【专知-PyTorch手把手深度学习教程05】Dropout快速理解与PyTorch实现: 图文+代码

2017 年 10 月 7 日 机器学习研究会

【导读】主题链路知识是我们专知的核心功能之一,为用户提供AI领域系统性的知识学习服务,一站式学习人工智能的知识,包含人工智能( 机器学习、自然语言处理、计算机视觉等)、大数据、编程语言、系统架构。使用请访问专知 进行主题搜索查看 - 桌面电脑访问www.zhuanzhi.ai,  手机端访问www.zhuanzhi.ai 或关注微信公众号后台回复" 专知"进入专知,搜索主题查看。值国庆佳节,专知特别推出独家特刊-来自中科院自动化所专知小组博士生huaiwen和Kun创作的-PyTorch教程学习系列, 今日带来第五篇-< 快速理解系列(四): 图文+代码, 让你快速理解Dropout >


  1. < 一文带你入门优雅的Pytorch >

  2. < 快速理解系列(一): 图文+代码, 让你快速理解CNN>

  3. < 快速理解系列(二): 图文+代码, 让你快速理解LSTM>

  4. < 快速理解系列(三): 图文+代码, 让你快速理解GAN >

  5. < 快速理解系列(四): 图文+代码, 让你快速理解Dropout >

  6. < NLP系列(一) 用Pytorch 实现 Word Embedding >

  7. < NLP系列(二) 基于字符级RNN的姓名分类 >

  8. < NLP系列(三) 基于字符级RNN的姓名生成 >

Dropout

学过神经网络的童鞋应该知道神经网络很容易过拟合。而且,如果要用集成学习的思想去训练非常多个神经网络,集成起来抵制过拟合,这样开销非常大并且也不一定有效。于是,这群大神提出了Dropout方法:在神经网络训练时,随机把一些神经单元去除,“瘦身”后的神经网络继续训练,最后的模型,是保留所有神经单元,但是神经的连接权重w乘上了一个刚才随机去除指数p.


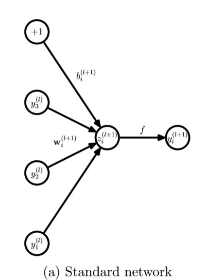
左边是标准神经网络,右边是使用Dropout的神经网络,可见只是连接度少了一些,并不影响模型继续训练。其实,Dropout动机和初衷非常有意思。

文章里也谈到,可以类比人类男性和女性的基因。人类通过成千上万年进化,依然保持着这样的繁衍方式:男人贡献一半基因序列,女人贡献一半基因序列,最后组成后代的完整基因序列。当我们观察男人基因序列中的一个基因片段,它不仅要和男人基因序列很好地组合与配合,在繁衍后代时,也要和女人的那一半基因序列组合和配合,这个较好的一个基因片段一定要在两个情况下都很好的适应才行,这正像神经网络中的一个神经元,它要在各个情况下都很好地适应训练,所以,我们要Dropout一些神经元啊!

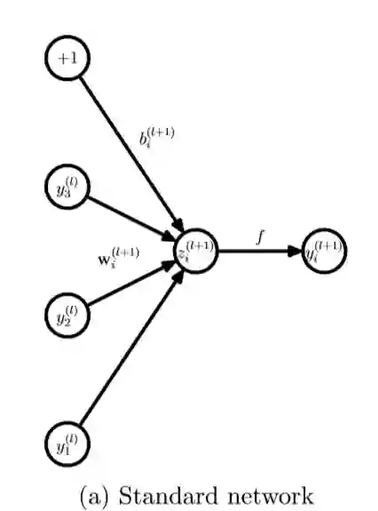
再来关注一个神经元:


需要指出的是,在训练时,权重参数w是共享的。就是说,只要连接权重的神经单元不dropout,那么每次调参时,权重接着调整参数值。换句话说,权重参数个数和不用Dropout的神经网络参数个数是一样的。不同的是,见上图,在训练时,每个神经单元都可能以概率p去除;在测试阶段,每个神经单元都是存在的,权重参数w要乘以p,成为:pw。

接下来看一下,每层Dropout网络和传统网络计算的不同之处:




最后就是一些实验结果和对比了,直接上代码


转自:专知


完整内容请点击“阅读原文”

登录查看更多
9

相关内容

一份简明有趣的Python学习教程,42页pdf
专知会员服务
77+阅读 · 2020年6月22日
专知会员服务
142+阅读 · 2020年5月19日
一份循环神经网络RNNs简明教程,37页ppt
专知会员服务
173+阅读 · 2020年5月6日
Sklearn 与 TensorFlow 机器学习实用指南,385页pdf
专知会员服务
131+阅读 · 2020年3月15日
机器学习速查手册,135页pdf
专知会员服务
345+阅读 · 2020年3月15日
一网打尽!100+深度学习模型TensorFlow与Pytorch代码实现集合
【书籍】深度学习框架:PyTorch入门与实践(附代码)
专知会员服务
167+阅读 · 2019年10月28日
Talking-Heads Attention
Arxiv
15+阅读 · 2020年3月5日
Arxiv
4+阅读 · 2018年10月31日
Arxiv
10+阅读 · 2018年2月17日
Arxiv
27+阅读 · 2017年12月6日
Arxiv
5+阅读 · 2017年7月23日
VIP会员
相关VIP内容
一份简明有趣的Python学习教程,42页pdf
专知会员服务
77+阅读 · 2020年6月22日
专知会员服务
142+阅读 · 2020年5月19日
一份循环神经网络RNNs简明教程,37页ppt
专知会员服务
173+阅读 · 2020年5月6日
Sklearn 与 TensorFlow 机器学习实用指南,385页pdf
专知会员服务
131+阅读 · 2020年3月15日
机器学习速查手册,135页pdf
专知会员服务
345+阅读 · 2020年3月15日
一网打尽!100+深度学习模型TensorFlow与Pytorch代码实现集合
【书籍】深度学习框架:PyTorch入门与实践(附代码)
专知会员服务
167+阅读 · 2019年10月28日
相关论文
Talking-Heads Attention
Arxiv
15+阅读 · 2020年3月5日
Arxiv
4+阅读 · 2018年10月31日
Arxiv
10+阅读 · 2018年2月17日
Arxiv
27+阅读 · 2017年12月6日
Arxiv
5+阅读 · 2017年7月23日
Top
微信扫码咨询专知VIP会员