ICLR 2022 | 在注意力中重新思考Softmax,商汤提出cosFormer实现多项SOTA

2022 年 3 月 13 日 PaperWeekly


©作者 | 李文
单位 | 中南大学
研究方向 | 自然语言处理


最近读了一篇 ICLR 2022 的论文,对于 attention-softmax 的计算复杂度有了一定的了解,下面是对论文的翻译和笔记,如有理解错误,还请海涵指正。



论文标题:

cosFormer: Rethinking Softmax in Attention

论文链接

https://arxiv.org/pdf/2202.08791.pdf

代码链接

https://github.com/OpenNLPLab/cosFormer



摘要


Transformer 在自然语言处理、计算机视觉和音频处理,已经取得了巨大的成功。作为核心组件的 attention-softmax,可以有效捕捉长距离的特征,但是计算复杂度是序列长度的平方;核方法的提出就是为了减少其计算的时间复杂度,但是这是一个近似方法,受语料和任务场景影响,并且有一定的误差。


这篇论文提出 cosformer 的一种方法,媲美标准 attention 甚效果更好。COFORMER 基于两个关键 softmax注意力的属性,第一个:注意矩阵的非负性, 第二个:非线性的权重转换(re-weighting)方案,放大局部的注意力权重值。



INTRODUCTION



Figure 1:上图中,y 轴表示性能,x 轴表示计算速度,圆圈的大小表示显存占用,可以看到 cosFormer 在保持长距离任务下,与左上角的任务相比:不仅保持了性能,提升了计算速度,显存占用也减少了。


transformer 及其变体在过去几年对文本、音视频任务产生了很大的影响,相较于 cnn 和 rnn,这一类模型可以学习长度不一的数据集,适用范围更大,并且有利于捕捉其全局信息,刷爆了多个任务。点乘的 attention+softmax 机制是其捕捉长距离任务的关键,遗憾的是,其空间和时间复杂度,受到了序列长度的限制,尤其是在长距离任务下影响比较明显一些。


为了解决这个问题,多种方法被提出,比如,2020 年提出的稀疏 attention 矩阵,低秩表达,核方法等等,这些方法都是为了解决标准 attention 的计算复杂度。然而这些线性时间复杂下的变体,通常存在一定的假设前提,并且是一个近似值,自带约束,换句话说,这些方法可能并不能适应所有场景,尤其是在 GLUE benchmark 上,通常效果没有标准(香草)的 attention 要好。另外不适用于 AR 语言模型的的 causal attention 注意力,也不适用 Linformer 和 BigBird 的交叉注意力。


softmax 是优化复杂度的主要难点所在(如果没有 softmax,利用矩阵的乘法结合律(AB)C=A(BC),可以看下面的图),我们(下文都指:作者们认为)很那去逼近它,因此作者提出疑问:“我们要得到一个关键的权重信息时,能否适用一个线性方法去替代 softmax”,这样既保留了 attention 的关键特性,又可以利用结合律,先算 KV,通过深入挖掘。

我们找到了两个关键信息:1、attention 中的权重元素是非负的,2:将权重进行 re-weigthing 的转化是为了模型的稳定性,比如,(Katharopoulos et al., 2020)提出的线性 Transformer 使用了 的指数激活函数,来保证 Q、K 非负(这样乘出来的 A 注意力矩阵也是非负的), 然而,由于缺少一个 softmax 去 re-weigthing 权重, 模型表现不尽人意。

这篇 paper 中,我们提出了一个新的线性 Transformer 变体,命名为“COSFORMER”,满足上面的两个性质,在计算内积之前,我们先使用 relu 进行激活,强制将 K、Q 变成非负;另外我们使用了一个新的方法 将 K、Q 得到的 A 矩阵进行缩放 re-weigthing,来保障稳定性。这可以帮助模型关注局部上下文信息,通常局部上下文在 NLP 任务中比较重要。

由于 Ptolemy 定理的存在,attention 的计算可以分解,让计算可以变成线性复杂度(先算 K、V),我们使用了 AR 和 AE 模型预训练模型,在很多任务上进行了实验,结果显示 cosformer 使用更小的显存,更快的速度就可以媲美标准的 Attention。并且刷新了 Long-Range Arena benchmark。


OUR METHOD


这一节主要讲 COSFORMER 详细的技术实现,最关键的点就是如何替换掉标准 Attention 中,非线性的并且不可拆分的 softmax 函数,使用一个非线性的可以拆分成线性操作进行替换;我们的方法适用范围比较广,causal 和 cross attentions 都支持,并且是线性的时间空间复杂度(说的都是跟输入序列长度 N 成线性),在长文本上表现较好。



标准Attention


标准的 Attention 通常是给定一个输入长度为  的序列 ,然后通过  embedding 层表示为 的矩阵形式,然后经过一个 encoder 的 self-attention 模块 ,公式如下:



其中 F 是一个包含残差的前向连接,A 表示的是 attention 计算结果,A 的计算时间和空间复杂度为 ,所以对于长文本而言,这个公式就会存在一个瓶颈。 中有三个重要的权重 ,用于计 ,这里使用 表示一个矩阵的第 行,用 来表示 A 函数的输出,那么有如下公式成立:



其中 表示的是一个 token 的向量,来自于多个 的加权和, 表示点乘,可以理解为相似度,计算每一个 的时间复杂度为 O(N),这里就可以看到时间复杂度与输入序列长度 成平方关系。如果 ,就是 softmax 了。



线性复杂度的self-attention


根据上面的公式,我们可以使用一个相似的方法,去计算 attention 矩阵,我们的目的是希望, 的计算式可以拆分的成线性的,而不是跟 softmax 一样不可拆分,所以对 进行如下表示:



其中 是将 映射到另外一个隐空间,我们重写上一节的公式得到了:



因为矩阵乘法的结合律,我们就可以得到如下公式是成立的:



这样就解决了计算复杂度的问题,可以参见下面的图:



上图已经很明显的标出了其复杂度,当 ,时间复杂度与输入序列长度的关系显而易见。那么之前的解法有哪些呢,综上所以,核心点是寻找一个可以拆分的 方法,一种方法是希望找到 softmax 的一个近似值,比如 RFA 和 Performer。

另外一种是进行替换,比如 linear transformer 直接替换了 softmax,先使用 的分量变成非负的,然后直接 得到非负的 Attention 矩阵。但是在我们的实验中,我们发现这种方法对于长距离任务而言,效果并不好(见上图),本论文也是提出了另外的方法替换 softmax 实现了更好的性能。



softmax attention的分析


在标准的 self-attention 中, ,实际上是在 矩阵的行上面做了一个 re-weighting,换句话说,是对一个 token 和其他 token 的关联关系权重做了一个 re-weighting,然而抛开之前的论文和经验,softmax-attention 的关键和必要特征是什么呢?(作者的意思应该是,这里要抛开之前的解释,只谈这个矩阵的特征,我对这句话的理解是深度学习本身也不需要解释,即使解释不了,也可以拟合得到好的效果,欢迎指正)。


这里很容易得到两个重要的特征,1、 矩阵是非负的 2、提供了一个非线性的 re-weighting 机制,拟合权重的分布,增加训练稳定性。为了验证上面的猜想,设计了一些实验,实验结果在下面表格中。



上图中 表示对 都乘以单位阵,值没有任何变化, 激活后负数会变小,正数不变。 进行激活,这样所有分量就非负了, 表示标准的 attention 权重计算,上面的实验是依次增加我们总结的关键点。


首先验证非负的的重要性,上图中 表示单位阵,即不对输入进行任何转化,对比 和其他中实验的结果可以看到非负是比较重要额,其次验证 re-weighting 的重要性,其中 softmax 是唯一进行了 re-weighting 的,同其他三个进行比较也可以看到其区别。


对比 可以看到,softmax 可以让模型更快收敛,对于很多下游任务更好(图里面有两个都更好一些),这可能是因为 softmax 会放大数值,模型会更加关注一些敏感的模式。



COSFORMR


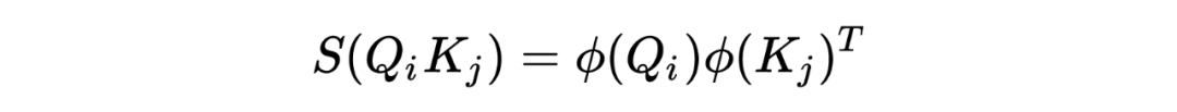
针对之前的观察,我们提出了 COSFORMER,保留了 Attention 矩阵的非负性和 re-weighting 权重。COSFORMER 包含了两个重要的模块:线性的映射核函数 ,用于保证非负性;cos-Based re-weighting 机制,线性核函数 呼应了最开始的 ,定义如下:



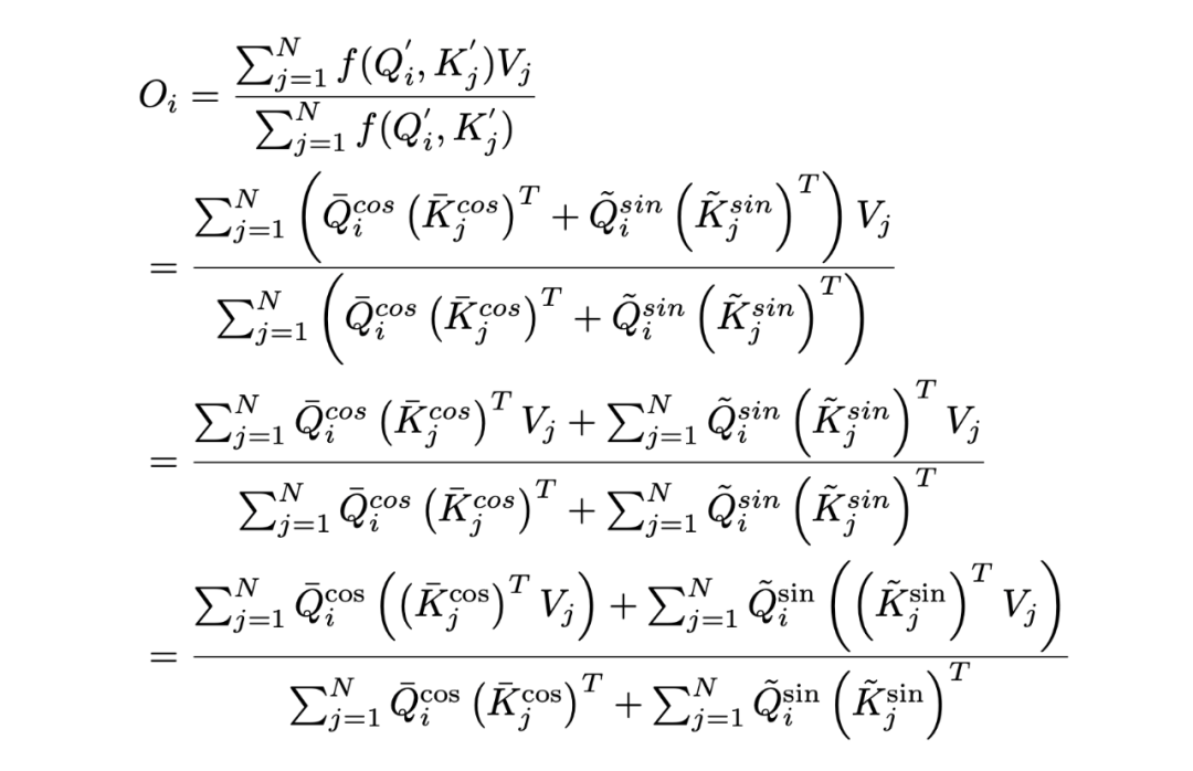
负责将 映射到 是一个可以拆分的的相似度计算方法。本文定义了 一方面保证 非负,另外又是非线性的转换。因此我们可以得到 的表示如下:



,继续进行变换得到下面的等式:




这样子就已经让时间复杂度降下来了,换句话说就是本来标准的 self-Attention: = [(向量·向量=标量)]*向量 ,换成了一个 Q、K、V 三个矩阵点乘,这个满足结合律,可以交换计算的先后顺序,没懂可以看上面的图,Linear Transfomer 就是这么干的,做完这个还不够,还需要对权重进行 re-weighting,加速收敛,增强稳定性。

而 re-weighting 设计的目标也是必须可以拆分的函数,作者在设计这个函数的时候,首先分析了 softmax 起到的作用,然后构思了一个可以拆分的 cos-Based Re-weighting。


cos-Based Re-weighting Mechanism


进行非线性的 re-weighting 去拟合分布,可以加速收敛,稳定训练过程。我们同样发现,由于 其收缩放大的属性,可以惩罚远距离的 token 权重,增大近距离的局部上下文权重。可以参考下面的两张图:




针对这两点,提出了 cos-Based Re-weighting 方法,




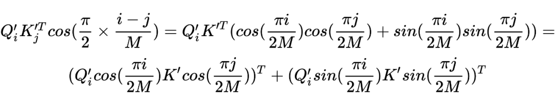
根据 Ptolemy 定理,我们可以进行拆分:



其中 表示位置, ,M 是一个超参,代码中通常用的就是 seq_length(causal attention 对应的是 query 和 key 中最长的), 表示的就是距离,距离越远, 越大, 上面的值就小;令




, 得到下面的公式:



推导过程如下:



最终,在不损失标准 Tansformer 优势的情况下,我们的到 COSFORMER 公式如下:




与位置编码的关系


上面的公式中,我们可以看到公式中存在 这样的位置关系,cosformer 提出了一种新的想法,可以解释为相对位置偏差。相较于 Rotary Position Embedding(2021 RoFormer),参考苏神:Transformer升级之路:博采众长的旋转式位置编码,膜拜下苏神。相较于 Stochastic Positional Encoding(2021),它是利用采样策略近似 softmax,并且使用了相对位置编码。



代码


代码作者已经实现了,自己大概看了下,长距离下对计算速度是有提升的,总结起来就是论文的第一张图。有兴趣可以自己看下,cosFormer 论文内的伪代码贴在下面了。



作者的 Pytorch 实现 Github:

https://github.com/OpenNLPLab/cosFormer



更多阅读




#投 稿 通 道#

 让你的文字被更多人看到 



如何才能让更多的优质内容以更短路径到达读者群体,缩短读者寻找优质内容的成本呢?答案就是:你不认识的人。


总有一些你不认识的人,知道你想知道的东西。PaperWeekly 或许可以成为一座桥梁,促使不同背景、不同方向的学者和学术灵感相互碰撞,迸发出更多的可能性。 


PaperWeekly 鼓励高校实验室或个人,在我们的平台上分享各类优质内容,可以是最新论文解读,也可以是学术热点剖析科研心得竞赛经验讲解等。我们的目的只有一个,让知识真正流动起来。


📝 稿件基本要求:

• 文章确系个人原创作品,未曾在公开渠道发表,如为其他平台已发表或待发表的文章,请明确标注 

• 稿件建议以 markdown 格式撰写,文中配图以附件形式发送,要求图片清晰,无版权问题

• PaperWeekly 尊重原作者署名权,并将为每篇被采纳的原创首发稿件,提供业内具有竞争力稿酬,具体依据文章阅读量和文章质量阶梯制结算


📬 投稿通道:

• 投稿邮箱:hr@paperweekly.site 

• 来稿请备注即时联系方式(微信),以便我们在稿件选用的第一时间联系作者

• 您也可以直接添加小编微信(pwbot02)快速投稿,备注:姓名-投稿


△长按添加PaperWeekly小编




🔍


现在,在「知乎」也能找到我们了

进入知乎首页搜索「PaperWeekly」

点击「关注」订阅我们的专栏吧



·

登录查看更多
0

相关内容

CVPR2022 | Sparse Transformer刷新点云目标检测的SOTA
专知会员服务
25+阅读 · 2022年3月9日
【AAAI2022】注意力机制的快速蒙特卡罗近似
专知会员服务
20+阅读 · 2022年2月5日
【AAAI2022】 负样本问题:时间基础度量学习的复兴
专知会员服务
21+阅读 · 2021年12月26日
专知会员服务
37+阅读 · 2021年5月15日
【Nature论文】深度网络中的梯度下降复杂度控制
专知会员服务
41+阅读 · 2020年3月9日
听说Attention与Softmax更配哦~
PaperWeekly
0+阅读 · 2022年4月9日
微软&中山大学开源超强的视觉位置编码,涨点显著
夕小瑶的卖萌屋
0+阅读 · 2021年8月10日
命名实体识别新SOTA:改进Transformer模型
AI科技评论
17+阅读 · 2019年11月26日
【论文笔记】自注意力机制学习句子embedding
国家自然科学基金
0+阅读 · 2015年12月31日
国家自然科学基金
2+阅读 · 2014年12月31日
国家自然科学基金
0+阅读 · 2014年12月31日
国家自然科学基金
0+阅读 · 2014年12月31日
国家自然科学基金
0+阅读 · 2013年12月31日
国家自然科学基金
1+阅读 · 2013年12月31日
国家自然科学基金
0+阅读 · 2013年12月31日
国家自然科学基金
0+阅读 · 2012年12月31日
国家自然科学基金
0+阅读 · 2009年12月31日
国家自然科学基金
0+阅读 · 2008年12月31日
Arxiv
13+阅读 · 2022年1月20日
Talking-Heads Attention
Arxiv
15+阅读 · 2020年3月5日
Arxiv
11+阅读 · 2018年1月18日
Arxiv
24+阅读 · 2017年3月9日
VIP会员
相关基金
国家自然科学基金
0+阅读 · 2015年12月31日
国家自然科学基金
2+阅读 · 2014年12月31日
国家自然科学基金
0+阅读 · 2014年12月31日
国家自然科学基金
0+阅读 · 2014年12月31日
国家自然科学基金
0+阅读 · 2013年12月31日
国家自然科学基金
1+阅读 · 2013年12月31日
国家自然科学基金
0+阅读 · 2013年12月31日
国家自然科学基金
0+阅读 · 2012年12月31日
国家自然科学基金
0+阅读 · 2009年12月31日
国家自然科学基金
0+阅读 · 2008年12月31日
Top
微信扫码咨询专知VIP会员