专栏 | 阿里iDST CVPR 2017论文解读:视频衣物精确检索

2017 年 7 月 26 日 机器之心

机器之心专栏

作者:方广、磐君、思淘


在 CVPR 2017 开幕当天的文章《CVPR 2017国内外亮点论文汇集:史上最盛大会议,华人占据半壁江山》中,我们获悉国内电商巨头阿里巴巴共有四篇论文被接收。本文是对阿里 iDST 被接收的论文《Video2Shop: Exactly Matching Clothes in Videos to Online Shopping Images》的解读。


论文链接:http://openaccess.thecvf.com/content_cvpr_2017/papers/Cheng_Video2Shop_Exact_Matching_CVPR_2017_paper.pdf


阿里巴巴 iDST 视频分析团队被 CVPR 2017 收录的论文《从视频到电商:视频衣物精确检索》围绕视频电商业务场景,提出了一个在线视频衣物精确检索系统。该系统能够满足用户在观看影视剧时想要同时购买明星同款的需求。整个系统采用了目前最先进的衣物检测和跟踪技术。针对明星同款检索中存在的多角度、多场景、遮挡等问题。提出可变化的深度树形结构(Reconfigurable Deep Tree structure)利用多帧之间的相似匹配解决单一帧检索存在的遮挡、模糊等问题。该结构可以认为是对现有 attention 模型的一种扩展,可以用来解决多模型融合问题。


论文技术在天猫魔盒视频中应用


业务场景及研究问题:视频电商中的衣物精确匹配


早在 2014 年,阿里与优酷土豆发布视频电商战略,称未来可以实现边看边买,使得视频电商的概念,继微博电商,朋友圈电商之后浮出水面。电商平台拥有少量商品,而视频网站具有巨大的流量,二者结合是发展的必然结果。电商平台可以借助视频网站的流量来实现导流和平台下沉,而视频网站则需要通过广告点击和商品成交来实现流量变现,因此二者的结合可谓一拍即合。视频电商的商业主旨是打造以视频为入口的购物服务,视频中出现所有物体都可能是商品,提供包括边看边买、明星同款、广告投放等服务,它集娱乐、休闲、购物于一体,给用户构造出一种「身临其境」情境营销,或者是明星同款的冲动式消费。视频电商目前已经不是停留在概念层次了,视频网站向电商的导流转化也一直在不断的尝试中。


影视剧中的服饰存在较大的差异性和异构性,同一个目标往往展现出较大的差异。服饰购物图像通常具有杂乱、多样的背景,而且常在户外拍摄。多样化的背景可能是建筑物,街道、风景、汽车等多种情况。由于自然场景下受到光线、角度、大小、分 辨率、几何学和光度学的变化等影响,使得服饰呈现出现的外形极为复杂,即使是同一件服饰也会出现变化较大的效果。同时在线网站为更好地展示服饰的效果,通常聘请时尚模特穿着所售商品,模特/人物姿势变化也是导致服饰变化的一个重要因素。由于以上这些因素,使得视频明星同款搜索成为了一个极具挑战性的技术问题。


网络结构及技术细节:


AsymNet 网络结构:整个 Asymnet 深度神经网络结构如图 1 所示。当用户通过机顶盒(天猫魔盒)观看视频时,该网络将从电商网站(淘宝、天猫)检索到与之匹配的衣服,并推荐给用户。为忽略复杂背景对检索结果的影响,更准确的进行服装定位,我们首先应用服饰检测技术,提取得到服饰区域一组候选框。然后对这些候选框进行跟踪,得到明星同款在视频中的的运动轨迹。对于衣物候选区域和运动轨迹我们分别利用用图像特征网络(IFN)和视频特征网络(VFN)进行特征学习。考虑到服装的运动轨迹,衣物精确检索问题被定义为不对称(多对单)匹配问题,我们提出可变化的深度树形结(Reconfigurable Deep Tree Structure),利用多帧之间的相似匹配解决单一帧检索存在的遮挡、模糊等问题。后续本文将详细介绍模型的各个部分。


图 1 Asymnet 深度神经网络结构


图像特征网络(IFN):传统 CNN 网络要求输入图像为固定的 227x227(因为 CNN 网络中的卷积层需要有一个确定的预定义的维度)。在视频电商业务场景中,因为衣物检测候选框为任意大小,尺度变化很大,传统 CNN 网络无法进行有效的特征学习。针对这一问题,我们利用空间金字塔池化结构(SPP)体系结构,如图 2 所示。它通过空间池聚合最后一个卷积层的特征,从而使池区域的大小与输入的大小无关。


图 2 Asymnet 图像特征网络(IFN)


视频特征网络 (VFN):为了更好的考虑视频的空间序列模式,进一步提高衣物检索的性能。基于 LSTM,我们提出了视频特征网络 (VFN),如图 3 所示。其中实验验证明两层堆叠式 LSTM 结构能够在视频特征学习中得到最佳性能。


图 3 Asymnet 视频特征网络 (VFN)


相似性网络:明星同款匹配不同于近似衣物检索,精确匹配要求完全一致。在完全一致的 要求下,传统的通过相似性计算来进行检索的方法,不能满足明星同款精确匹配要求。已有的方法通常将精确匹配问题转换为一个二分类问题,但这种方式适应性差,只能利用单一时刻的视频帧。为了能够利用整个衣物运动轨迹,我们提出了如下的可变化的深度树形结构(Reconfigurable Deep Tree structure)将匹配问题转换为逻辑回归问题。匹配网络拟采用基于混合专家系统的逻辑回归网络。该结构可以认为是对现有 attention 模型的一种扩展,可以用来解决多模型融合问题。


图 4 Asymnet 相似性网络


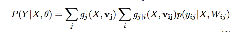
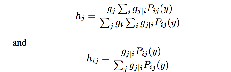
整个模型的目标函数是综合考虑每一帧的匹配结果,得到基于整个衣物运动序列和电商衣物的相似性,整个系统可以建模为对如下目标公式进行求解:



类似于 attention 机制,我们提出如下后验概率模型,来对上式进行求解:



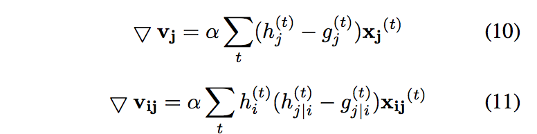
得到如下梯度并采用端到端方式进行网络学习。



试验结果:我们利用业务数据和最新的衣物检索方法进行了对比,试验结果如下表所示。相对于 alexnet,Asymnet 在前 20 的检索精确率指标上,其性能几乎提高了进一倍。相对于其他 2 种网络 CS 和 RC,我们发现 RC 的性能略优于 CS,因为 RC 具有较强的识别能力差异较小(采用多任务学习)。甚至在对于某些类别(无明显差别)RC 在精确率上甚至略好于 AsymNet,但是总的来说 AsymNet 比目前现有的方法拥有更好的性能。因为 Asymnet 可以处理现有的视频的时空动态变化,并结合自动视频帧的自动调节炉排判别信息的融合策略。




本文为机器之心专栏文章,转载请联系本公众号获得授权

✄------------------------------------------------

加入机器之心(全职记者/实习生):hr@jiqizhixin.com

投稿或寻求报道:editor@jiqizhixin.com

广告&商务合作:bd@jiqizhixin.com


点击阅读原文,查看机器之心官网↓↓↓

登录查看更多
2

相关内容

CVPR是IEEE Conference on Computer Vision and Pattern Recognition的缩写,即IEEE国际计算机视觉与模式识别会议。该会议是由IEEE举办的计算机视觉和模式识别领域的顶级会议。

知识荟萃

精品入门和进阶教程、论文和代码整理等

更多

查看相关VIP内容、论文、资讯等
姿势服装随心换-CVPR2019
专知会员服务
36+阅读 · 2020年1月26日
近期必读的8篇 AAAI 2020【图神经网络(GNN)】相关论文
专知会员服务
77+阅读 · 2020年1月15日
近期必读的5篇 CVPR 2019【图卷积网络】相关论文和代码
专知会员服务
33+阅读 · 2020年1月10日
【阿里技术论文】AliMe KBQA:阿里小蜜中的结构化知识问答
专知会员服务
83+阅读 · 2019年12月14日
CVPR 2018 最酷的十篇论文
AI研习社
6+阅读 · 2019年2月13日
CVPR 2018 论文解读(部分)
计算机视觉战队
5+阅读 · 2018年5月8日
ICCV2017 论文解读:基于图像检索的行人重识别
极市平台
7+阅读 · 2017年11月15日
【新零售】当下趋势:传统零售将变革为新零售
产业智能官
3+阅读 · 2017年11月12日
专栏 | CVPR 2017论文解读:特征金字塔网络FPN
机器之心
8+阅读 · 2017年7月25日
Neural Image Captioning
Arxiv
5+阅读 · 2019年7月2日
Joint Monocular 3D Vehicle Detection and Tracking
Arxiv
8+阅读 · 2018年12月2日
Arxiv
7+阅读 · 2018年4月24日
VIP会员
相关资讯
CVPR 2018 最酷的十篇论文
AI研习社
6+阅读 · 2019年2月13日
CVPR 2018 论文解读(部分)
计算机视觉战队
5+阅读 · 2018年5月8日
ICCV2017 论文解读:基于图像检索的行人重识别
极市平台
7+阅读 · 2017年11月15日
【新零售】当下趋势:传统零售将变革为新零售
产业智能官
3+阅读 · 2017年11月12日
专栏 | CVPR 2017论文解读:特征金字塔网络FPN
机器之心
8+阅读 · 2017年7月25日
Top
微信扫码咨询专知VIP会员