基于多域连接卷积神经网络的精神分裂症脑功能网络分类

2020 年 2 月 18 日 PaperWeekly


©PaperWeekly 原创 · 作者|张玮玮

学校|东北大学硕士生

研究方向|情绪识别

引言
论文动机 

生理学研究表明精神分裂症(Schizophrenia, SZ)与大脑感觉和额叶区功能障碍有关。患者脑电图(EEG)微观状态呈现前端-中心分布缩短,与记忆障碍相关的 theta 和 gamma 频段脑电图振荡异常。


单个大脑区域功能的中断并不能完全解释 SZ 中观察到的损伤范围。SZ 被认为是一种连接障碍,其特征是在微观和宏观层面上的大脑结构和功能连接网络异常。此外,大多数研究中提出的架构侧重于单一领域的一种连接度量,如用于功能连接的Pearson相关系数,没有考虑大脑网络的连接方向性和拓扑组织。

针对以上两个问题,作者提出基于深度 CNNs 框架来对基于 EEG 的脑连接模式改变进行分类。 



论文工作 

论文设计了一种新颖的深度 CNN 架构,称为多域连接 CNN (multi-domain connectome CNN, MDC-CNN),它可以融合时域、频域和脑连接网络的拓扑度量对 SZ 患者识别。


首次利用具有大脑区域间信息流动方向性的功能连接(Functional Connectivity, FC)特征,作为 CNN 中 SZ 自动分类的判别特征。利用脑电图中估计的各种定向连通性,以捕获 SZ 中被破坏的大脑网络组织。


作者使用 VAR、PDC、CN 特征和所有三个特征集的融合测量脑电图连接模式,对 SZ 和健康组(healthy control,HC)分类时的卓越性能验证了所提出的 MDC-CNN 有效性。


论文方法
定向脑网络连接特征
1. VAR coefficient
表示 n 通道 T 个时间点头皮脑电图数据。  的 VAR(L) 模型:

表示高斯白噪声。采用 N×N 系数矩阵   对不同脑电图通道间的定向连接网络进行量化,其中  表示格兰杰因果意义上通道 i 与通道 j 的连接强度。
由   表示 VAR 系数,则 VAR(L) 模型可以表示为 ,其中:

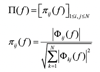
2. Partial Directed Coherence (PDC) 
PDC 是一种有效连接的频域特征,它仅量化了网络中节点之间的直接依赖关系,利用 PDC 矩阵来表征,即:

其中 Φ(f) 是采样频率为    的 VAR 系数矩阵的傅里叶变换。
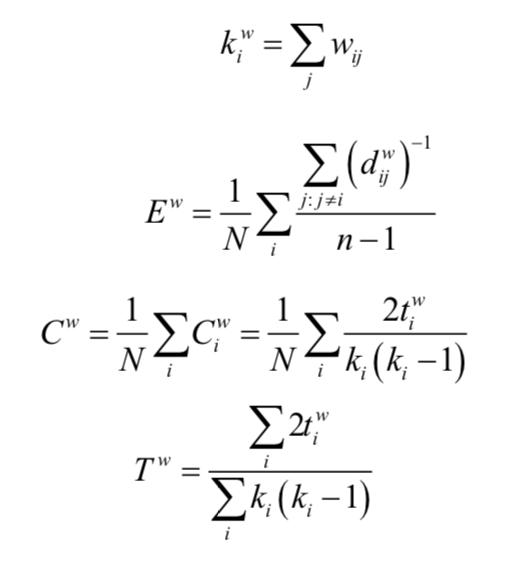
3. Complex Network (CN) measures 
CN 方法源于图论,已广泛用于描述复杂脑网络的高阶拓扑结构。论文采用 4 种能揭示 SZ 功能整合和分离中断的重要信息的CN特征,节点度   和全局效率   表示脑网络集成特点,聚类系数  和传递性  可以检测到网络的隔离异常,四种特征分别表示如下:

MDC-CNN

▲ 图1. 基于MDC-CNN的脑电图连通性模式分类框架

如图 1 所示,网络包括两个阶段:连通特征提取和基于 CNN 的分类。在第一个阶段,从多通道脑电图提取各种衡量定向大脑连接特征:时域 VAR 系数,频域 PDC 和基于拓扑的复杂网络(complex network, CN)度量。在第二阶段,提取不同领域的连通特征,然后将其作为深度 CNN 分类器集成的输入。

二维连通矩阵即将 L 阶滞后的 VAR 系数矩阵和 5 个主频带的 PDC 矩阵构造成一个三维张量,作为二维 CNN 模型的输入。将五个频带上连接 CN 特征的一维向量形成二维张量,作为一维的输入。CNN 的卷积层将在连通性特征中进一步学习空间结构的更高层次特征。

▲ 图2. MDC-CNN模型采用不同的融合策略

论文研究了三种不同的融合策略,以整合在多个连通特征域上训练的 CNNs 集合。Feature-level fusion 基于 CN, VAR 和 PDC 特征被展平连接成一个特征向量。Score-level fusion 中每个领域特定的 softmax 层的预测概率结果被组合为一个公共的二级 softmax 层的输入,用于预测类标签。Decision-level fusion 将特定领域的 CNN 的各个输出层独立预测类标签,通过多数投票,最终的类标签是在三个 CNN 模型中预测最频繁的一个。
结果
为了评估本文方法的性能,作者在莫斯科国立大学提供的 84 名受试者(45 名 SZ 患者和 39 名 HC 患者)的公开的精神分裂症脑电图数据集上进行了实验。采用五折交叉验证对 CNN 模型的性能进行了评价。
图 3 表示 MDC-CNN 的训练曲线。从表 1 可以看出 CNNs 的分类效果明显优于 SVM,并且所提出的整合不同领域特征的 MDC-CNN 将显著提高分类性能,超出了单个特征领域所能达到的性能。

▲ 图3. 训练过程中交叉熵损失的学习曲线


▲ 表1. 不同脑电图连接特征利用CNN与SVM方法在SZ和HC分类中的性能比较

如表 2 所示,SZ 和 HC 之间的脑电图连通性在低频波段有更明显的差异。从表3结果来看,decision-level fusion 方法优于其他两种特征融合方法。

▲ 表2. 利用PDC和CN连接特征对不同脑电图频带的CNN分类性能


▲ 表3. MDC-CNN在不同融合策略下的性能

结论
本文设计了 MDC-CNN,这是一种针对多域连接体数据设计的新型 CNN 架构。它可以有效地结合互补信息从多个大脑连接描述符的不同领域和维度分类的目的,包括时间和频域指标有效的连接和网络拓扑结构的复杂网络特诊。在静息状态脑电图中,所提出的 CNN 能够从区分 SZ 和 HC 的连通性特征中学习一种低层次和高层次的抽象表示特征。



点击以下标题查看更多往期内容: 





#投 稿 通 道#

 让你的论文被更多人看到 



如何才能让更多的优质内容以更短路径到达读者群体,缩短读者寻找优质内容的成本呢?答案就是:你不认识的人。


总有一些你不认识的人,知道你想知道的东西。PaperWeekly 或许可以成为一座桥梁,促使不同背景、不同方向的学者和学术灵感相互碰撞,迸发出更多的可能性。 


PaperWeekly 鼓励高校实验室或个人,在我们的平台上分享各类优质内容,可以是最新论文解读,也可以是学习心得技术干货。我们的目的只有一个,让知识真正流动起来。


📝 来稿标准:

• 稿件确系个人原创作品,来稿需注明作者个人信息(姓名+学校/工作单位+学历/职位+研究方向) 

• 如果文章并非首发,请在投稿时提醒并附上所有已发布链接 

• PaperWeekly 默认每篇文章都是首发,均会添加“原创”标志


📬 投稿邮箱:

• 投稿邮箱:hr@paperweekly.site 

• 所有文章配图,请单独在附件中发送 

• 请留下即时联系方式(微信或手机),以便我们在编辑发布时和作者沟通




🔍


现在,在「知乎」也能找到我们了

进入知乎首页搜索「PaperWeekly」

点击「关注」订阅我们的专栏吧



关于PaperWeekly


PaperWeekly 是一个推荐、解读、讨论、报道人工智能前沿论文成果的学术平台。如果你研究或从事 AI 领域,欢迎在公众号后台点击「交流群」,小助手将把你带入 PaperWeekly 的交流群里。


▽ 点击 | 阅读原文 | 下载论文

登录查看更多
1

相关内容

在深度学习中,卷积神经网络(CNN或ConvNet)是一类深度神经网络,最常用于分析视觉图像。基于它们的共享权重架构和平移不变性特征,它们也被称为位移不变或空间不变的人工神经网络(SIANN)。它们在图像和视频识别,推荐系统,图像分类,医学图像分析,自然语言处理,和财务时间序列中都有应用。

知识荟萃

精品入门和进阶教程、论文和代码整理等

更多

查看相关VIP内容、论文、资讯等
【KDD2020】自适应多通道图卷积神经网络
专知会员服务
121+阅读 · 2020年7月9日
【CVPR2020-Oral】用于深度网络的任务感知超参数
专知会员服务
28+阅读 · 2020年5月25日
【KDD2020】多源深度域自适应的时序传感数据
专知会员服务
62+阅读 · 2020年5月25日
基于深度学习的多标签生成研究进展
专知会员服务
147+阅读 · 2020年4月25日
【ICLR-2020】网络反卷积,NETWORK DECONVOLUTION
专知会员服务
39+阅读 · 2020年2月21日
深度神经网络模型压缩与加速综述
专知会员服务
130+阅读 · 2019年10月12日
手把手解释实现频谱图卷积
AI科技评论
9+阅读 · 2019年9月9日
CVPR 2019 | 一个高阶张量搞定整个全卷积网络
机器之心
9+阅读 · 2019年5月12日
图像分类:常用分类网络结构(附论文下载)
极市平台
13+阅读 · 2019年4月8日
卷积神经网络简明教程
论智
8+阅读 · 2018年8月24日
全连接网络到卷积神经网络逐步推导
炼数成金订阅号
7+阅读 · 2018年4月25日
全连接网络到卷积神经网络逐步推导(组图无公式)
全球人工智能
5+阅读 · 2018年4月22日
入门 | 从VGG到NASNet,一文概览图像分类网络
机器之心
6+阅读 · 2018年4月2日
论文分类
统计学习与视觉计算组
5+阅读 · 2018年3月13日
基于混合张量分解提升扩张卷积网络
论智
12+阅读 · 2018年2月11日
Arxiv
6+阅读 · 2019年4月8日
CoCoNet: A Collaborative Convolutional Network
Arxiv
6+阅读 · 2019年1月28日
Arxiv
4+阅读 · 2018年3月30日
Arxiv
6+阅读 · 2018年1月11日
VIP会员
相关VIP内容
【KDD2020】自适应多通道图卷积神经网络
专知会员服务
121+阅读 · 2020年7月9日
【CVPR2020-Oral】用于深度网络的任务感知超参数
专知会员服务
28+阅读 · 2020年5月25日
【KDD2020】多源深度域自适应的时序传感数据
专知会员服务
62+阅读 · 2020年5月25日
基于深度学习的多标签生成研究进展
专知会员服务
147+阅读 · 2020年4月25日
【ICLR-2020】网络反卷积,NETWORK DECONVOLUTION
专知会员服务
39+阅读 · 2020年2月21日
深度神经网络模型压缩与加速综述
专知会员服务
130+阅读 · 2019年10月12日
相关资讯
手把手解释实现频谱图卷积
AI科技评论
9+阅读 · 2019年9月9日
CVPR 2019 | 一个高阶张量搞定整个全卷积网络
机器之心
9+阅读 · 2019年5月12日
图像分类:常用分类网络结构(附论文下载)
极市平台
13+阅读 · 2019年4月8日
卷积神经网络简明教程
论智
8+阅读 · 2018年8月24日
全连接网络到卷积神经网络逐步推导
炼数成金订阅号
7+阅读 · 2018年4月25日
全连接网络到卷积神经网络逐步推导(组图无公式)
全球人工智能
5+阅读 · 2018年4月22日
入门 | 从VGG到NASNet,一文概览图像分类网络
机器之心
6+阅读 · 2018年4月2日
论文分类
统计学习与视觉计算组
5+阅读 · 2018年3月13日
基于混合张量分解提升扩张卷积网络
论智
12+阅读 · 2018年2月11日
Top
微信扫码咨询专知VIP会员