ICLR 2020 | 告别死记硬背,元学习才能学会学习

2020 年 4 月 16 日 AI科技评论
作者  | 殷明章
编辑 | 丛末
本文介绍的是 ICLR 2020 spotlight 论文《Meta-Learning without Memorization》(无记忆的元学习),来自德克萨斯大学奥斯汀分校在读博士生殷明章。

论文: https://openreview.net/pdf?id=BklEFpEYwS

代码: https://github.com/google-research/google-research/tree/master/meta_learning_without_memorization



让我们回顾片刻在学校学习的经历。每一天我们去上课,回答老师的问题;回家后我们解答作业问题,对照答案检查正确与否。日积月累,我们不仅学到了知识,更学会了如何学习 (learning to learn)。当面对新任务时,我们可以利用之前解决问题的经验并加上少量的练习,迅速学会新的技能。这种 “快速适应 (fast adaptation)” 能力被认为是智能的重要体现。在人工智能领域,元学习 (meta-learning) 是一种使机器 “学会学习” 的有效手段。

在这篇论文里,我们发现一个表征能力强大的人工神经网络除了 “快速适应” 外,还可以通过 “记忆” 的方式来解决训练集里的多项任务。不幸的是,一个只会记忆的神经网络不具备解决新任务的能力。这篇论文旨在提出、定义、分析元学习中的记忆问题,并提出新的元正则化方法 (meta-regularization) 以避免记忆问题。


1


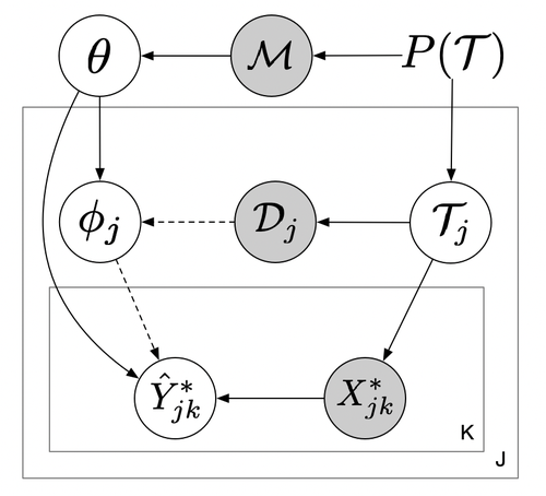
元学习的图模型
要训练一个元学习模型,首先需要从一个任务分布  中生成多个任务。每个任务都由一个带标注的任务内训练数据  和测试数据 组成。我们用  代表所有用于元训练(meta-training)的数据, 代表一个元测试阶段的新任务。
我们在  上训练模型, 目标是当面对新任务时,它能够在少量训练数据 上实现快速适应,从而准确预测新任务测试数据 的标签。这个过程可以表示为一个层次型的图模型:

2


记忆问题 
回到开头的例子, 假设在学校每天学习的内容是解决一种题型,这对应于元训练里的一个任务。经过一段时间后,假设每种题型都被重复学习了若干次。如果一个学生可以记住各个题型,那么她/他将不需要再去上课也可以解决作业里的问题。也就是说她/他可以解决已知题型里的新问题,但这样的纯粹记忆并不能解决新的题型。让我们再看一个例子,假设每一个元训练里的任务是拟合一些线性相关的数据。我们希望模型能够学会利用少量的数据去估计模型参数,如下图所示:


这种快速适应能力可以泛化到解决元测试中的未曾见过的新任务,如下图(左)。但我们发现,如果模型足够灵活,那么一个单一模型就可以解决元训练中的所有任务,并且忽略任何任务内训练数据,如下图(右)。这导致在元测试阶段,当面对一个新任务时,算法仍然会忽略任务内训练数据,但这样做将无法解决新任务

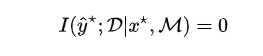
我们将这样的现象定义为元学习中的记忆问题 (memorization problem),数学上表述为条件互信息为零:

也就是说预测值和任务内训练数据是条件独立的。
值得注意的是记忆问题是否会出现与任务分布 紧密相关。我们发现,如果各任务是互斥的(mutually exclusive),意即一个单一预测模型不可以解决所有的任务,那么记忆问题不会出现。例如小样本分类(few-shot classification)广泛地利用了这个特性。但在很大一类问题中,各任务不互斥,因此记忆问题广泛存在,并会影响多种元学习算法。
3


元正则化
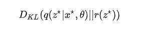
基于以上分析和图表式,我们发现用于预测模型的信息来自元训练数据 , 任务内训练数据和输入 。因此如果能够控制来自的信息,同时要求实现精确预测,就可以鼓励模型利用中的信息而不是忽略它。利用信息不等式和PAC-Bayes理论,我们得出一种方式是利用信息瓶颈(information bottleneck)约束:

另一种方式是约束

其中 对应编码器 (encoder):   的参数。将以上元正则项 (Meta Regularization)和Model Agnostic Meta-Learning (MAML),Conditional Neural Process (CNP) 相结合, 我们提出了新的 “MAML先生” (MR MAML) 和 “CNP先生” (MR CNP) 算法。在几个非互斥任务的数据集上,我们的算法实现了大幅度的性能提升。在一个3D物体方向预测数据集上我们进行了实验:


我们也在非互斥的少样本分类数据上进行了实验:


4


结论
  • 记忆问题广泛存在于元学习问题和元学习算法中
  • 记忆问题是一种任务层面的过拟合,这不同于传统上数据点层面的过拟合
  • 通过元正则方法我们有效地控制了记忆问题,并拓展了元学习的应用场景
感谢 George Tucker,Mingyuan Zhou,Sergey Levine和Chelsea Finn的合作。


ICLR 2020 系列论文解读

0、ICLR 2020 会议动态报道


疫情严重,ICLR2020 将举办虚拟会议,非洲首次 AI 国际顶会就此泡汤

疫情影响,ICLR 突然改为线上模式,2020年将成为顶会变革之年吗?

火爆的图机器学习,ICLR 2020上有哪些研究趋势?


1、直播


回放 | 华为诺亚方舟ICLR满分论文:基于强化学习的因果发现



2、Oral
01. Oral | 一种镜像生成式机器翻译模型:MGNMT
02. Oral | 额外高斯先验目标,缓解负多样性无知
03. Oral | 引入额外门控运算,LSTM稍做修改,性能便堪比Transformer-XL
04. Oral | 并行蒙卡树搜索,性能无损,线性加速,勇闯「消消乐」1000关!
05. Oral | 元强化学习迎来一盆冷水: 不比元Q学习好多少
06. Oral | 用群卷积建立深度、等变的胶囊网络
07. Oral | 谷歌推出分布式强化学习框架SEED,性能“完爆”IMPALA,可扩展数千台机器,还很便宜
08. Oral | Reformer ,一种高效的Transformer
09. Oral | 基于值函数的规划和强化学习的控制架构(视频直播)

3、Spotlight
01. Spotlight | 模型参数这么多,泛化能力为什么还能这么强?
02. Spotlight | 公平与精确同样重要!CMU提出学习公平表征方法,实现算法公平

03. Spotlight | 组合泛化能力太差?用深度学习融合组合求解器试试

04. Spotlight | 加速NAS,仅用0.1秒完成搜索

05. Spotlight | 华盛顿大学:图像分类中对可实现攻击的防御(视频解读)

06. Spotlight | 超越传统,基于图神经网络的归纳矩阵补全

07. Spotlight | 受启诺奖研究,利用格网细胞学习多尺度表达(视频解读)


4、Poster

01. Poster | 华为诺亚:巧妙思想,NAS与「对抗」结合,速率提高11倍

02. Poster | 抛开卷积,多头自注意力能够表达任何卷积操作
03. Poster | NAS 太难了,搜索结果堪比随机采样!华为给出 6 条建议
04.  Poster | 清华提 NExT 框架,用「神经元执行树」学习可解释性
05. Poster | 谷歌最新研究:用“复合散度”量化模型合成泛化能力
06. Poster | 完胜 BERT,谷歌最佳 NLP 预训练模型开源,单卡训练仅需 4 天
07. Poster |  FSNet:利用卷积核概要进行深度卷积神经网络的压缩
08. Poster | "同步平均教学"框架为无监督学习提供更鲁棒的伪标签
09. Poster | 快速神经网络自适应技术



点击“ 阅读原文” 查看 ICLR 系列论文解读
登录查看更多
0

相关内容

Meta Learning,元学习,也叫 Learning to Learn(学会学习)。是继Reinforcement Learning(增强学习)之后又一个重要的研究分支。

知识荟萃

精品入门和进阶教程、论文和代码整理等

更多

查看相关VIP内容、论文、资讯等
元学习与图神经网络逻辑推导,55页ppt
专知会员服务
130+阅读 · 2020年4月25日
专知会员服务
88+阅读 · 2020年1月20日
【论文】欺骗学习(Learning by Cheating)
专知会员服务
28+阅读 · 2020年1月3日
【斯坦福大学Chelsea Finn-NeurIPS 2019】贝叶斯元学习
专知会员服务
38+阅读 · 2019年12月17日
机器也能学会如何学习?——元学习介绍
AINLP
19+阅读 · 2019年9月22日
Meta-Learning 元学习:学会快速学习
专知
24+阅读 · 2018年12月8日
入门 | 从零开始,了解元学习
机器之心
17+阅读 · 2018年5月6日
OpenAI提出Reptile:可扩展的元学习算法
深度学习世界
7+阅读 · 2018年3月9日
已删除
将门创投
8+阅读 · 2017年7月21日
Arxiv
38+阅读 · 2020年3月10日
Meta-Learning with Implicit Gradients
Arxiv
13+阅读 · 2019年9月10日
Arxiv
9+阅读 · 2019年4月19日
Few-shot Adaptive Faster R-CNN
Arxiv
3+阅读 · 2019年3月22日
Arxiv
13+阅读 · 2019年1月26日
Arxiv
5+阅读 · 2018年6月12日
Arxiv
7+阅读 · 2018年6月8日
Arxiv
9+阅读 · 2018年3月28日
VIP会员
相关VIP内容
元学习与图神经网络逻辑推导,55页ppt
专知会员服务
130+阅读 · 2020年4月25日
专知会员服务
88+阅读 · 2020年1月20日
【论文】欺骗学习(Learning by Cheating)
专知会员服务
28+阅读 · 2020年1月3日
【斯坦福大学Chelsea Finn-NeurIPS 2019】贝叶斯元学习
专知会员服务
38+阅读 · 2019年12月17日
相关资讯
机器也能学会如何学习?——元学习介绍
AINLP
19+阅读 · 2019年9月22日
Meta-Learning 元学习:学会快速学习
专知
24+阅读 · 2018年12月8日
入门 | 从零开始,了解元学习
机器之心
17+阅读 · 2018年5月6日
OpenAI提出Reptile:可扩展的元学习算法
深度学习世界
7+阅读 · 2018年3月9日
已删除
将门创投
8+阅读 · 2017年7月21日
相关论文
Arxiv
38+阅读 · 2020年3月10日
Meta-Learning with Implicit Gradients
Arxiv
13+阅读 · 2019年9月10日
Arxiv
9+阅读 · 2019年4月19日
Few-shot Adaptive Faster R-CNN
Arxiv
3+阅读 · 2019年3月22日
Arxiv
13+阅读 · 2019年1月26日
Arxiv
5+阅读 · 2018年6月12日
Arxiv
7+阅读 · 2018年6月8日
Arxiv
9+阅读 · 2018年3月28日
Top
微信扫码咨询专知VIP会员