揭密YOLOv3鲜为人知的关键细节

2019 年 12 月 6 日 极市平台

加入极市专业CV交流群,与6000+来自腾讯,华为,百度,北大,清华,中科院等名企名校视觉开发者互动交流!更有机会与李开复老师等大牛群内互动!

同时提供每月大咖直播分享、真实项目需求对接、干货资讯汇总,行业技术交流。关注 极市平台 公众号 ,回复 加群,立刻申请入群~


来源:知乎

链接:https://zhuanlan.zhihu.com/p/50595699

本文已由作者授权转载,未经允许,不得二次转载



检测算法实际同时作检测(坐标回归)和判别(分类),并且从直觉上讲,后者依赖于前者。 而YOLO v3是个多任务,同时完成这2项任务。 这与我以前常见的任务不一样,是个很好的学习案例。 而在学习YOLOv3之前以及过程中,先后产生了许许多多的疑问。 例如:
  • 多个cell,多个anchor,在训练时哪个与ground truth作比对?
  • 为何需要有anchor box? anchor box是怎么来的?
  • IOU用于何处?
  • NMS用于何处?

这些问题是相关联的。 其中的关键是弄清训练所用的loss和label。 为了理解loss和label,先了解网络架构。

Architecture overview


对三层作监督,分别重点检测大中小物体。
如果从未接触过检测算法,一定会对YOLOv3有别于其它CNN的诸多方面深表惊奇。 惊奇可能意味着巧妙,也可能意味着不合理或者局限。 在YOLOv3身上二者兼备。


Output and loss


需要监督的输出层如下。 The shape of the detection kernel is 1 x 1 x (B x (5 + C) ).


这里有如下令人惊奇之处:
  1. 输出格式 训练,总是把预测输出与ground truth作比对。 我们通常碰到的任务,一个样本通常只(预测)输出一个值,例如,分类中的类别,回归中的实值。 而YOLOv3的预测输出N个结构(可以把它理解为c语言的struct),N= cell number * B个,其中B一个cell能预测的bounding box数目(即每一层的anchor数目,实现中一般是取为3)。 cell number三层分别为13*13, 26*26, 52*52。 结构中有3类成员: bounding box attributes (x, y, w, h),置信度,类别。 总共有(5+C)个,5是4 bounding box attributes and one object confidence,C是类个数。
  2. feature map用途 通常CNN的feature map往往只存在hidden层,最后在输出层通过full connection层或者average polling层转换为vector。 而YOLOv3的feature map直接作为输出。 通常不同channel用于表示图像的不同特征。 而YOLOv3的不同channel不仅可以表达是图像特征,例如人、车这种类别,还可以表达坐标和置信度。

很多情况下,我们不创新,并不是没有想法,而是没有想到可以这么实现。 有时,我们说,在网络结构上改进余地不大,但在怎么使用网络来作表征上,YOLOv3大大拓宽了我们的思路。


以上说过,YOLOv3的输出结构中有3个,bbox attribute, object confidence, class score。 loss就是以上三部分的加权和,其中bbox attribute (x, y, w, h)用MSE,后二者用交叉熵。

看起来比较简单,里面还是有些trick。

首先,output有cell number * B(对第一层是13*13*3)个这样的结构,而ground truth才有目标个数(假定对一幅图的最大检测目标个数为20)个。 13*13*3与20如何作MSE或者交叉熵? 通常我们能想到的是,对13*13*3作某种grouping算法得出与ground truth相同shape的scalar或者tensor与ground truth比较。 但YOLOv3的作法正好与此相反,是为20个找到13*13*3个格子中的20格,来安放ground truth,然后把其余格子全部置0。 如何找到这些格子呢? 对于width和height这2个维度很容易,就是根据中心点重合。 而对于depth(即B)这个维度,它是找到与gound truth的bbox有最大IOU的anchor box对应的格式。 这里第一处用到IOU。 它有一个局限,一个格子只能容纳一个目标。 假如一个人坐在一张椅子上,中心位置和宽高大小比例都相若,本来同属于一个格子,那么即使打标时打了2个标,在训练时,也只有一个标(样本)会生效,后面一个样本会覆盖前面一个样本。 从设计上就注定了训练时的这种局限。 不过,这不是什么大问题,顶多就是浪费了一个训练样本而已。 那么在预测时,能否检测出2个来? 设计上是可以的,因为结构中包括了C个class score。 但我看到的有的编码实现都只保留class score最大的那个,这是可以作微改进的。

其次,不知你有没有注意到,object confidence有点奇怪,不仅算法奇怪,它的存在就很奇怪。 BBOX可以用回归,class可以用交叉熵,怎么突然冒出个confidence? 它是对目标从属于哪个格子的confidence,还是对(x, y, w, h)的值的confidence? YOLOv1论文上有解释,These confidence scores reflect how confident the model is that the box contains an object and also how accurate it thinks the box is that it predicts. Formally we define confidence as Po * IOU.

在计算confidence的loss时,对于正样本(即该格子有目标),计交叉熵,这很正常。 对于负样本(即该格子没有目标),只有bbox与ground truth的IOU小于阈值ignore threshold(通常取为0.5),才计交叉熵。 这里第一处用到threshold,第二处用到IOU。 为啥对正负样本区别对待呢? 我的理解是,对于有目标的格子,如果预测出有目标的可能性低,即输出值的Po小,不正常,需要作惩罚。 而对于没目标的格子,如果预测出有目标的可能性高,即输出值的Po高,这有可能是正常的,因为目标的中心点不在这个格子,可能在附近的格子,是否需要惩罚要视情况而定。 如果IOU小于阈值,说明附近的格子没有目标,Po高不正常,需要惩罚,即参与计算交叉熵。 大于阈值,说明附近的格子有目标,Po高正常,不需要处罚,即计算交叉熵时忽略。 这一点与我看到的文章的说法以及同事们的看法正好相反,而与我理解的keras代码和pytorch代码一致。

这里还有一个问题,上文中提到,对于没有包含目标的格子,它的5+C全部置0,因此bbox也为0,那如何计算它与预测输出的bbox的IOU呢? 实际上,此处计算IOU时,它不是与本格子的ground truth的bbox计算IOU,而是与所有目标的bbox都计算IOU,并取最大值。 YOLOv1论文上的这段话the confidence prediction represents the IOU between the predicted box and any ground truth box.证实了该解释。


总结一下loss公式。

loss = bbox loss + confidence loss + class loss
bbox loss =
其中,bx, by, bw, bh是我们预测的x,y中心坐标,宽度和高度。 lx, ly, lw, lh是ground truth的x,y中心坐标,宽度和高度。   代表该格子是否有目标,有为1,无为0。

confidence loss =
其中,同上,分别为object confidence的ground truth和预测输出的概率,为二者的交叉熵,m为mask,即如上段中所说,正样本恒为1,负样本依条件而0或1。

class loss =
其中, 同上,C为类个数,p(c), q(c)分别为各类的ground truth和预测输出的概率,KL同上。

尽管在道理上解释得通,我觉得不太合理,一方面过于复杂,另一方面多了个超参ignore threshold。 也许有简洁的改进方案,object confidence这个loss可以反过来算,不是把预测输出值与ground truth双方统一到格子上,而是统一到目标(即最多20个)上来。
最后再提醒一下,一个没有被ground truth占的格子,它不参与计算BBOX的loss和class的loss,但参与计算object confidence的loss。


预测


For an image of size 416 x 416, YOLO predicts ((52 x 52) + (26 x 26) + 13 x 13)) x 3 = 10647 bounding boxes. 这么多个预测输出如何缩减到目标个数呢? 经过2道工序。
  • object confidence threshold
过滤掉小于object confidence threshold的格子。 这里第二处用到threshold。
  • NMS,即Non-maximum Suppression

大名鼎鼎的NMS的目的是消除掉不同格子中预测出的同一个目标。


一般介绍Non-Maximum Suppression的文章会这样介绍NMS算法。 首先,NMS计算出每一个bounding box的面积,然后根据score进行排序,把score最大的bounding box作为队列中。 (这里的score = object confidence * class score, class score实际是指P(Class | Object), 因此P(Class) = P(Object) * P(Class | Object))接下来,计算其余bounding box与当前最大score与box的IoU,去除IoU大于设定的nms threshold的bounding box。 这里第三处用到IOU和threshold。 然后重复上面的过程,直至候选bounding box为空。

NMS就这么简单? 有没有忽略了什么重要的东西? 会不会发生这种情况,过于邻近的N个目标中N-1个被无辜地过滤掉? 为了防止这种可能,NMS在过滤时分类过滤的,即在同一个类的检测输出中执行上述算法。 即便如此,仍然避免不了过于邻近的N个同类目标中N-1个被无辜地过滤掉。 这是另一个局限。

顺便说一下,NMS仅用于预测,并未用于训练。


anchor box


我们面临2个疑问
  • 为何需要有anchor box?
It might make sense to predict the width and the height of the bounding box, but in practice, that leads to unstable gradients during training.

因此,需要pre-defined default bounding box作为锚点。


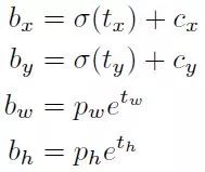
bx,by,bw,bh是我们预测的x,y中心坐标,宽度和高度。 tx,ty,tw,th是网络输出的内容。 cx和cy是网格的左上角坐标。 pw和ph是anchor box的宽度和高度。


  • anchor box是怎么来的?
Instead of choosing priors by hand, we run k-means clustering on the training set bounding boxes to automatically find good priors.

k-means无论是算中心还是重新选择cluster,都会用到距离,我们通常见到的距离是欧氏距离。 但这里是BBOX,BBOX间怎么算距离呢?

d(box; centroid) = 1 - IOU(box; centroid)。 这是第四处用到IOU。


YOLOv3整个思路让人匪夷所思。 正如它的名字,You Only Look Once,它不是先切割再分类。 实际上,它是根据中心的一个格子来预测它的BBOX和分类,这怎么可能呢?




-End-



*延伸阅读



CV细分方向交流群


添加极市小助手微信(ID : cv-mart),备注:研究方向-姓名-学校/公司-城市(如:目标检测-小极-北大-深圳),即可申请加入目标检测、目标跟踪、人脸、工业检测、医学影像、三维&SLAM、图像分割、OCR、姿态估计等极市技术交流群(已经添加小助手的好友直接私信),更有每月大咖直播分享、真实项目需求对接、干货资讯汇总,行业技术交流一起来让思想之光照的更远吧~



△长按添加极市小助手


△长按关注极市平台


觉得有用麻烦给个在看啦~  

登录查看更多
1

相关内容

YOLO是快速的端到端的目标检测深度网络

知识荟萃

精品入门和进阶教程、论文和代码整理等

更多

查看相关VIP内容、论文、资讯等
最新《Deepfakes:创造与检测》2020综述论文,36页pdf
专知会员服务
65+阅读 · 2020年5月15日
专知会员服务
55+阅读 · 2020年3月16日
【阿里巴巴-CVPR2020】频域学习,Learning in the Frequency Domain
【浙江大学】对抗样本生成技术综述
专知会员服务
92+阅读 · 2020年1月6日
47.4mAP!最强Anchor-free目标检测网络:SAPD
极市平台
13+阅读 · 2019年12月16日
目标检测中边界框的回归策略
极市平台
17+阅读 · 2019年9月8日
进化历程详解:YOLOv1到YOLOv3
极市平台
31+阅读 · 2019年8月27日
CenterNet:目标即点(代码已开源)
极市平台
25+阅读 · 2019年5月24日
YOLO简史
计算机视觉life
27+阅读 · 2019年3月7日
目标检测论文阅读:DetNet
极市平台
9+阅读 · 2019年1月28日
从YOLOv1到YOLOv3,目标检测的进化之路
AI100
9+阅读 · 2018年6月4日
SSD多盒实时目标检测教程
论智
13+阅读 · 2018年4月5日
Object Detection in 20 Years: A Survey
Arxiv
48+阅读 · 2019年5月13日
Few-shot Adaptive Faster R-CNN
Arxiv
3+阅读 · 2019年3月22日
Augmentation for small object detection
Arxiv
13+阅读 · 2019年2月19日
Arxiv
5+阅读 · 2018年4月17日
Arxiv
7+阅读 · 2018年1月24日
Arxiv
5+阅读 · 2016年12月29日
VIP会员
相关资讯
47.4mAP!最强Anchor-free目标检测网络:SAPD
极市平台
13+阅读 · 2019年12月16日
目标检测中边界框的回归策略
极市平台
17+阅读 · 2019年9月8日
进化历程详解:YOLOv1到YOLOv3
极市平台
31+阅读 · 2019年8月27日
CenterNet:目标即点(代码已开源)
极市平台
25+阅读 · 2019年5月24日
YOLO简史
计算机视觉life
27+阅读 · 2019年3月7日
目标检测论文阅读:DetNet
极市平台
9+阅读 · 2019年1月28日
从YOLOv1到YOLOv3,目标检测的进化之路
AI100
9+阅读 · 2018年6月4日
SSD多盒实时目标检测教程
论智
13+阅读 · 2018年4月5日
相关论文
Object Detection in 20 Years: A Survey
Arxiv
48+阅读 · 2019年5月13日
Few-shot Adaptive Faster R-CNN
Arxiv
3+阅读 · 2019年3月22日
Augmentation for small object detection
Arxiv
13+阅读 · 2019年2月19日
Arxiv
5+阅读 · 2018年4月17日
Arxiv
7+阅读 · 2018年1月24日
Arxiv
5+阅读 · 2016年12月29日
Top
微信扫码咨询专知VIP会员