2020年1月2日
Arxiv
7+阅读 · 2018年3月22日
Arxiv
4+阅读 · 2018年3月19日
VIP会员
相关VIP内容
【资源】100+本免费数据科学书
专知会员服务
108+阅读 · 2020年3月17日
【干货书】机器学习Python实战教程,366页pdf
专知会员服务
346+阅读 · 2020年3月17日
机器学习速查手册,135页pdf
专知会员服务
345+阅读 · 2020年3月15日
【经典书】精通机器学习特征工程,中文版,178页pdf
专知会员服务
360+阅读 · 2020年2月15日
谷歌机器学习速成课程中文版pdf
专知会员服务
147+阅读 · 2019年12月4日
【斯坦福&Google】面向机器人的机器学习,63页PPT
专知会员服务
26+阅读 · 2019年11月19日
相关资讯
BAT机器学习面试1000题(721~725题)
七月在线实验室
11+阅读 · 2018年12月18日
BAT机器学习面试1000题(716~720题)
七月在线实验室
19+阅读 · 2018年12月17日
BAT机器学习面试题1000题(376~380题)
七月在线实验室
9+阅读 · 2018年8月27日
BAT机器学习面试题1000题(331~335题)
七月在线实验室
12+阅读 · 2018年8月13日
BAT机器学习面试题1000题(316~320题)
七月在线实验室
14+阅读 · 2018年1月18日
BAT题库 | 机器学习面试1000题系列(第196~200题)
七月在线实验室
17+阅读 · 2017年11月16日
BAT题库 | 机器学习面试1000题系列(第191~195题)
七月在线实验室
6+阅读 · 2017年11月15日
BAT机器学习面试1000题系列(第116~120题)
七月在线实验室
16+阅读 · 2017年10月24日
BAT机器学习面试1000题系列(第51~55题)
七月在线实验室
10+阅读 · 2017年10月8日
BAT机器学习面试1000题系列(第36~40题)
七月在线实验室
8+阅读 · 2017年10月3日
Top
微信扫码咨询专知VIP会员