激活函数是神经网络中非线性的来源,因为如果去掉这些函数,那么整个网络就只剩下线性运算,线性运算的复合还是线性运算的,最终的效果只相当于单层的线性模型。
那么,常见的激活函数有哪些呢?或者说,激活函数的选择有哪些指导原则呢?是不是任意的非线性函数都可以做激活函数呢?
这里探究的激活函数是中间层的激活函数,而不是输出的激活函数。最后的输出一般会有特定的激活函数,不能随意改变,比如二分类一般用sigmoid函数激活,多分类一般用softmax激活,等等;相比之下,中间层的激活函数选择余地更大一些。
理论上来说,只要是非线性函数,都有做激活函数的可能性,一个很有说服力的例子是,最近OpenAI成功地利用了浮点误差来做激活函数,其中的细节,请阅读OpenAI的博客:
https://blog.openai.com/nonlinear-computation-in-linear-networks/
或者阅读机器之心的介绍:
https://mp.weixin.qq.com/s/PBRzS4Ol_Zst35XKrEpxdw
尽管如此,不同的激活函数其训练成本是不同的,虽然OpenAI的探索表明连浮点误差都可以做激活函数,但是由于这个操作的不可微分性,因此他们使用了“进化策略”来训练模型,所谓“进化策略”,是诸如遗传算法之类的耗时耗力的算法。
那加上可微性,使得可以用梯度下降来训练,是不是就没问题了呢?其实也不尽然,神经网络发明之初,一般使用的是Sigmoid函数作为激活函数
这个函数的特点就是左端趋近于0,右端趋近于1,两端都趋于饱和,如下图
而因为这样,它在两端的导数都趋于0,而因为我们是用梯度下降优化的,导数趋于零,使得每次更新的量都很少(正比于梯度),所以更新起来比较困难。尤其是层数多了之后,由于求导的链式法则,那么每次更新的量就正比于梯度的 n次方,优化就更加困难了,因此刚开始的神经网络都做不深。
一个标志性的激活函数就是ReLu函数,它的定义很简单:
其图像是
这是个分段线性函数,显然其导数在正半轴为1,负半轴为0,这样它在整个实数域上有一半的空间是不饱和的。相比之下,sigmoid函数几乎全部区域都是饱和的(饱和区间占比趋于1,饱和的定义是导数很接近0)。
ReLu是分段线性函数,它的非线性性很弱,因此网络一般要做得很深。但这正好迎合了我们的需求,因为在同样效果的前提下,往往深度比宽度更重要,更深的模型泛化能力更好。所以自从有了Relu激活函数,各种很深的模型都被提出来了,一个标志性的事件是应该是VGG模型和它在ImageNet上取得的成功,至于后来的发展就不详细说了。
尽管ReLu的战绩很辉煌,但也有人觉得ReLu函数还有一半区域饱和是一个很大的不足,因此提出了相关的变种,如LeakyReLU、PReLU等,这些改动都大同小异。
前几天,Google大脑团队提出了一个新的激活函数,叫Swish,其消息可以参考
http://mp.weixin.qq.com/s/JticD0itOWH7Aq7ye1yzvg
其定义为
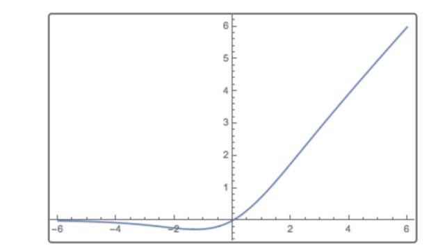
其图像如下
团队的测试结果表明该函数在很多模型都优于ReLu。
从图像上来看,Swish函数跟ReLu差不多,唯一区别较大的是接近于0的负半轴区域。马后炮说一句,其实这个激活函数就连笔者也思考过,因为这跟facebook提出的GLU激活函数是类似的,GLU激活函数为
Swish函数惹来了一些争议,有些人认为Google大脑小题大作了,简单改进一个激活函数,小团队就可以玩了,Google大脑这些大团队应该往更高端的方向去做。但不过怎样,Google大脑做了很多实验,结果都表明Swish优于ReLu。那么我们就需要思考一下,背后的原因是什么呢?
转自:机器学习算法与自然语言处理
完整内容请点击“阅读原文”