高通AI提出:用于高效神经网络设计的结构化卷积

2020 年 8 月 8 日 CVer

点击上方“CVer”,选择加"星标"置顶

重磅干货,第一时间送达

本文转载自:AIWalker

标题&作者团队

paper: https://arxiv.org/abs/2008.02454

【Happy导语】本文是高通AI研究院提出了的一种高效网络结构设计新思路。该文的思路非常巧妙,它与ACNet具有“异曲同工之妙”,本质上的思路非常相似,但出发点并不相同。全文通篇读下来的第一感觉就是:知道是什么意思,但是尚未想通怎么去做。期待作者能开源该文的code。初步感觉这是一个非常不错的网络架构加速的方案。

Abstract

作者通过对CNN中的基础模块中的结构冗余进行探索,提出了一种高效网络设计方案。作者首先引入了一种广义的复合核结构,它有助于进行更快的卷积操作(通过引入更高效的sum-pooling)。基于此,作者提出了Structured Convolution,并证实将卷积分解为sum-pooling+更小尺寸卷积有助减小计算复杂度与参数量,作者同时还证明了如何将其应用到2D和3D卷积核以及全连接层。更进一步,作者还提出一种结构正则化损害用于促进网络的具有上述性质架构,在完成训练后,网络在几乎不造成性能损失下进行上述分解。

作者将上述形式卷积分解引入到不同网络架构(包含MobileNetV2、ResNet)中,可以得到更低的计算量,同时更为高效且精度损失在1%以内(ImageNet与Cifar10两个数据集),作者同时还将其引入到EfficientNet与HRNet中。相比张量分解与通道减枝,所提方法取得相当甚至更好的的复杂度降低。

该文的主要贡献包含以下几点:

  • 提出了复合核结构,它有助于卷积加速;
  • 提出了结构化卷积,它将卷积分解成了sum-pooling+更小核尺寸的卷积;
  • 提出了结构化正则损失辅助模型训练。

Composite Kernels

首先,我们先来看一下复合核的前置知识。直接上原文定义咯,不太好解释。

image-20200808153553491

上面两个定义给出了与复合核相关的知识点,看公式还是比较难以理解的。下面我们就来看图示吧,见下图。它给出了一个3x3复合核 ,不知道各位同学有没有发现:其实它就是利用的卷积核的相加特性

Convolution with Composite Kernels

看到上面的图,大家应该对复合核有了一点了解。接下来就看一下它与卷积之间的关系吧。

image-20200808154210742

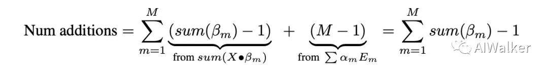
由于 为二值张量,那么 就等价于X的相加操作,而无需乘法。对于卷积而言,它包含 个乘法以及 个加法;而这里,仅需要M个乘法,总的加法变成了:

image-20200808154553516

以前面Fig1-b图示为例,C=1,N=3,M=4,总的加法量为 。在后面的内容中,将会介绍如何将其进一步简化到 .

Structured Convolution

接下来,我们再来看一下如何由复合核构建结构化卷积。首先还是先看一下关联定义。

image-20200808155008231

结构核可以通过维度C和N以及隐参数c和n进行描述,与之对应的卷积称之为结构卷积。前面的Fig1-b给出了2D形式的3x3结构核,对应参数 ,其中 ,每个元素包含2x2大小的块。下图Fig2给出了3D形式了结构核,对应参数 ,其中 ,每个元素包含 的空间。

image-20200808154910924

Decomposition of Structured Convolutions

结构核的一个主要优势:all the basic elements are just shifted version of each other。这也就意味着卷积操作可以先进行sum-pooling,然后再采用更小核的卷积即可,见上图Fig3中的图示,可以看到3x3卷积可以分解为2x2的sum-pooling与2x2卷积。通过这种分解,卷积的计算量无形中少了很多。

image-20200808155858566

上图给出了一种更广义形式的卷积结构化分解示意图,而标准卷积、depthwise卷积以及point卷积可构建成3D结构核,这也就意味着上述分解适合于现有网络架构。

Reduction in Number of Parameters and Multiplications/Additions

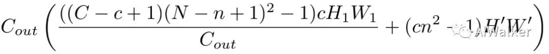
由于sum-pooling无需参数,因此卷积的参数量从 降到了 ;同时sum-pooling不包含乘法操作,因此只有更小的 卷积贡献了乘法操作。

在常规卷积中,对于输出特征 ,它的乘法数量为 ,加法数量为 。在进行分解之后,乘法数量变成了 ,加法的数量变成了

image-20200808160938516

关于参数量的关系基本上就算是介绍清楚了,具体再怎么去近似啊,逐点的分析啊建议各位同学去看原文,这个不是重点,略(偷)过(懒)。

Extension to Fully Connected Layers

对于图像分类而言,全连接层是不可避免的,它也占据了非常高比例的参数量。下图给出了全连接层的分解示意图,了解了2D和3D的分解方案,再看这个就简单了,继续略(偷)过(懒)。

image-20200808161524981

Experiments

实验是检验真理的唯一标准,idea好不好还是得看实验效果好不好。所以我们就直接上结果吧。下面四个表给出了Cifar10、ImageNet数据集上MobileNetV2、ResNet、EfficientNet改造前后的性能对比。

image-20200808162033477

此外,作者还对比了所提方法与减枝、张量分解等的对比,见下图。

image-20200808162154519

最后附上MobileNetV2改造后的网络详细信息。话说,虽然作者给出了这些信息,但是并未开源代码,所以想彻底理解还是有点费力。还是期待一下作者尽快开源吧,哈哈。

image-20200808162350793

全文到此结束,对此感兴趣的同学建议去看原文,本文分享比较粗糙,肯定有不少分析不到位的地方,请见谅。


下载1


在CVer公众号后台回复PRML,即可下载758页《模式识别和机器学习》PRML电子书和源码该书是机器学习领域中的第一本教科书,全面涵盖了该领域重要的知识点。本书适用于机器学习、计算机视觉、自然语言处理、统计学、计算机科学、信号处理等方向。


PRML


下载2


在CVer公众号后台回复:CVPR2020,即可下载CVPR2020 2020代码开源的论文合集

在CVer公众号后台回复:ECCV2020,即可下载ECCV 2020代码开源的论文合集


重磅!CVer-论文写作与投稿交流群成立


扫码添加CVer助手,可申请加入CVer-论文写作与投稿 微信交流群,目前已满2000+人,旨在交流顶会(CVPR/ICCV/ECCV/ICML/ICLR/AAAI等)、顶刊(IJCV/TPAMI等)、SCI、EI等写作与投稿事宜。


同时也可申请加入CVer大群和细分方向技术群,细分方向已涵盖:目标检测、图像分割、目标跟踪、人脸检测&识别、OCR、姿态估计、超分辨率、SLAM、医疗影像、Re-ID、GAN、NAS、深度估计、自动驾驶、强化学习、车道线检测、模型剪枝&压缩、去噪、去雾、去雨、风格迁移、遥感图像、行为识别、视频理解、图像融合、图像检索、论文投稿&交流、PyTorch和TensorFlow等群。


一定要备注:研究方向+地点+学校/公司+昵称(如论文写作+上海+上交+卡卡),根据格式备注,可更快被通过且邀请进群


▲长按加微信群


▲长按关注CVer公众号

整理不易,请给CVer点赞和在看

登录查看更多
0

相关内容

在数学(特别是功能分析)中,卷积是对两个函数(f和g)的数学运算,产生三个函数,表示第一个函数的形状如何被另一个函数修改。 卷积一词既指结果函数,又指计算结果的过程。 它定义为两个函数的乘积在一个函数反转和移位后的积分。 并针对所有shift值评估积分,从而生成卷积函数。
专知会员服务
81+阅读 · 2020年8月4日
【IJCAJ 2020】多通道神经网络 Multi-Channel Graph Neural Networks
专知会员服务
26+阅读 · 2020年7月19日
专知会员服务
74+阅读 · 2020年5月21日
【ICLR-2020】网络反卷积,NETWORK DECONVOLUTION
专知会员服务
39+阅读 · 2020年2月21日
一文读懂图卷积GCN
计算机视觉life
21+阅读 · 2019年12月21日
ECCV2018|ShuffleNetV2:轻量级CNN网络中的桂冠
极市平台
7+阅读 · 2018年11月5日
Explanatory Graphs for CNNs
Arxiv
4+阅读 · 2018年12月18日
Arxiv
24+阅读 · 2018年10月24日
Arxiv
3+阅读 · 2018年2月11日
Arxiv
7+阅读 · 2018年1月10日
Arxiv
4+阅读 · 2017年11月13日
VIP会员
相关VIP内容
专知会员服务
81+阅读 · 2020年8月4日
【IJCAJ 2020】多通道神经网络 Multi-Channel Graph Neural Networks
专知会员服务
26+阅读 · 2020年7月19日
专知会员服务
74+阅读 · 2020年5月21日
【ICLR-2020】网络反卷积,NETWORK DECONVOLUTION
专知会员服务
39+阅读 · 2020年2月21日
相关论文
Top
微信扫码咨询专知VIP会员