系列教程GNN-algorithms之二:《切比雪夫显神威—ChebyNet》

2020 年 8 月 4 日 专知

【导读】利用Chebyshev多项式拟合图卷积核应该是GCN中比较普遍的应用方法。Chebyshev多项式核主要解决了两个问题:1.经过公式推导变换不再需要特征向量的分解。2.通过Chebyshev的迭代定义降低了计算复杂度。本文将结合公式推导详细介绍基于tensorflow的ChebyNet实现。


系列教程《GNN-algorithms》


本文为系列教程《GNN-algorithms》中的内容,该系列教程不仅会深入介绍GNN的理论基础,还结合了TensorFlow GNN框架tf_geometric对各种GNN模型(GCN、GAT、GIN、SAGPool等)的实现进行了详细地介绍。本系列教程作者王有泽(https://github.com/wangyouze)也是tf_geometric框架的贡献者之一。

系列教程《GNN-algorithms》Github链接:

  • https://github.com/wangyouze/GNN-algorithms

TensorFlow GNN框架tf_geometric的Github链接:

  • https://github.com/CrawlScript/tf_geometric


前言


当GCN如日中天的时候,大部分人并不知道GCN其实是对ChebyNet的进一步简化与近似,ChebyNet与GCN都属于谱域上定义的图卷积网络。本教程将教你如何用Tensorflow构建ChebyNet模型进行节点分类任务。完整的代码可在Github中下载:

https://github.com/CrawlScript/tf_geometric/blob/master/demo/demo_chebynet.py.

ChebyNet简介


上的傅里叶变换公式我们可以得到卷积核h在图f上的卷积公式:

  • 第一代GCN中简单把中的对角线元素替换为参数,此时的GCN就变成了这个样子:

    但是这样问题很多,如:

    1. 图卷积核参数量大,参数量与图中的节点的数量相同。

    2. 卷积核是全局的。

    3. 运算过程涉及到特征分解,复杂度高。

  • 为了克服以上问题,第二代GCN进行了针对性的改进:用k阶多项式来近似卷积核:

    将其代入到:

    可以得到:

    所以第二代GCN的卷积公式是:

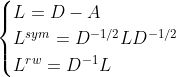
    第二代GCN直接对拉普拉斯矩阵进行变换,从而避免了特征分解这一耗时操作。

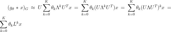
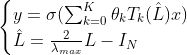
  • ChebyNet在第二代GCN的基础上用ChebyShev多项式展开对卷积核进行近似,即令:

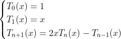
    切比雪夫多项式的递归定义:

    这样有两个好处:

    1. 卷积核的参数从原先一代GCN中的n个减少到k个,从原先的全局卷积变为现在的局部卷积,即将距离中心节点k-hop的节点作为邻居节点。

    2. 通过切比雪夫多项式的迭代定义降低了计算复杂度。

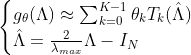
    因此切比雪夫图卷积公式变为:


对上述推导过程不清楚的人可以参考我的博客https://www.jianshu.com/p/35212baf6671

教程完整代码链接:https://github.com/CrawlScript/tf_geometric/blob/master/demo/demo_chebynet.py

论文地址:https://arxiv.org/pdf/1606.09375.pdf

教程目录


  • 开发环境

  • ChebyNet的实现

  • 模型构建

  • ChebyNet训练

  • ChebyNet评估


开发环境


  • 操作系统: Windows / Linux / Mac OS

  • Python 版本: >= 3.5

  • 依赖包:

    • tf_geometric(一个基于Tensorflow的GNN库)

根据你的环境(是否已安装TensorFlow、是否需要GPU)从下面选择一条安装命令即可一键安装所有Python依赖:

	pip install -U tf_geometric # 这会使用你自带的TensorFlow,注意你需要tensorflow/tensorflow-gpu >= 1.14.0 or >= 2.0.0b1

pip install -U tf_geometric[tf1-cpu] # 这会自动安装TensorFlow 1.x CPU版

pip install -U tf_geometric[tf1-gpu] # 这会自动安装TensorFlow 1.x GPU版

pip install -U tf_geometric[tf2-cpu] # 这会自动安装TensorFlow 2.x CPU版

pip install -U tf_geometric[tf2-gpu] # 这会自动安装TensorFlow 2.x GPU版

教程使用的核心库是tf_geometric,一个基于TensorFlow的GNN库。tf_geometric的详细教程可以在其Github主页上查询:

  • https://github.com/CrawlScript/tf_geometric

ChebyNet的实现


对图的邻接矩阵进行归一化处理得到拉普拉斯矩阵,归一化的方式有以下三种:

以及根据得到的归一化的拉普拉斯矩阵计算:

re-scaled特征值对角矩阵,将其变换到[-1,1]之间。具体实现请看chebynet_norm_edge的完整代码实现:

https://github.com/CrawlScript/tf_geometric/blob/master/tf_geometric/nn/conv/chebynet.py

num_nodes = x.shape[0]
norm_edge_index, norm_edge_weight = chebynet_norm_edge(edge_index, num_nodes, edge_weight, lambda_max, normalization_type=normalization_type)

利用切比雪夫多项式的迭代定义递推计算高阶项(节省了大量运算),最后输出模型结果,即多项式和:

    T0_x = x
T1_x = x
out = tf.matmul(T0_x, kernel[0])

if K > 1:
T1_x = aggregate_neighbors(x, norm_edge_index, norm_edge_weight, gcn_mapper, sum_reducer, identity_updater)
out += tf.matmul(T1_x, kernel[1])

for i in range(2, K):
T2_x = aggregate_neighbors(T1_x, norm_edge_index, norm_edge_weight, gcn_mapper, sum_reducer, identity_updater) ##L^T_{k-1}(L^)
T2_x = 2.0 * T2_x - T0_x
out += tf.matmul(T2_x, kernel[i])

T0_x, T1_x = T1_x, T2_x

if bias is not None:
out += bias

if activation is not None:
out += activation(out)

return out


模型的构建


  • 本教程使用的核心库是tf_geometric,我们用它来进行图数据导入、图数据预处理及图神经网络构建。ChebyNet的具体实现已经在上面详细介绍,LaplacianMaxEigenvalue(tf_geometric中已经实现了该API)用来获取拉普拉斯矩阵的最大特征值。另外我们后面会使用keras.metrics.Accuracy评估模型性能。

    import os
    os.environ["CUDA_VISIBLE_DEVICES"] = "1"import tensorflow as tfimport numpy as npfrom tensorflow import kerasfrom tf_geometric.layers.conv.chebnet import chebNetfrom tf_geometric.datasets.cora import CoraDatasetfrom tf_geometric.utils.graph_utils import LaplacianMaxEigenvaluefrom tqdm import tqdm
  • 使用tf_geometric自带的图结构数据接口加载Cora数据集

    graph, (train_index, valid_index, test_index) = CoraDataset().load_data()
  • 获取图拉普拉斯矩阵的最大特征值

    graph_lambda_max = LaplacianMaxEigenvalue(graph.x, graph.edge_index, graph.edge_weight)
  • 定义模型,引入keras.layers中的Dropout层随机关闭神经元缓解过拟合。由于Dropout层在训练和预测阶段的状态不同,为此,我们通过参数training来决定是否需要Dropout发挥作用。

    model = chebNet(64, K=3, lambda_max=graph_lambda_max()
    fc = tf.keras.Sequential([
    keras.layers.Dropout(0.5),
    keras.layers.Dense(num_classes)])


    def forward(graph, training=False):
    h = model([graph.x, graph.edge_index, graph.edge_weight])
    h = fc(h, training=training)
    return h

ChebyNet训练


模型的训练与其他基于Tensorflow框架的模型训练基本一致,主要步骤有定义优化器,计算误差与梯度,反向传播等。在每一个step上分别计算验证集和测试集上的准确率。

optimizer = tf.keras.optimizers.Adam(learning_rate=1e-2)

best_test_acc = tmp_valid_acc = 0
for step in tqdm(range(1, 101)):
with tf.GradientTape() as tape:
logits = forward(graph, training=True)
loss = compute_loss(logits, train_index, tape.watched_variables())

vars = tape.watched_variables()
grads = tape.gradient(loss, vars)
optimizer.apply_gradients(zip(grads, vars))

valid_acc = evaluate(valid_index)
test_acc = evaluate(test_index)
if test_acc > best_test_acc:
best_test_acc = test_acc
tmp_valid_acc = valid_acc
print("step = {}\tloss = {}\tvalid_acc = {}\tbest_test_acc = {}".format(step, loss, tmp_valid_acc, best_test_acc))
  • 用交叉熵损失函数计算模型损失。注意在加载Cora数据集的时候,返回值是整个图数据以及相应的train_mask,valid_mask,test_mask。ChebyNet在训练的时候的输入时整个Graph,在计算损失的时候通过train_mask来计算模型在训练集上的迭代损失。因此,此时传入的mask_index是train_index。由于是多分类任务,需要将节点的标签转换为one-hot向量以便于模型输出的结果维度对应。由于图神经模型在小数据集上很容易就会疯狂拟合数据,所以这里用L2正则化缓解过拟合。

    def compute_loss(logits, mask_index, vars):
    masked_logits = tf.gather(logits, mask_index)
    masked_labels = tf.gather(graph.y, mask_index)
    losses = tf.nn.softmax_cross_entropy_with_logits(
    logits=masked_logits,
    labels=tf.one_hot(masked_labels, depth=num_classes)
    )

    kernel_vals = [var for var in vars if "kernel" in var.name]
    l2_losses = [tf.nn.l2_loss(kernel_var) for kernel_var in kernel_vals]

    return tf.reduce_mean(losses) + tf.add_n(l2_losses) * 5e-4

ChebyNet的评估


在评估模型性能的时候我们只需传入valid_mask或者test_mask,通过tf.gather函数就可以拿出验证集或测试集在模型上的预测结果与真实标签,用keras自带的keras.metrics.Accuracy计算准确率。

def evaluate(mask):
logits = forward(graph)
logits = tf.nn.log_softmax(logits, axis=-1)
masked_logits = tf.gather(logits, mask)
masked_labels = tf.gather(graph.y, mask)

y_pred = tf.argmax(masked_logits, axis=-1, output_type=tf.int32)

accuracy_m = keras.metrics.Accuracy()
accuracy_m.update_state(masked_labels, y_pred)
return accuracy_m.result().numpy()

运行结果



0%| | 0/100 [00:00<?, ?it/s]step = 1 loss = 1.9817407131195068 valid_acc = 0.7139999866485596 best_test_acc = 0.7089999914169312
2%|▏ | 2/100 [00:01<00:55, 1.76it/s]step = 2 loss = 1.6069653034210205 valid_acc = 0.75 best_test_acc = 0.7409999966621399
step = 3 loss = 1.2625869512557983 valid_acc = 0.7720000147819519 best_test_acc = 0.7699999809265137
4%|▍ | 4/100 [00:01<00:48, 1.98it/s]step = 4 loss = 0.9443040490150452 valid_acc = 0.7760000228881836 best_test_acc = 0.7749999761581421
5%|▌ | 5/100 [00:02<00:46, 2.06it/s]step = 5 loss = 0.7023431062698364 valid_acc = 0.7760000228881836 best_test_acc = 0.7770000100135803
...
96 loss = 0.0799005851149559 valid_acc = 0.7940000295639038 best_test_acc = 0.8080000281333923
96%|█████████▌| 96/100 [00:43<00:01, 2.31it/s]step = 97 loss = 0.0768655389547348 valid_acc = 0.7940000295639038 best_test_acc = 0.8080000281333923
97%|█████████▋| 97/100 [00:43<00:01, 2.33it/s]step = 98 loss = 0.0834992527961731 valid_acc = 0.7940000295639038 best_test_acc = 0.8080000281333923
99%|█████████▉| 99/100 [00:44<00:00, 2.34it/s]step = 99 loss = 0.07315651327371597 valid_acc = 0.7940000295639038 best_test_acc = 0.8080000281333923
100%|██████████| 100/100 [00:44<00:00, 2.23it/s]
step = 100 loss = 0.07698118686676025 valid_acc = 0.7940000295639038 best_test_acc = 0.8080000281333923

完整代码

教程中的完整代码链接:

  • demo_chebynet.py:https://github.com/CrawlScript/tf_geometric/blob/master/demo/demo_chebynet.py


本教程(属于系列教程《GNN-algorithms》)Github链接:

  • https://github.com/wangyouze/GNN-algorithms


专知便捷查看

便捷下载,请关注专知公众号(点击上方蓝色专知关注)

  • 后台回复“GNNWYZ” 可以获取《《图卷积网络(GCN)的前世今生》》专知下载链接索引

专 · 知
专知,专业可信的人工智能知识分发,让认知协作更快更好!欢迎注册登录专知www.zhuanzhi.ai,获取5000+AI主题干货知识资料!
欢迎微信扫一扫加入专知人工智能知识星球群,获取最新AI专业干货知识教程视频资料和与专家交流咨询
登录查看更多
46

相关内容

系列教程GNN-algorithms之七:《图同构网络—GIN》
专知会员服务
48+阅读 · 2020年8月9日
系列教程GNN-algorithms之六:《多核卷积拓扑图—TAGCN》
专知会员服务
50+阅读 · 2020年8月8日
一份简单《图神经网络》教程,28页ppt
专知会员服务
127+阅读 · 2020年8月2日
【CVPR2020】L2 ^GCN:图卷积网络的分层学习高效训练
专知会员服务
40+阅读 · 2020年3月31日
【GNN】图神经网络入门之GRN图循环网络
深度学习自然语言处理
17+阅读 · 2020年5月9日
图神经网络三剑客:GCN、GAT与GraphSAGE
PaperWeekly
65+阅读 · 2020年2月27日
PyTorch & PyTorch Geometric图神经网络(GNN)实战
专知
81+阅读 · 2019年6月1日
图卷积网络介绍及进展【附PPT与视频资料】
人工智能前沿讲习班
24+阅读 · 2019年1月3日
深度学习系列之二:卷积神经网络 | 公开课
AI研习社
3+阅读 · 2017年11月24日
图注意力网络
科技创新与创业
35+阅读 · 2017年11月22日
基于注意力机制的图卷积网络
科技创新与创业
74+阅读 · 2017年11月8日
Arxiv
19+阅读 · 2020年7月13日
OD-GCN: Object Detection by Knowledge Graph with GCN
Arxiv
4+阅读 · 2019年9月30日
Geometric Graph Convolutional Neural Networks
Arxiv
10+阅读 · 2019年9月11日
Arxiv
16+阅读 · 2019年4月4日
Arxiv
8+阅读 · 2018年2月23日
Arxiv
3+阅读 · 2018年2月11日
VIP会员
相关VIP内容
相关资讯
【GNN】图神经网络入门之GRN图循环网络
深度学习自然语言处理
17+阅读 · 2020年5月9日
图神经网络三剑客:GCN、GAT与GraphSAGE
PaperWeekly
65+阅读 · 2020年2月27日
PyTorch & PyTorch Geometric图神经网络(GNN)实战
专知
81+阅读 · 2019年6月1日
图卷积网络介绍及进展【附PPT与视频资料】
人工智能前沿讲习班
24+阅读 · 2019年1月3日
深度学习系列之二:卷积神经网络 | 公开课
AI研习社
3+阅读 · 2017年11月24日
图注意力网络
科技创新与创业
35+阅读 · 2017年11月22日
基于注意力机制的图卷积网络
科技创新与创业
74+阅读 · 2017年11月8日
Top
微信扫码咨询专知VIP会员