激活函数还是有一点意思的!

2019 年 6 月 28 日 计算机视觉战队

激活函数(Activation functions)对于人工神经网络模型去学习、理解非常复杂和非线性的函数来说具有十分重要的作用。它们将非线性特性引入到我们的网络中。如在神经元中,输入的 inputs 通过加权,求和后,还被作用了一个函数,这个函数就是激活函数。

引入激活函数是为了增加神经网络模型的非线性。没有激活函数的每层都相当于矩阵相乘。就算你叠加了若干层之后,无非还是个矩阵相乘罢了。


为什么要用激活函数?

如果不用激活函数,每一层输出都是上层输入的线性函数,无论神经网络有多少深,输出都是输入的线性组合,这种情况就是最原始的感知机。

如果使用的话,激活函数给神经元引入了非线性因素,使得神经网络可以任意逼近任何非线性函数,这样神经网络就可以应用到众多的非线性模型中。一般激活函数有如下一些性质:

  • 非线性: 

    当激活函数是线性的,两层的神经网络就可以基本上逼近所有的函数。但如果激活函数是恒等激活函数的时候,即f(x)=x,就不满足这个性质,而且如果MLP使用的是恒等激活函数,那么其实整个网络跟单层神经网络是等价的;

  • 可微性: 
    当优化方法是基于梯度的时候,就体现了该性质;

  • 单调性: 
    当激活函数是单调的时候,单层网络能够保证是凸函数;

  • f(x)≈x: 
    当激活函数满足这个性质的时候,如果参数的初始化是随机的较小值,那么神经网络的训练将会很高效;如果不满足这个性质,那么就需要详细地去设置初始值;

  • 输出值的范围: 
    当激活函数输出值是有限的时候,基于梯度的优化方法会更加稳定,因为特征的表示受有限权值的影响更显著;当激活函数的输出是无限的时候,模型的训练会更加高效,不过在这种情况小,一般需要更小的Learning Rate。

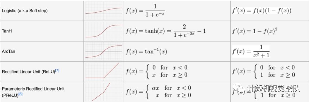
那接下来,我们就开始讲讲激活函数。


ReLU

今天主要说的就是ReLU激活函数,其全名叫修正线性单元(Rectified linear unit)。

f(x)=max(0,x)

优点: 
使用 ReLU得到的SGD的收敛速度会比 sigmoid/tanh 快。这是因为它是linear,而且ReLU只需要一个阈值就可以得到激活值,不用去计算复杂的运算。

缺点: 

训练过程该函数不适应较大梯度输入,因为在参数更新以后,ReLU的神经元不会再有激活的功能,导致梯度永远都是零。

细说ReLU

上图就是ReLU的可视化图,其实ReLU还是可以将其归为线性函数,如果更加准确的话,那就是分段线性函数。如果输入的值小于等于0的时候,输出全部给予0值,而大于0输入,就按照正常线性处理。

该处理形式被称为单侧抑制机制,这种机制可就厉害啦!

  • 第一,采用sigmoid、Tanh等激活函数时,计算激活函数时计算量教大,反向传播求误差梯度时,求导涉及除法,计算量相对大,而采用Relu激活函数,整个过程的计算量节省很多;

  • 第二,对于深层网络,sigmoid函数反向传播时,很容易就会出现梯度消失的情况(在sigmoid接近饱和区时,变换太缓慢,导数趋于0,这种情况会造成信息丢失),从而无法完成深层网络的训练;

  • 第三,ReLu会使一部分神经元的输出为0,这样就使网络稀疏,且减少了参数的相互依存关系,缓解了过拟合问题的发生。

为啥ReLU的激活函数形式要这样书写,不可以镜面反转之类的吗?不又成新的一种激活函数?

其实很简单,这里激活函数主要核心是单侧抑制,所以不管你是在哪个象限内进行抑制操作,最后目的都是一样。无论是镜面反转还是180度翻转,最终神经元的输出也只是相当于加上了一个常数项系数,并不影响模型的训练结果。

ReLU激活函数还有一大好处就是稀疏了参数,这个作用对于深度网络来说就是神来之笔。稀疏有何作用呢?接下来我引用偏执的眸一段比如,简单太形象的解释了这个问题。

🌰

当看名侦探柯南的时候,我们可以根据故事情节进行思考和推理,这时用到的是我们的大脑左半球;而当看蒙面唱将时,我们可以跟着歌手一起哼唱,这时用到的则是我们的右半球。左半球侧重理性思维,而右半球侧重感性思维。也就是说,当我们在进行运算或者欣赏时,都会有一部分神经元处于激活或是抑制状态,可以说是各司其职。再比如,生病了去医院看病,检查报告里面上百项指标,但跟病情相关的通常只有那么几个。与之类似,当训练一个深度分类模型的时候,和目标相关的特征往往也就那么几个,因此通过ReLU实现稀疏后的模型能够更好地挖掘相关特征,拟合训练数据。

实验比较

本次试验在playground界面进行实验,想必很多同学对这个小平台有很深入的理解。以2分类解释:

第一种情况:使用Sigmoid函数,进行训练:

当运行了部分时间后,发现分界面依然模糊不清,还要继续训练,如下图:

当运行了528Epoch,才全部分开,如下图:

第二种情况:使用Tanh函数,进行训练:

第三种情况:使用ReLU函数,进行训练:

综上,可以明显发现ReLU效果最好而且速度最快。

  • 就会有同学问:为什么通常Relu比sigmoid和tanh强,有什么不同?

其实之前已经回答了,主要是因为它们gradient特性不同。sigmoid和tanh的gradient在饱和区域非常平缓,接近于0,很容易造成vanishing gradient的问题,减缓收敛速度。vanishing gradient在网络层数多的时候尤其明显,是加深网络结构的主要障碍之一。相反,Relu的gradient大多数情况下是常数,有助于解决深层网络的收敛问题。Relu的另一个优势是在生物上的合理性,它是单边的,相比sigmoid和tanh,更符合生物神经元的特征;而提出sigmoid和tanh,主要是因为它们全程可导;还有表达区间问题,sigmoid和tanh区间是0到1,或着-1到1,在表达上,尤其是输出层的表达上有优势。ReLU更容易学习优化。因为其分段线性性质,导致其前传,后传,求导都是分段线性。而传统的sigmoid函数,由于两端饱和,在传播过程中容易丢弃信息。

如果想加入我们“计算机视觉战队”,请扫二维码加入学习群。计算机视觉战队主要涉及机器学习、深度学习等领域,由来自于各校的硕博研究生组成的团队,主要致力于人脸检测、人脸识别,多目标检测、目标跟踪、图像分割等研究方向。

我们开创一段时间的“计算机视觉协会”知识星球,也得到很多同学的认可,我们定时会推送实践型内容与大家分享,在星球里的同学可以随时提问,随时提需求,我们都会及时给予回复及给出对应的答复。

微信学习讨论群也可以加入,我们会第一时间在该些群里预告!

登录查看更多
12

相关内容

在人工神经网络中,给定一个输入或一组输入,节点的激活函数定义该节点的输出。一个标准集成电路可以看作是一个由激活函数组成的数字网络,根据输入的不同,激活函数可以是开(1)或关(0)。这类似于神经网络中的线性感知器的行为。然而,只有非线性激活函数允许这样的网络只使用少量的节点来计算重要问题,并且这样的激活函数被称为非线性。
【ICLR2020】图神经网络与图像处理,微分方程,27页ppt
专知会员服务
48+阅读 · 2020年6月6日
【CVPR 2020-商汤】8比特数值也能训练卷积神经网络模型
专知会员服务
26+阅读 · 2020年5月7日
神经网络的拓扑结构,TOPOLOGY OF DEEP NEURAL NETWORKS
专知会员服务
35+阅读 · 2020年4月15日
专知会员服务
27+阅读 · 2020年2月15日
模型压缩究竟在做什么?我们真的需要模型压缩么?
专知会员服务
28+阅读 · 2020年1月16日
干货 | 深入理解深度学习中的激活函数
计算机视觉life
16+阅读 · 2019年1月29日
深度学习入门必须理解这25个概念
AI100
7+阅读 · 2018年6月6日
激活函数初学者指南
论智
6+阅读 · 2018年5月15日
理解神经网络的激活函数
论智
7+阅读 · 2018年1月8日
深度学习超参数简单理解
计算机视觉战队
4+阅读 · 2017年11月28日
最近流行的激活函数
计算机视觉战队
6+阅读 · 2017年11月27日
入门 | 一文概览深度学习中的激活函数
深度学习世界
4+阅读 · 2017年11月3日
干货|浅谈神经网络中激活函数的设计
机器学习研究会
5+阅读 · 2017年10月28日
干货 | 深度学习之损失函数与激活函数的选择
机器学习算法与Python学习
15+阅读 · 2017年9月18日
Simplifying Graph Convolutional Networks
Arxiv
12+阅读 · 2019年2月19日
VIP会员
相关资讯
干货 | 深入理解深度学习中的激活函数
计算机视觉life
16+阅读 · 2019年1月29日
深度学习入门必须理解这25个概念
AI100
7+阅读 · 2018年6月6日
激活函数初学者指南
论智
6+阅读 · 2018年5月15日
理解神经网络的激活函数
论智
7+阅读 · 2018年1月8日
深度学习超参数简单理解
计算机视觉战队
4+阅读 · 2017年11月28日
最近流行的激活函数
计算机视觉战队
6+阅读 · 2017年11月27日
入门 | 一文概览深度学习中的激活函数
深度学习世界
4+阅读 · 2017年11月3日
干货|浅谈神经网络中激活函数的设计
机器学习研究会
5+阅读 · 2017年10月28日
干货 | 深度学习之损失函数与激活函数的选择
机器学习算法与Python学习
15+阅读 · 2017年9月18日
Top
微信扫码咨询专知VIP会员