场景文本检测中的锚点机制探索及改进方法(含代码)

2020 年 8 月 13 日 CVer

点击上方“CVer”,选择加"星标"置顶

重磅干货,第一时间送达

本文转载自:CSIG文档图像分析与识别专委会


在自然场景文本检测技术中,基于锚点的回归方法是其中的一种主流方法[1,2,3,4]。然而,由于场景文本的多方向分布及尺寸角度变化的多样性,这类方法常常需要设计复杂多样的锚点来匹配各式各样的文本;场景文本检测中的锚点机制需要深入的探索,并进行有效的改进与创新。本文主要介绍两篇对于文本检测中锚点机制进行改进创新的论文:隐式锚点机制 HAM(IEEE TIP2020: HAM: Hidden Anchor Mechanism for Scene Text Detection)和注意力锚点机制 AAM(IEEE T-ITS 2020: Detecting Text in Scene and Traffic Guide Panels With Attention Anchor Mechanism)。

这两篇论文首先将锚点进行长度、高度、角度的解耦合[5],然后采用不同的改进方法将锚点重构为最终的文本检测结果,能够克服锚点设计的复杂性,自适应的检测不同方向、不同尺度的场景文本。其中,隐式锚点机制 HAM将所有锚点的预测值当做一个隐藏层,然后将所有的预测结果融合,使得网络的输出类似于直接回归方法。注意力锚点机制 AAM使用注意力机制预测宽度、高度和角度锚点,然后根据预测出来的锚点来进行最终检测文本的回归。


一、研究背景

目前基于锚点的文本方法都会设计很多复杂的锚点来使其符合多变的文本。这使得算法的复杂度变高,不利于不同场景下的文本检测,遇到没有对应的设计锚点,此时的文本检测往往表现不好。本文介绍的两篇论文则是,针对锚点设计复杂性问题,分别设计了机制隐式锚点机制和注意力锚点,来提升基于锚点的算法对于多方向复杂文本检测的性能。


二、隐式锚点机制



1. 原理简述


隐式锚点机制将锚点的输出层作为一个网络的隐层,并将每个锚点的预测结果加权求和,从而得出最终的预测结果。如图 1 所示,论文提出的隐式锚点机制将直接回归方法(例如 EAST [6] )和基于锚点回归的方法相结合,将锚点的输出结果作为网络的中间隐层,将其重新组合成为最终的输出预测结果,使得网络的输出结果和直接回归方法一样简洁,能够方便的进行计算与训练。



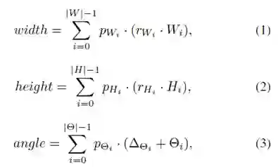
隐式锚点机制原理如图2所示,在解耦合锚点机制基础上,在特征图的每一个像素点,隐式锚点机制为每一个锚点值预测一个回归值与锚点值的比例,以及一个分类的置信度,即每个锚点均预测回归值。其中同一维度(宽度/高度/角度)锚点的分类置信度之和(包括背景类置信度)为1,使用Softmax来进行分类监督。最后,同一维度(宽度/高度/角度)锚点的预测值将分类置信度作为权重,进行加权求和,得到最终预测的宽度、高度和角度。


如图6所示,论文还提出了一种迭代回归框的机制(IRB)来作为后处理,进一步提升方法的性能。

其中,预测的宽高角度如公式123所示,最终的分类结果和预测框如公式45所示,整个网络的最终输出结果与直接回归类方法EAST类型。

 

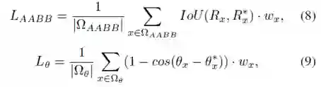
这里,损失函数参考了FOTS [7],额外增加了La来对每个锚点进行分配。损失函数如公式610所示,LclsLaLAABBLθ分别为分类损失,锚点分配损失,回归框损失和角度的损失函数。L为最终的损失函数,其中 设置为 10 在前 10 万轮为 0.1 ,之后为 0

2. 主要实验结果及可视化效果

从表VIIV可以看出,该方法在MSRA-TD500ICDAR 2015上都取得了State-of-the-art的检测效果。其中+IRB代表使用了本文提出的迭代回归框的后处理方法,

上图展示了一些可视化的场景文本数据集MSRA-TD500 ICDAR 2015ICDAR 2017 MLT检测结果图。
 
三、注意力锚点机制



1. 原理简述




注意力锚点机制的原理如图2所示,主干网络类似于FPN,其中添加了RFB模块来增强网络的感受野。论文对于解耦合之后的锚点使用了注意力机制,将注意力机制预测的权重作为每个锚点的权重,并将每个维度的锚点进行加权求和,从而预测出一个适合当前文本的锚点,即为注意力锚点。在注意力锚点的基础上,本文的方法预测了文本的真值和锚点的比例,从而预测出文本的宽度,高度以及角度。

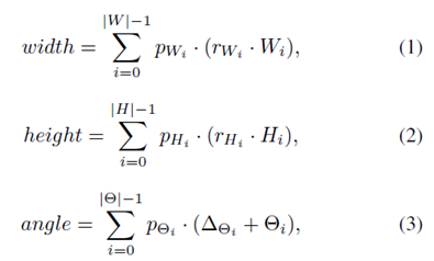
预测的注意力机制权重如公式1所示;注意力机制之后预测出来的锚点值为公式234;预测的宽、高、角度值为公式567;最终的预测分类结果为公式8,回归框为公式9

注意力锚点机制的损失函数与FOTS类似,与隐式锚点机制相比没有La来对锚点进行显式地分配,而是用注意力机制自动分配。


2. 主要实验结果及可视化效果




从表IIIV可以看出,该方法在MSRA-TD500ICDAR 2015上都取得了State-of-the-art的检测效果。


四、总结及讨论

本文介绍了两篇对锚点机制进行改进的自然场景文本检测方法,对基于锚点机制的场景文本检测方法进行了较深入的探索及相应性的改进创新。在多个文本检测数据集上的实验表明这两种方法均取得了良好的性能。


五、相关资源
论文下载:
HAM: https://ieeexplore.ieee.org/document/9143459
AAM: https://ieeexplore.ieee.org/document/9113429
代码链接:https://github.com/hjbplayer/HAM

 

参考文献
[1] M. Liao, B. Shi, X. Bai, X. Wang, and W. Liu, “Textboxes: A fast text detector with a single deep neural network,” in AAAI, 2017, pp. 4161–4167.
[2] Lao, B. Shi, and X. Bai, “Textboxes++: A single-shot oriented scene text detector,” IEEE Trans. Image Processing, vol. 27, no. 8, pp.3676–3690, 2018.
[3] J. Ma, W. Shao, H. Ye, L. Wang, H. Wang, and Y. Z. and Xiangyang Xue, “Arbitrary-oriented scene text detection via rotation proposals,” IEEE TMM, vol. 20, no. 11, pp. 3111–3122, 2018.
[4] Q. Yang, M. Cheng, W. Zhou, Y. Chen, M. Qiu, and W. Lin,“Inceptext:A new inception-text module with deformable psroi pooling for multioriented scene text detection,” in IJCAI, 2018, pp. 1071–1077.
[5] L. Xie, Y. Liu, L. Jin, and Z. Xie, “Derpn: Taking a further step toward more general object detection,” in AAAI, 2019, pp. 9046–9053.
[6] X. Zhou, C. Yao, H. Wen, Y. Wang, S. Zhou, W. He, and J. Liang, “EAST: An efficient and accurate scene text detector,” in CVPR, 2017, pp. 2642–2651.
[7] X. Liu, D. Liang, S. Yan, D. Chen, Y. Qiao, and J. Yan, “FOTS:Fast oriented text spotting with a unified network,” in Proc. IEEE/CVFConf.Comput. Vis. Pattern Recognit., Jun. 2018, pp. 5676–5685.

 



原文作者:(论文1) Jie-Bo Hou, Xiaobin Zhu,Chang Liu, Kekai Sheng, Long-Huang Wu, Hongfa Wang, Xu-Cheng Yin
(论文2)Jie-Bo Hou, Xiaobin Zhu,Chang Liu, Chun Yang,  Long-Huang Wu, Hongfa Wang, Xu-Cheng Yin


撰稿:侯杰波    编排: 高 学

审校:连宙辉   发布:金连文


下载1


在CVer公众号后台回复PRML,即可下载758页《模式识别和机器学习》PRML电子书和源码该书是机器学习领域中的第一本教科书,全面涵盖了该领域重要的知识点。本书适用于机器学习、计算机视觉、自然语言处理、统计学、计算机科学、信号处理等方向。


PRML


下载2


在CVer公众号后台回复:CVPR2020,即可下载CVPR 2020代码开源的论文合集

在CVer公众号后台回复:ECCV2020,即可下载ECCV 2020代码开源的论文合集


重磅!CVer-场景文本检测 微信交流群已成立


扫码添加CVer助手,可申请加入CVer-场景文本检测 微信交流群,目前已汇集500人!涵盖2D/3D目标检测、小目标检测、遥感目标检测等。互相交流,一起进步!


同时也可申请加入CVer大群和细分方向技术群,细分方向已涵盖:目标检测、图像分割、目标跟踪、人脸检测&识别、OCR、姿态估计、超分辨率、SLAM、医疗影像、Re-ID、GAN、NAS、深度估计、自动驾驶、强化学习、车道线检测、模型剪枝&压缩、去噪、去雾、去雨、风格迁移、遥感图像、行为识别、视频理解、图像融合、图像检索、论文投稿&交流、PyTorch和TensorFlow等群。


一定要备注:研究方向+地点+学校/公司+昵称(如场景文本检测+上海+上交+卡卡),根据格式备注,可更快被通过且邀请进群

▲长按加群


▲长按关注我们

整理不易,请给CVer点赞和在看

登录查看更多
2

相关内容

深度学习目标检测方法综述
专知会员服务
280+阅读 · 2020年8月1日
最新《自然场景中文本检测与识别》综述论文,26页pdf
专知会员服务
70+阅读 · 2020年6月10日
专知会员服务
109+阅读 · 2020年5月21日
基于小样本学习的图像分类技术综述
专知会员服务
152+阅读 · 2020年5月6日
3D目标检测进展综述
专知会员服务
193+阅读 · 2020年4月24日
CVPR2020 | 商汤-港中文等提出PV-RCNN:3D目标检测新网络
专知会员服务
45+阅读 · 2020年4月17日
【2020新书】如何认真写好的代码和软件,318页pdf
专知会员服务
65+阅读 · 2020年3月26日
ICCV 2019 | 精确的端到端的弱监督目标检测网络
AI科技评论
11+阅读 · 2019年12月9日
CVPR 2019:精确目标检测的不确定边界框回归
AI科技评论
13+阅读 · 2019年9月16日
论文盘点:CVPR 2019 - 文本检测专题
PaperWeekly
14+阅读 · 2019年5月31日
CVPR2019 | 文本检测算法综述
极市平台
34+阅读 · 2019年5月30日
综述 | CVPR2019目标检测方法进展
计算机视觉life
15+阅读 · 2019年4月3日
Arxiv
5+阅读 · 2019年4月21日
Arxiv
13+阅读 · 2019年4月9日
Arxiv
27+阅读 · 2018年4月12日
Arxiv
19+阅读 · 2018年3月28日
Arxiv
7+阅读 · 2018年1月21日
Arxiv
5+阅读 · 2016年12月29日
VIP会员
相关VIP内容
深度学习目标检测方法综述
专知会员服务
280+阅读 · 2020年8月1日
最新《自然场景中文本检测与识别》综述论文,26页pdf
专知会员服务
70+阅读 · 2020年6月10日
专知会员服务
109+阅读 · 2020年5月21日
基于小样本学习的图像分类技术综述
专知会员服务
152+阅读 · 2020年5月6日
3D目标检测进展综述
专知会员服务
193+阅读 · 2020年4月24日
CVPR2020 | 商汤-港中文等提出PV-RCNN:3D目标检测新网络
专知会员服务
45+阅读 · 2020年4月17日
【2020新书】如何认真写好的代码和软件,318页pdf
专知会员服务
65+阅读 · 2020年3月26日
相关资讯
ICCV 2019 | 精确的端到端的弱监督目标检测网络
AI科技评论
11+阅读 · 2019年12月9日
CVPR 2019:精确目标检测的不确定边界框回归
AI科技评论
13+阅读 · 2019年9月16日
论文盘点:CVPR 2019 - 文本检测专题
PaperWeekly
14+阅读 · 2019年5月31日
CVPR2019 | 文本检测算法综述
极市平台
34+阅读 · 2019年5月30日
综述 | CVPR2019目标检测方法进展
计算机视觉life
15+阅读 · 2019年4月3日
相关论文
Arxiv
5+阅读 · 2019年4月21日
Arxiv
13+阅读 · 2019年4月9日
Arxiv
27+阅读 · 2018年4月12日
Arxiv
19+阅读 · 2018年3月28日
Arxiv
7+阅读 · 2018年1月21日
Arxiv
5+阅读 · 2016年12月29日
Top
微信扫码咨询专知VIP会员