可视化理解二值交叉熵/对数损失

2020 年 10 月 25 日 极市平台
↑ 点击 蓝字  关注极市平台

作者丨Daniel Godoy
来源丨 PyVision
编辑丨极市平台

极市导读

 

损失函数通常用来评价模型的预测值和真实值不一样的程度,损失函数越好,通常模型的性能越好。本文主要以清晰简洁的方式解释了二值交叉熵/对数损失背后的概念。 >>加入极市CV技术交流群,走在计算机视觉的最前沿

介绍

如果你正在训练一个二分类器,很有可能你正在使用的损失函数是二值交叉熵/对数(binary cross-entropy / log)

你是否想过使用此损失函数到底意味着什么?问题是,鉴于如今库和框架的易用性,很容易让人忽略所使用损失函数的真正含义。

动机

我一直在寻找一个可以向学生展示的以清晰简洁可视化的方式解释二值交叉熵/对数损失背后概念的博客文章。但由于我实在找不到,只好自己承担了编写的任务:-)

一个简单的分类问题

让我们从10个随机点开始:

x = [-2.2, -1.4, -0.8, 0.2, 0.4, 0.8, 1.2, 2.2, 2.9, 4.6]

这是唯一的特征:x▲ 图0:特征

现在,让我们为点分配一些颜色红色绿色。这些是我们的标签▲ 图1:数据

因此,我们的分类问题非常简单:给定特征x,我们需要预测其标签:红或绿。

由于这是二分类,我们还可以提出以下问题:“该点是绿色吗? ”,或者更好的问法,“ 该点是绿色的概率是多少?” 理想情况下,绿点的概率为1.0(为绿色),而红点的概率为0.0(为绿色)。

在此设置中,绿点属于正类,它们是绿色),而红点属于负类,它们不是绿色)。

如果我们拟合模型来执行此分类,它将预测每个点是绿色的概率。假定我们了解点的颜色,我们如何评估预测概率的好坏?这就是损失函数的全部目的!对于错误的预测,它应该返回高值,对于良好的预测,它应该返回低值

对于像我们的示例这样的二分类典型的损失函数binary cross-entropy / log。

损失函数:二值交叉熵/对数(Binary Cross-Entropy / Log )损失

如果您查看此损失函数,就会发现:

▲ 二值交叉熵/对数

其中y标签绿色为1 , 红色为0),p(y)N点为绿色的预测概率。

这个公式告诉你,对于每个绿点(y = 1),它都会将_log(p(y))添加_到损失中,即,它为绿色的对数概率。相反,它为每个点(y = 0)添加_log(1-p(y))_,即它为红色对数概率。看起来不难,但好像不大直观……

此外,与这一切有什么关系?我们为什么首先要对数概率?这些是有意义的问题,我希望在下面的“ 向我展示数学 ”部分中回答。

但是,在介绍更多公式之前,让我向你展示上述公式的直观表示 ...

计算损失-可视化方式

首先,让我们根据它们的类()分开所有点,如下图所示:▲ 图2:拆分数据!

现在,让我们训练一个Logistic回归来对我们的点进行分类。拟合回归是一个sigmoid曲线,代表对于任何给定的x,一个点是绿色的概率。看起来像这样:▲ 图3:拟合Logistic回归

那么,对于属于正类(绿色)的所有点,我们的分类器给出的预测概率是多少?看sigmoid曲线下对应点x坐标上的绿色条

▲ 图4:正确分类正类中的点的概率

OK,到目前为止还不错!那负类的点又如何呢?请记住,sigmoid曲线下方绿色条表示给定点为绿色的概率。那么,给定点为红色的概率是多少呢?当然是sigmoid曲线以上的红色条啦 :-)
▲ 图5:正确分类负类中的点的概率

放在一起,我们最终得到这样的结果:▲ 图6:所有概率加在一起!

条形图表示与每个点的对应真实类别相关的预测概率

好的,我们有了预测的概率…是时候通过计算二值交叉熵/对数损失评估它们了!

这些概率就是我们要的,因此,让我们去掉x,将各个方条彼此相邻:

▲ 图7:所有点的概率

这样,吊起来的方条不再有意义,所以让我们重新定位一下:▲ 图8:所有点的概率—看起来好多了 :-)

由于我们正在尝试计算损失,因此我们需要对错误的预测进行惩罚,对吧?如果实际的类的概率1.0,我们需要它的损失相反,如果概率低,比如0.01,我们需要它的损失是巨大的!

事实证明,对于这个目的,采用概率(负)对数非常适合(由于0.0和1.0之间的值的对数为负,因此我们采用负对数以获得损失的正值)。

实际上,我们为此使用对数的原因是由于交叉熵的定义,请查看下面的“ 告诉我数学 ”部分,以获取更多详细信息。

下面的图给了我们一个清晰的展示 - 实际的类的预测概率越来越接近于零,则损失指数增长▲ 图9:不同概率的对数丢失

很公平!让我们取概率的(负)log -这些是每个点相应的损失

最后,我们计算所有这些损失平均值▲ 图10:最后,损失!

瞧!我们已经成功地计算了这个玩具示例的二值交叉熵/对数损失。是0.3329!

给我看代码

如果你想仔细检查我们得到的,只需运行下面的代码 :-)

from sklearn.linear_model import LogisticRegression
from sklearn.metrics import log_loss
import numpy as np

x = np.array([-2.2-1.4-.8.2.4.81.22.22.94.6])
y = np.array([0.00.01.00.01.01.01.01.01.01.0])

logr = LogisticRegression(solver='lbfgs')
logr.fit(x.reshape(-11), y)

y_pred = logr.predict_proba(x.reshape(-11))[:, 1].ravel()
loss = log_loss(y, y_pred)

print('x = {}'.format(x))
print('y = {}'.format(y))
print('p(y) = {}'.format(np.round(y_pred, 2)))
print('Log Loss / Cross Entropy = {:.4f}'.format(loss))

告诉我数学(真的吗?!)

这篇文章并不倾向于从数学上解释……但是对于一些的读者,希望了解对数在所有方面的作用,好, 我们开始吧:-)

分布

让我们从点的分布开始。y代表我们点的类别(我们有3个红点7个绿点),这是它的分布,我们称其为q(y),如下所示:▲ 图11:q(y),我们的点的分布

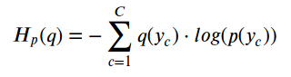
熵(Entropy)

熵是一个与给定的分布q(y)相关的不确定性的量度。

如果我们所有的点都是绿色的这种分布的不确定性是什么?,对吗?毕竟,毫无疑问,点的颜色:它总是绿色!因此,熵为零

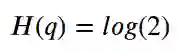
另一方面,如果我们确切知道该点的一半绿色另一半是红色?那是最坏的情况,对吧?我们绝对不可能猜到一个点的颜色:它是完全随机的!在这种情况下,熵由下面的公式给出(我们有两个类(颜色)–红色或绿色-因此为2):

▲ 一半一半分布的熵

对于介于两者之间的所有其它情况,我们可以用以下公式计算分布,例如q(y),其中_C_是类的数量:

▲ 熵

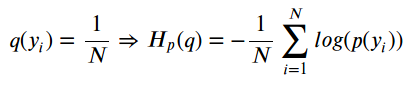
因此,如果我们知道随机变量的真实分布,则可以计算其但是,如果是这样的话,为什么要训练分类器呢?毕竟,我们知道真正的分布…

但是,如果我们不知道真实分布呢?我们可以尝试用其他一些分布(例如p(y))来近似真实分布吗?我们当然可以!:-)

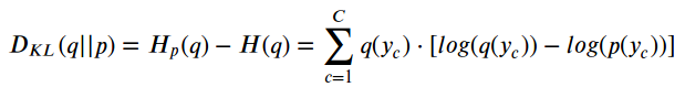
交叉熵(Cross-Entropy)

假设我们的点遵循这个其它分布p(y) 。但是,我们知道它们实际上来自真未知)分布q(y) ,对吧?

如果我们这样计算,我们实际上是在计算两个分布之间的交叉熵

▲ 交叉熵

如果我们奇迹般地p(y)q(y)完美匹配,则交叉熵的计算值也将匹配

由于这可能永远不会发生,因此交叉熵将比在真实分布上计算出的熵具有更大的值。▲ 交叉熵减去熵

事实上,交叉熵之间的差还有个名字……

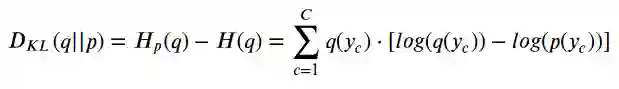
KL散度(Kullback-Leibler Divergence)

Kullback-Leibler Divergence,简称“ KL散度 ”,是两个分布之间差异的一种度量:

▲ KL散度

这意味着,p(y)越接近q(y) ,差异越少,因此交叉熵也越小

因此,我们需要找到一个合适的p(y)……但是,这不就是我们的分类器应该做的吗?确实如此!它寻找可能最佳p(y),以最小化交叉熵的值。

损失函数

在训练过程中,分类器使用其训练集中的N个点中的每一个来计算交叉熵损失,从而有效地拟合分布p(y)!由于每个点的概率为1 / N,因此交叉熵的计算公式为:

▲ 交叉熵 —— 点对点

还记得上面的图6至图10吗?我们需要在每个点的实际类相关概率上计算交叉熵。这意味着对正类(y = 1)中的点使用绿色条,对负类y = 0)中的点使用红色的悬挂,或者从数学角度看:

▲ 对应于图10的数学表达式 :-)

最后一步是计算两个正负类所有点的平均

▲ 二进制交叉熵 —— 在正负类上计算

最后,我们通过一点小处理,正类或负类中任何一点都可以用相同的公式:

▲ 二进制交叉熵 —— 通用公式

瞧!我们回到了二进制交叉熵/对数损失原始公式 :-)

最后

我真的希望这篇文章能够为一个常被认为是理所当然的概念- 二值交叉熵作为损失函数的概念-提供的思路。此外,我也希望它能向您展示一些机器学习信息论如何联系在一起的。

来源:https://towardsdatascience.com/understanding-binary-cross-entropy-log-loss-a-visual-explanation-a3ac6025181a


推荐阅读



【极市1024开发者节】
京东卡、算力棒、双肩包、20本CV电子书籍(人人有份),扫码查看

添加极市小助手微信(ID : cvmart2),备注:姓名-学校/公司-研究方向-城市(如:小极-北大-目标检测-深圳),即可申请加入极市目标检测/图像分割/工业检测/人脸/医学影像/3D/SLAM/自动驾驶/超分辨率/姿态估计/ReID/GAN/图像增强/OCR/视频理解等技术交流群:月大咖直播分享、真实项目需求对接、求职内推、算法竞赛、干货资讯汇总、与 10000+来自港科大、北大、清华、中科院、CMU、腾讯、百度等名校名企视觉开发者互动交流~

△长按添加极市小助手

△长按关注极市平台,获取 最新CV干货

觉得有用麻烦给个在看啦~   
登录查看更多
1

相关内容

交叉熵(Cross Entropy)是Shannon信息论中一个重要概念,主要用于度量两个概率分布间的差异性信息。语言模型的性能通常用交叉熵和复杂度(perplexity)来衡量。交叉熵的意义是用该模型对文本识别的难度,或者从压缩的角度来看,每个词平均要用几个位来编码。
专知会员服务
20+阅读 · 2021年1月7日
【NeurIPS 2020】对图神经网络更切实的对抗式攻击
专知会员服务
24+阅读 · 2020年11月5日
最新《高斯过程回归简明教程》,19页pdf
专知会员服务
73+阅读 · 2020年9月30日
从信息论的角度来理解损失函数
深度学习每日摘要
17+阅读 · 2019年4月7日
从最优化的角度看待 Softmax 损失函数
极市平台
31+阅读 · 2019年2月21日
一文道尽softmax loss及其变种
极市平台
14+阅读 · 2019年2月19日
可视化理解四元数,愿你不再掉头发
计算机视觉life
31+阅读 · 2019年1月2日
机器学习者都应该知道的五种损失函数!
数盟
5+阅读 · 2018年6月21日
从最大似然到EM算法:一致的理解方式
PaperWeekly
19+阅读 · 2018年3月19日
何恺明大神的「Focal Loss」,如何更好地理解?
PaperWeekly
10+阅读 · 2017年12月28日
【直观详解】信息熵、交叉熵和相对熵
机器学习研究会
10+阅读 · 2017年11月7日
BAT机器学习面试1000题系列(第51~55题)
七月在线实验室
10+阅读 · 2017年10月8日
Arxiv
0+阅读 · 2021年1月29日
Arxiv
5+阅读 · 2018年5月28日
Arxiv
4+阅读 · 2018年3月14日
Arxiv
3+阅读 · 2017年7月6日
VIP会员
相关资讯
从信息论的角度来理解损失函数
深度学习每日摘要
17+阅读 · 2019年4月7日
从最优化的角度看待 Softmax 损失函数
极市平台
31+阅读 · 2019年2月21日
一文道尽softmax loss及其变种
极市平台
14+阅读 · 2019年2月19日
可视化理解四元数,愿你不再掉头发
计算机视觉life
31+阅读 · 2019年1月2日
机器学习者都应该知道的五种损失函数!
数盟
5+阅读 · 2018年6月21日
从最大似然到EM算法:一致的理解方式
PaperWeekly
19+阅读 · 2018年3月19日
何恺明大神的「Focal Loss」,如何更好地理解?
PaperWeekly
10+阅读 · 2017年12月28日
【直观详解】信息熵、交叉熵和相对熵
机器学习研究会
10+阅读 · 2017年11月7日
BAT机器学习面试1000题系列(第51~55题)
七月在线实验室
10+阅读 · 2017年10月8日
Top
微信扫码咨询专知VIP会员