Transformer在深度推荐系统中的应用及2019最新进展

2019 年 12 月 13 日 AINLP

者:Alex-zhai

源:https://zhuanlan.zhihu.com/

p/85825460

整理:深度传送门


最近基于Transformer的一些NLP模型很火(比如BERT,GPT-2等),因此将Transformer模型引入到推荐算法中是近期的一个潮流。Transformer比起传统的LSTM、GRU等模型,可以更好地建模用户的行为序列。本文主要整理Transformer在推荐模型中的一些应用以及在2019年的最新进展。


Self-Attentive Sequential Recommendation, ICDM 2018


模型结构


问题定义:模型输入是用户 u 的一个历史交互序列:  , 其期望的输出是该交互序列一个时间刻的偏移:  。


Embedding层


将输入序列  转化成固定长度的序列  。意思是如果序列长度超过n,则使用最近n个行为。如果不足n,则从左侧做padding直到长度为n。


位置embedding:因为self-attention并不包含RNN或CNN模块,因此它不能感知到之前item的位置。本文输入embedding中也结合了位置Embedding P信息,并且位置embedding是可学习的。


Self-Attention层


Transformer中Attention的定义为:


本文中,self-attention以embedding层的输出作为输入,通过线性投影将它转为3个矩阵,然后输入attention层:


为了避免在预测i时刻的item时用到后续时刻的信息,本文将符合(j > i)条件的  与  之间的连接forbidding掉,这是因为self-attention每个时刻的输出会包含所有时刻的信息。


Point-wise前馈网络


尽管self-attention能够用自适应权重并且聚焦之前所有的item,但最终它仍是个线性模型。可用一个两层的point-wise前馈网络去增加非线性同时考虑不同隐式维度之间的交互:


预测层


最后采用MF层来预测相关的item i:

其中  是给定t个item,下一个item i的相关性。N是item embedding矩阵。为了减少模型尺寸及避免过拟合,共用一个item embedding。


显式用户建模


为了提供个性化推荐,当前主要有两种方法:学习显式的用户embedding表示用户偏好(MF,FPMC,Caser);考虑用户之前的行为,通过访问过的item的embedding推测隐式的用户embedding。本文采用第二种方式,同时额外在最后一层插入显式用户embedding  ,例如通过加法实现:


但是通过实验发现增加显式用户embedding并没有提升效果。


Next Item Recommendation with Self-Attention, 2018


模型结构


本文亮点是同时建模用户短期兴趣(由self-attention结构提取)和用户长期兴趣

短期兴趣


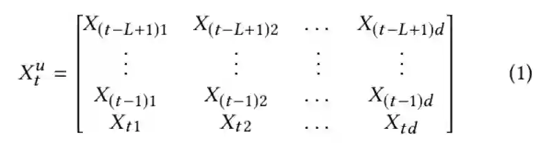
其短期兴趣建模过程如下:假定使用用户最近的 L 条行为记录来计算短期兴趣。可使用X表示整个物品集合的embedding,那么,用户 u 在 t 时刻的前 L 条交互记录所对应的embedding表示如下:


其中每个item的embedding维度为d,将  作为transformer中一个block的输入。


这里需要注意和传统transformer的不同点:

  • 计算softmax前先掩掉  矩阵的对角线值,因为对角线其实是item与本身的一个内积值,容易给该位置分配过大的权重。

  • 没有将输入  乘以  得到  ,而是直接将输入乘以softmax算出来的score。

  • 直接将embedding在序列维度求平均,作为用户短期兴趣向量。


长期兴趣


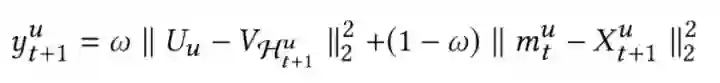
self-attention模块只使用用户最近的L个交互商品作为用户短期的兴趣。那么怎么建模用户的长期兴趣呢?可认为用户和物品同属于一个兴趣空间,用户的长期兴趣可表示成空间中的一个向量,而某物品也可表示为成该兴趣空间中的一个向量。那如果一个用户对一个物品的评分比较高,说明这两个兴趣是相近的,那么它们对应的向量在兴趣空间中距离就应该较近。这个距离可用平方距离表示。


综合短期兴趣和长期兴趣,可得到用户对于某个物品的推荐分,推荐分越低,代表用户和物品越相近,用户越可能与该物品进行交互:


模型采用pair-wise的方法训练,即输入一个正例和一个负例,希望负例的得分至少比正例高γ,否则就发生损失,并在损失函数加入L2正则项:


BERT4Rec: Sequential Recommendation with Bidirectional Encoder Representations from Transformer, CIKM 2019


模型架构


显而易见,本文的亮点是结合使用预训练的BERT模型。


Embedding Layer


模型的输入是用户历史交互序列,对交互序列中的每一个物品 i,其Embedding包含两部分,一部分是物品的Embedding,用vi表示;另一部分是位置信息的Embedding,用 pi 表示。这里的pi是可学习的


Transformer Layer


主要包括Multi-Head Self-Attention层和Position-Wise Feed-Forward Network,其中Multi-Head Self-Attention计算过程如下:

Stacking Transformer Layer使用了类似于resnet的skip连接结构。


模型训练


因为在BERT4Rec中,输入历史序列[v1, v2, ..., vt-1],输出的是包含上下文信息的向量[h1, h2, ..., ht-1],这里每个向量ht都包含了整个序列的信息。如果要预测用户t时刻的交互物品vt,如果直接把 vt 作为输入,那么其余每个物品在Transformer Layer中会看到目标物品vt的信息,造成一定程度的信息泄漏。


因此可把对应位置的输入变成[mask]标记。打标记的方式和BERT一样,随机把输入序列的一部分遮盖住,然后让模型来预测这部分对应的商品:


Behavior Sequence Transformer for E-commerce Recommendation in Alibaba, 2019


模型结构


问题建模:给定一个用户u的行为序列:S(u) = {v1, v2, ..., vn },学习一个函数F用于预测用户 u 点击item vt的概率。



Transformer layer


对于每个item抽取了一个更深层次的representation,用于捕捉该item和历史行为序列中的其他item的关系。


DIN、DIEN、DSIN和本文BST模型的区别和联系


1. DIN模型使用注意力机制来捕获目标商品与用户先前行为序列中商品之间的相似性,但是未考虑用户行为序列背后的序列性质,并且未捕捉用户兴趣的动态变化性。


2. DIEN主要解决DIN无法捕捉用户兴趣的动态变化性的缺点,提出了兴趣抽取层Interest Extractor Layer、兴趣进化层Interest Evolution Layer。


3. DSIN针对DIN和DIEN没考虑用户历史行为中的会话信息,因为在每个会话中的行为是相近的,而在不同会话之间差别是很大的。DSIN主要是在session层面上来利用用户的历史行为序列信息。


4. BST模型通过Transformer模型来捕捉用户历史序列中各个item的关联特征,并且通过加入待推荐的商品item,也可抽取出行为序列中商品与待推荐商品之间的相关性。


延伸阅读


除了上面介绍了的这几篇Transformer应用在推荐的论文,其实今年还有更多的相关的工作列在了下面的参考文献列表中。更多最前沿的推荐广告方面的论文分享请移步如下的GitHub项目进行学习交流、star以及fork,后续仓库会持续更新最新论文。

https://github.com/imsheridan/DeepRec


1. [AutoInt][CIKM 19] AutoInt_Automatic Feature Interaction Learning via Self-Attentive Neural Networks

2. [PRM][RecSys 19][Alibaba] Personalized Re-ranking for Recommendation

3. [SDM][CIKM 19][Alibaba] Sequential Deep Matching Model for Online Large-scale Recommender System

4. 深度推荐系统之序列化建模2019最新进展

5. 淘宝推荐系统中的深度序列匹配模型SDM

6. 深度CTR预估模型的演化之路2019最新进展




本文转载自公众号:深度传送门,作者:Alex-zhai


推荐阅读


动手学深度学习 + TF2.0开源项目,不容错过


神奇的Embedding


当BERT遇上知识图谱


深度学习中不得不学的Graph Embedding方法


Google工业风最新论文, Youtube提出双塔结构流式模型进行大规模推荐


征稿启示| 让更多的NLPer看到你的文章


我们建了一个免费的知识星球:AINLP芝麻街,欢迎来玩,期待一个高质量的NLP问答社区


AINLP-DBC GPU 云服务器租用平台建立,价格足够便宜


关于AINLP


AINLP 是一个有趣有AI的自然语言处理社区,专注于 AI、NLP、机器学习、深度学习、推荐算法等相关技术的分享,主题包括文本摘要、智能问答、聊天机器人、机器翻译、自动生成、知识图谱、预训练模型、推荐系统、计算广告、招聘信息、求职经验分享等,欢迎关注!加技术交流群请添加AINLP君微信(id:AINLP2),备注工作/研究方向+加群目的。


登录查看更多
0

相关内容

近期必读的5篇顶会WWW2020【推荐系统】相关论文-Part2
专知会员服务
70+阅读 · 2020年4月7日
Transformer文本分类代码
专知会员服务
118+阅读 · 2020年2月3日
专知会员服务
88+阅读 · 2020年1月20日
BERT进展2019四篇必读论文
专知会员服务
70+阅读 · 2020年1月2日
【论文解读】“推荐系统”加上“图神经网络”
深度学习自然语言处理
16+阅读 · 2020年3月31日
推荐召回算法之深度召回模型串讲
AINLP
22+阅读 · 2019年6月14日
近期必读的12篇「推荐系统」相关论文
PaperWeekly
33+阅读 · 2019年3月7日
深度学习在推荐系统上的应用
AI研习社
7+阅读 · 2018年1月24日
端对端的深度卷积神经网络在语音识别中的应用
深度学习每日摘要
6+阅读 · 2017年7月18日
自然语言处理技术(NLP)在推荐系统中的应用
CSDN大数据
4+阅读 · 2017年6月29日
Heterogeneous Graph Transformer
Arxiv
27+阅读 · 2020年3月3日
Arxiv
15+阅读 · 2019年9月11日
Universal Transformers
Arxiv
5+阅读 · 2019年3月5日
Music Transformer
Arxiv
5+阅读 · 2018年12月12日
Next Item Recommendation with Self-Attention
Arxiv
5+阅读 · 2018年8月25日
Arxiv
6+阅读 · 2018年5月18日
Arxiv
9+阅读 · 2018年1月30日
VIP会员
相关资讯
【论文解读】“推荐系统”加上“图神经网络”
深度学习自然语言处理
16+阅读 · 2020年3月31日
推荐召回算法之深度召回模型串讲
AINLP
22+阅读 · 2019年6月14日
近期必读的12篇「推荐系统」相关论文
PaperWeekly
33+阅读 · 2019年3月7日
深度学习在推荐系统上的应用
AI研习社
7+阅读 · 2018年1月24日
端对端的深度卷积神经网络在语音识别中的应用
深度学习每日摘要
6+阅读 · 2017年7月18日
自然语言处理技术(NLP)在推荐系统中的应用
CSDN大数据
4+阅读 · 2017年6月29日
相关论文
Heterogeneous Graph Transformer
Arxiv
27+阅读 · 2020年3月3日
Arxiv
15+阅读 · 2019年9月11日
Universal Transformers
Arxiv
5+阅读 · 2019年3月5日
Music Transformer
Arxiv
5+阅读 · 2018年12月12日
Next Item Recommendation with Self-Attention
Arxiv
5+阅读 · 2018年8月25日
Arxiv
6+阅读 · 2018年5月18日
Arxiv
9+阅读 · 2018年1月30日
Top
微信扫码咨询专知VIP会员