干货 | 深度学习之损失函数与激活函数的选择

2017 年 9 月 18 日 机器学习算法与Python学习

微信公众号

关键字全网搜索最新排名

【机器学习算法】:排名第一

【机器学习】:排名第二

【Python】:排名第三

【算法】:排名第四

前言

深度神经网络(DNN)反向传播算法(BP)中,我们对DNN的前向反向传播算法的使用做了总结。其中使用的损失函数是均方差,而激活函数是Sigmoid。实际上DNN可以使用的损失函数和激活函数不少。这些损失函数和激活函数如何选择呢?以下是本文的内容


MSE损失+Sigmoid激活函数的问题

先来看看均方差+Sigmoid的组合有什么问题。回顾下Sigmoid激活函数的表达式为:

函数图像如下:

从图上可以看出,对于Sigmoid,当z的取值越来越大后,函数曲线变得越来越平缓,意味着此时的导数σ′(z)也越来越小。同样的,当z的取值越来越小时,也有这个问题。仅仅在z取值为0附近时,导数σ′(z)的取值较大。在均方差+Sigmoid的反向传播算法中,每一层向前递推都要乘以σ′(z),得到梯度变化值。Sigmoid的这个曲线意味着在大多数时候,我们的梯度变化值很小,导致我们的W,b更新到极值的速度较慢,也就是我们的算法收敛速度较慢。那么有什么什么办法可以改进呢?


交叉熵损失+Sigmoid改进收敛速度

Sigmoid的函数特性导致反向传播算法收敛速度慢的问题,那么如何改进呢?换掉Sigmoid?这当然是一种选择。另一种常见的选择是用交叉熵损失函数来代替均方差损失函数。每个样本的交叉熵损失函数的形式:

其中,▪为向量内积。这个形式其实很熟悉,在逻辑回归原理小结中其实我们就用到了类似的形式,只是当时我们是用最大似然估计推导出来的,而这个损失函数的学名叫交叉熵。


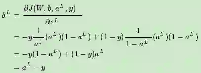
使用了交叉熵损失函数,就能解决Sigmoid函数导数变化大多数时候反向传播算法慢的问题吗?我们来看看当使用交叉熵时,我们输出层δL的梯度情况。

对比一下均方差损失函数时在δL梯度

使用交叉熵,得到的的δl梯度表达式没有了σ′(z),梯度为预测值和真实值的差距,这样求得的Wl,bl的梯度也不包含σ′(z),因此避免了反向传播收敛速度慢的问题。通常情况下,如果我们使用了sigmoid激活函数,交叉熵损失函数肯定比均方差损失函数好用。


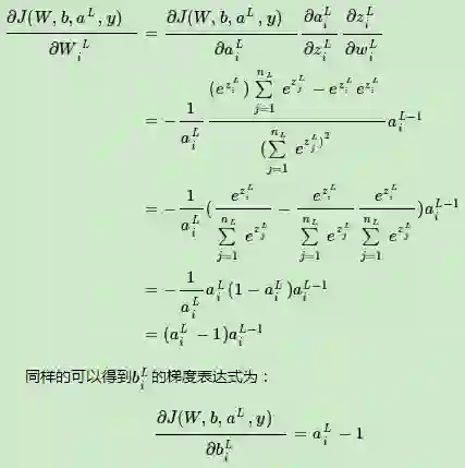
对数似然损失+softmax进行分类输出

在前面我们都假设输出是连续可导的值,但是如果是分类问题,那么输出是一个个的类别,那我们怎么用DNN来解决这个问题呢?


DNN分类模型要求是输出层神经元输出的值在0到1之间,同时所有输出值之和为1。很明显,现有的普通DNN是无法满足这个要求的。但是我们只需要对现有的全连接DNN稍作改良,即可用于解决分类问题。在现有的DNN模型中,我们可以将输出层第i个神经元的激活函数定义为如下形式:

这个方法很简洁漂亮,仅仅只需要将输出层的激活函数从Sigmoid之类的函数转变为上式的激活函数即可。上式这个激活函数就是我们的softmax激活函数。它在分类问题中有广泛的应用。将DNN用于分类问题,在输出层用softmax激活函数也是最常见的了。


对于用于分类的softmax激活函数,对应的损失函数一般都是用对数似然函数,即:

其中yk的取值为0或者1,如果某一训练样本的输出为第i类。则yi=1,其余的j≠i都有yj=0。由于每个样本只属于一个类别,所以这个对数似然函数可以简化为:

可见损失函数只和真实类别对应的输出有关,这样假设真实类别是第i类,则其他不属于第i类序号对应的神经元的梯度导数直接为0。对于真实类别第i类,它的WiL对应的梯度计算为:

可见,梯度计算也很简洁,也没有第一节说的训练速度慢的问题。当softmax输出层的反向传播计算完以后,后面的普通DNN层的反向传播计算和之前讲的普通DNN没有区别。


梯度爆炸or消失与ReLU

学习DNN,大家一定听说过梯度爆炸和梯度消失两个词。尤其是梯度消失,是限制DNN与深度学习的一个关键障碍,目前也没有完全攻克。

什么是梯度爆炸和梯度消失呢?简单理解,就是在反向传播的算法过程中,由于我们使用了是矩阵求导的链式法则,有一大串连乘,如果连乘的数字在每层都是小于1的,则梯度越往前乘越小,导致梯度消失,而如果连乘的数字在每层都是大于1的,则梯度越往前乘越大,导致梯度爆炸。


比如如下的梯度计算:

如果不巧我们的样本导致每一层的梯度都小于1,则随着反向传播算法的进行,我们的δl会随着层数越来越小,甚至接近越0,导致梯度几乎消失,进而导致前面的隐藏层的W,b参数随着迭代的进行,几乎没有大的改变,更谈不上收敛了。这个问题目前没有完美的解决办法。


而对于梯度爆炸,则一般可以通过调整我们DNN模型中的初始化参数得以解决。

对于无法完美解决的梯度消失问题,一个可能部分解决梯度消失问题的办法是使用ReLU(Rectified Linear Unit)激活函数,ReLU在卷积神经网络CNN中得到了广泛的应用,在CNN中梯度消失似乎不再是问题。那么它是什么样子呢?其实很简单,比我们前面提到的所有激活函数都简单,表达式为:

也就是说大于等于0则不变,小于0则激活后为0。


其他激活函数

DNN常用的激活函数还有:

 tanh

这个是sigmoid的变种,表达式为:

tanh激活函数和sigmoid激活函数的关系为:

tanh和sigmoid对比主要的特点是它的输出落在了[-1,1],这样输出可以进行标准化。同时tanh的曲线在较大时变得平坦的幅度没有sigmoid那么大,这样求梯度变化值有一些优势。当然,要说tanh一定比sigmoid好倒不一定,还是要具体问题具体分析。


 softplus

这个其实就是sigmoid函数的原函数,表达式为:

它的导数就是sigmoid函数。softplus的函数图像和ReLU有些类似。它出现的比ReLU早,可以视为ReLU的鼻祖。



PReLU

从名字就可以看出它是ReLU的变种,特点是如果未激活值小于0,不是简单粗暴的直接变为0,而是进行一定幅度的缩小。如下图。


小结

上面我们对DNN损失函数和激活函数做了详细的讨论,重要的点有:

1)如果使用sigmoid激活函数,则交叉熵损失函数一般肯定比均方差损失函数好;

2)如果是DNN用于分类,则一般在输出层使用softmax激活函数和对数似然损失函数;

3)ReLU激活函数对梯度消失问题有一定程度的解决,尤其是在CNN模型中。

欢迎分享给他人让更多的人受益

参考:

  1. Yoshua Bengio《深度学习》

  2. 博客园(作者:刘建平)

    http://www.cnblogs.com/pinard/p/6437495.html

  3. 周志华《机器学习》

  4. 李航《统计学习方法》

加我微信:guodongwe1991,备注姓名-单位-研究方向(加入微信机器学习交流1群)

招募 志愿者

广告、商业合作

请加QQ:357062955@qq.com

喜欢,别忘关注~

帮助你在AI领域更好的发展,期待与你相遇!

登录查看更多
15

相关内容

【Nature论文】深度网络中的梯度下降复杂度控制
专知会员服务
41+阅读 · 2020年3月9日
一网打尽!100+深度学习模型TensorFlow与Pytorch代码实现集合
深度学习算法与架构回顾
专知会员服务
84+阅读 · 2019年10月20日
干货 | 深入理解深度学习中的激活函数
计算机视觉life
16+阅读 · 2019年1月29日
详解常见的损失函数
七月在线实验室
20+阅读 · 2018年7月12日
激活函数初学者指南
论智
6+阅读 · 2018年5月15日
干货|深度神经网络(DNN)反向传播算法(BP)
全球人工智能
7+阅读 · 2018年1月12日
干货 | 深度学习之CNN反向传播算法详解
机器学习算法与Python学习
17+阅读 · 2017年11月21日
入门 | 一文概览深度学习中的激活函数
深度学习世界
4+阅读 · 2017年11月3日
干货 | 深度学习之卷积神经网络(CNN)的模型结构
机器学习算法与Python学习
12+阅读 · 2017年11月1日
干货|浅谈神经网络中激活函数的设计
机器学习研究会
5+阅读 · 2017年10月28日
Optimization for deep learning: theory and algorithms
Arxiv
106+阅读 · 2019年12月19日
Bivariate Beta LSTM
Arxiv
6+阅读 · 2019年10月7日
Arxiv
18+阅读 · 2019年1月16日
Arxiv
10+阅读 · 2017年12月29日
VIP会员
相关VIP内容
相关资讯
干货 | 深入理解深度学习中的激活函数
计算机视觉life
16+阅读 · 2019年1月29日
详解常见的损失函数
七月在线实验室
20+阅读 · 2018年7月12日
激活函数初学者指南
论智
6+阅读 · 2018年5月15日
干货|深度神经网络(DNN)反向传播算法(BP)
全球人工智能
7+阅读 · 2018年1月12日
干货 | 深度学习之CNN反向传播算法详解
机器学习算法与Python学习
17+阅读 · 2017年11月21日
入门 | 一文概览深度学习中的激活函数
深度学习世界
4+阅读 · 2017年11月3日
干货 | 深度学习之卷积神经网络(CNN)的模型结构
机器学习算法与Python学习
12+阅读 · 2017年11月1日
干货|浅谈神经网络中激活函数的设计
机器学习研究会
5+阅读 · 2017年10月28日
Top
微信扫码咨询专知VIP会员