《模型汇总-20》深度学习背后的秘密:初学者指南-深度学习激活函数大全

2017 年 8 月 29 日 深度学习与NLP nereus

    激活函数是获取输入信号并将其转换为输出信号。激活函数为网络引入非线性,这就是我们称之为非线性的原因。神经网络是通用函数逼近器,深层神经网络使用反向传播法进行训练,反向传播需要使用可微分的激活函数。Backpropapagation使用此激活函数的下降梯度来更新网络权重。了解激活函数非常重要,因为它们对深层神经网络的函数逼近能力中起着至关重要的作用。在本文中,我列出并描述了常用的激活函数。


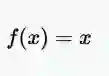
· 一致或线性激活函数 

     一致或线性激活函数是最简单的激活函数。它对模型的输入数据应用线性操作,输出数据与输入数据成比例。线性激活函数的问题是它的导数是一个常数,它的梯度也将是一个常数,下降将是一个恒定的梯度。

一致或线性激活函数的方程式

范围:(-∞,+∞)

示例:f(2)= 2或f(-4)= -4


· Heaviside(二值型激活函数,0或1,high或low)步长函数

    通常仅在单层感知器中有用,这是早期类型的神经网络,可在输入数据可线性分离的情况下用于分类。这些函数对二进制分类任务很有用。如果输入累加和高于某一阈值,则输出为A1,如果输入和低于某个阈值,则为A0。感知器使用的值为A1 = 1,A0 = 0

Heaveside /二进制步长函数方程(0或1,高或低)

范围:{0或1} o或1

示例:f(2)= 1,f(-4)= 0,f(0)= 0,f(1)= 1


· Sigmoid或Logistic激活函数(Soft Step) -    主要用于二进制分类问题(即输出值范围为0-1)。它有梯度消失的问题。由于输入(X)导致输出(Y)变化非常小,因此网络拒绝学习或某些时期学习非常慢。它是分类问题的广泛使用的激活函数,但最近。这个函数更容易陷入饱和状态,特别是随着网络层次增加,使训练更加困难。计算Sigmoid函数的导数非常简单。

    在神经网络的反向传播过程中,误差信号在每一层(至少)被挤压四分之一。因此,网络越深,数据的更多知识就会“损失”。从输出层得到的一些“大”误差信号可能无法在相对较浅的层中影响神经元的突触权值(“浅”意味着它靠近输入层)

Sigmoid或Logistic激活函数

S型函数的导数

范围:(0,1)

示例:f(4)= 0.982,f(-3)= 0.0474,f(-5)= 0.0067


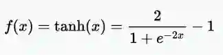
· 双曲正切S型激活函数(TanH) 

    看起来像一个缩放的S形函数。数据以零为中心,因此导数将更高。Tanh比S形和logistic激活函数收敛速度更快。

双曲正切(TanH)激活函数方程

范围:(-1,1)

示例:tanh(2)= 0.9640,tanh(-0.567)= -0.5131,tanh(0)= 0

· 正则化线性单元(ReLU) 

    比tanh快6倍。当输入值小于零时,输出值为零。如果输入大于或等于零,则输出等于输入。当输入值为正时,导数为1,因此不会产生类似S形激活函数在误差反向传播时出现的挤压效应(Squeeze effect)。

正则化线性单元(ReLU)激活函数的公式

范围:[0,x)

示例:f(-5)= 0,f(0)= 0&f(5)= 5

    Relu也存在问题,Relu在训练的时候非常脆弱且可能会“死亡”。比如,一个比较大的梯度流经Relu神经元,可能会导致权重以一种方式“die”更新,即神经元对任何的数据都不会被激活。如果这一情况发生,流经这个神经元的梯度对于任意数据永恒为0。也就是说,Relu单元在训练时可能会不可逆的死亡,因此Relu可能会消磨掉数据的多样性。比如,如果学习速率设得过大,你可能发现模型40%的神经元都是死的(比如,神经元对于整个数据集都不会被激活)。对于一个设置合适的学习速率,这个问题就没有那么严重。


· Leaky正则化线性单元(Leaky ReLU)

        Leaky ReLU 在单元未激活时,允许小的非零梯度。0.01是小的非零梯度值。

Leaky正则化线性单元(Leaky ReLU)激活函数的方程

范围:(-∞,+∞)


Leaky正则化线性单元(Leaky ReLU)

· 参数正则化线性单元(PReLU) - 把Leaky的系数当做一个参数与其他神经网络参数一起学习。Alpha(α)是这里的Leaky系数。

对于α≤1f(x)= max(x,αx)

范围:(-∞,+∞)


参数正则化线性单位公式(PReLU)


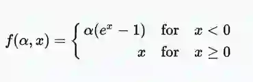
· 随机Leaky正则化线性单元(RReLU)

范围:(-∞,+∞)


随机Leaky正则化线性单元(RReLU)


· 指数线性单位(ELU) 

    指数线性单位尝试使平均激活更接近于零,从而加快学习。已经表明,ELU可以获得比ReLU更高的分类精度。α是这里的一个超参数并被调整,约束是α≥0(零)。

范围:(-α,+∞)

指数线性单位(ELU)


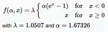
· 缩放指数线性单位(SELU)

范围:(-λα,+∞)

缩放指数线性单位(SELU)


· S形正则化线性激活单元(SReLU)

范围:(-∞,+∞)

S形正则化线性激活单元


· 自适应分段线性(APL)

范围:(-∞,+∞)


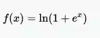
· SoftPlus 

    softplus函数的导数是logistic函数。ReLU和Softplus在很大程度上是相似的,除了接近0(零)时,softplus更加平滑且可微的。计算ReLU值及其导数比softplus函数更容易和高效,因为softplus的公式中包含log(.)和exp(.)计算。

范围:(0,∞)

Softplus

softplus函数的导数是逻辑函数。

softplus函数的微分


· 弯曲一致激活函数

范围:(-∞,+∞)


弯曲一致激活函数

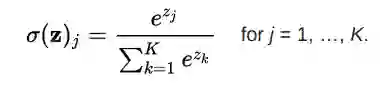
· Softmax激活函数

    S个OFTMAX函数将一个粗糙的原始值转换为后验概率。这提供了一定的确定性。它将每个单元的输出压缩在0和1之间,就像S形函数一样。但是它也会将每个输出除以输出的总和,使总的概率等于1。

Softmax函数方程

softmax函数的输出等同于分类概率分布,它告诉每个类别的真实概率分布。


结论:

ReLU和它的变体应优于S形或tanh激活函数。同时ReLU训练起来更快。如果ReLU导致神经元死亡,请使用Leaky ReLUs或其他变体。Sigmoid和tanh存在梯度消失的问题,不应该在隐藏层中使用。ReLUs最适用于隐含层。应使用易于微分和易于训练的激活函数。


参考文献:

1. https://en.wikipedia.org/wiki/Activation_function

2. https://github.com/Kulbear/deep-learning-nano-foundation/wiki/ReLU-and-Softmax-Activation-Functions

3. https://en.wikipedia.org/wiki/Rectifier_(neural_networks)

往期精彩内容推荐:

斯坦福大学2017年春季_基于卷积神经网络的视觉识别课程视频教程及ppt分享

ICML17 Seq2Seqtutorial精品资料分享

模型汇总18 强化学习(Reinforcement Learning)基础介绍

模型汇总15 领域适应性Domain Adaptation、One-shot/zero-shot Learning概述

模型汇总-14 多任务学习-Multitask Learning概述

扫描下方二维码可以订阅哦!

DeepLearning_NLP

深度学习与NLP

       商务合作请联系微信号:lqfarmerlq

登录查看更多
8

相关内容

在人工神经网络中,给定一个输入或一组输入,节点的激活函数定义该节点的输出。一个标准集成电路可以看作是一个由激活函数组成的数字网络,根据输入的不同,激活函数可以是开(1)或关(0)。这类似于神经网络中的线性感知器的行为。然而,只有非线性激活函数允许这样的网络只使用少量的节点来计算重要问题,并且这样的激活函数被称为非线性。
最新《可解释深度学习XDL》2020研究进展综述大全,54页pdf
深度学习算法与架构回顾
专知会员服务
84+阅读 · 2019年10月20日
神经网络与深度学习,复旦大学邱锡鹏老师
专知会员服务
122+阅读 · 2019年9月24日
干货 | 深入理解深度学习中的激活函数
计算机视觉life
16+阅读 · 2019年1月29日
深度学习面试100题(第31-35题)
七月在线实验室
8+阅读 · 2018年7月16日
激活函数初学者指南
论智
6+阅读 · 2018年5月15日
理解神经网络的激活函数
论智
7+阅读 · 2018年1月8日
深度学习入门指南:初学者必看!
专知
7+阅读 · 2017年11月30日
最近流行的激活函数
计算机视觉战队
6+阅读 · 2017年11月27日
入门 | 一文概览深度学习中的激活函数
深度学习世界
4+阅读 · 2017年11月3日
深度学习面试你必须知道这些答案
AI研习社
18+阅读 · 2017年10月31日
干货 | 深度学习之损失函数与激活函数的选择
机器学习算法与Python学习
15+阅读 · 2017年9月18日
How to Fine-Tune BERT for Text Classification?
Arxiv
13+阅读 · 2019年5月14日
Arxiv
53+阅读 · 2018年12月11日
Hierarchical Deep Multiagent Reinforcement Learning
Arxiv
8+阅读 · 2018年9月25日
Arxiv
6+阅读 · 2018年7月12日
The Matrix Calculus You Need For Deep Learning
Arxiv
12+阅读 · 2018年7月2日
Arxiv
11+阅读 · 2018年5月13日
VIP会员
相关VIP内容
相关资讯
干货 | 深入理解深度学习中的激活函数
计算机视觉life
16+阅读 · 2019年1月29日
深度学习面试100题(第31-35题)
七月在线实验室
8+阅读 · 2018年7月16日
激活函数初学者指南
论智
6+阅读 · 2018年5月15日
理解神经网络的激活函数
论智
7+阅读 · 2018年1月8日
深度学习入门指南:初学者必看!
专知
7+阅读 · 2017年11月30日
最近流行的激活函数
计算机视觉战队
6+阅读 · 2017年11月27日
入门 | 一文概览深度学习中的激活函数
深度学习世界
4+阅读 · 2017年11月3日
深度学习面试你必须知道这些答案
AI研习社
18+阅读 · 2017年10月31日
干货 | 深度学习之损失函数与激活函数的选择
机器学习算法与Python学习
15+阅读 · 2017年9月18日
相关论文
How to Fine-Tune BERT for Text Classification?
Arxiv
13+阅读 · 2019年5月14日
Arxiv
53+阅读 · 2018年12月11日
Hierarchical Deep Multiagent Reinforcement Learning
Arxiv
8+阅读 · 2018年9月25日
Arxiv
6+阅读 · 2018年7月12日
The Matrix Calculus You Need For Deep Learning
Arxiv
12+阅读 · 2018年7月2日
Arxiv
11+阅读 · 2018年5月13日
Top
微信扫码咨询专知VIP会员