最新综述:图像分类中的对抗机器学习

2020 年 10 月 29 日 PaperWeekly


©PaperWeekly 原创 · 作者|孙裕道

学校|北京邮电大学博士生

研究方向|GAN图像生成、人脸对抗样本生成



论文标题:
Adversarial Machine Learning in Image Classification


论文链接:
https://arxiv.org/abs/2009.03728


引言

最近百度自动驾驶出租车 Apollo GO 服务在北京全面开放,可见 AI 的各类应用在我们的日常生活中的渗透的广度和深度。需要提高警惕的是根植于深度神经网络模型的一个安全 bug(对样样本)也会随着各类 AI 应用的广泛铺展增多起来,自然对对抗攻击的防御性手段需要格外重视。

在该论文中,作者旨在为所有读者从防御者的角度上提供一个关于对抗机器学习在图像分类中的最新研究进展,并且作者对现有的对抗攻击和对抗防御的方法以及对抗样本产生的原因进行了分类和整理,非常全面值得一读。


论文贡献

该论文的贡献可以归结为如下五点,分别如下所示:
  • 更新一些现有的分类方法法,以便对不同类型的对抗样本进行分类
  • 基于新分类法的对抗攻击防御的机进总结和分析
  • 将现有关于对抗样本存在原因的文献进行汇总
  • 提出了一些在设计和评估防御措施时应遵循的重要指导原则
  • 对该领域未来研究方向的进行了探讨


卷积神经网络简介

CNN 体系结构通常通过使用卷积层和池化层来执行特征学习,这些层分别从图像中提取有用的特征并降低其空间维数。在特征学习之后会连接全连接层。在分类任务中,会输出一个概率向量进行分类。如下图描述了一个 CNN 的标准架构示例。



计算机视觉领域的一项重要竞赛被称为 ILSVRC(ImageNet 大规模视觉识别挑战赛),鼓励人们创建分类准确率更高的 CNN 架构。下图所示显示了 ILSVRC 挑战中的一些脱颖而出的 CNN 框架,分别是 AlexNet、ZFNet、VGGNet、GoogLeNet、ResNet、Trimpsnet2 和 SENet。并且自 2015 年以来,CNNs 已经超越了人类的表现。


对抗样本和对抗攻击

4.1 对抗攻击分类

对抗攻击的分类可以按照三个方面进行划分,分别是对抗扰动的扰动范围对抗扰动的可见性对抗扰动的测量方法

4.1.1 对抗扰动范围

对抗样本按照对抗扰动范围可能分为单个范围扰动通用范围扰动
  • 单个范围扰动:单个范围的扰动在文献中是最常见的,是针对于每一张输入图像进行对抗攻击。

  • 通用范围扰动:通用范围扰动是图像无关的扰动,即它们是独立于任何输入样本而产生的扰动。然而,当它们被应用于一个合法的图像时,由此产生的对抗性示例通常会导致模型错误分类。通用扰动允许在实词场景中更容易进行对抗性攻击,因为这些扰动只需精心设计一次就可以插入到属于某个数据集的任何样本中。

4.1.2 对抗扰动的可见性

对抗样本按照对抗扰动的可见性可以分为最优扰动不可分辨的扰动可见扰动物理扰动愚弄噪声普通噪声
  • 最优扰动:这些扰动对人眼来说是不可察觉的,但有助于导致深度学习模型的错误分类,通常对预测具有很高的可信度;

  • 不可分辨的扰动:无法区分的扰动对人眼来说也是无法察觉的,但它们不足以愚弄深度学习模型;

  • 可见扰动:当插入到图像中时,可以愚弄深度学习模型的扰动。然而,它们也很容易被人类发现;

  • 物理扰动:扰动是否设计在像素范围之外,并实际添加到现实世界中的对象本身。尽管有些研究已经将物理扰动应用于图像分类,但它们通常都是针对涉及目标检测的任务。

  • 愚弄噪声:使图像腐化到人类无法辨认的程度的扰动。然而,分类模型认为这些损坏的图像属于原始分类问题的一类,有时赋予它们对预测的高置信度。

  • 普通噪声:与扰动的恶意性质不同,噪声是非恶意的或非最优的破坏,可能存在于输入图像中或插入到输入图像中。噪声的一个例子是高斯噪声。

4.1.3 对抗扰动的测量

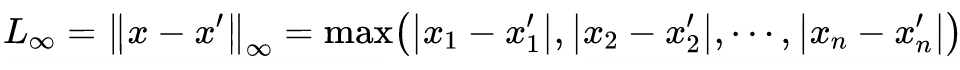
考虑到很难定义一个度量人类视觉能力的度量标准,p 范数最常用于测量插入到图像中的扰动的大小和数量。p 范数计算干净图像 与产生的对抗性样本 之间的输入空间中的距离 ,其中 ,具体距离计算公式如下所示:

的时候,p 范数表示的是曼哈顿距离;当 时候表示的是欧几里德距离;当 时,计算干净样本中修改的像素数,以生成对抗样本。 度量两幅图像对应位置上所有像素之间的最大差值,其中 的计算公式为:

4.2 对抗攻击的分类

在安全的背景下,对抗性攻击和攻击者被归为威胁模型。威胁模型定义了防御设计的条件,在这种情况下,防御系统能够为特定类型的攻击和攻击者提供安全保障。

根据攻击者对目标分类器的知识(例如其参数和体系结构)和对抗攻击的目标,以及如何执行对抗性攻击可以将威胁模型可以分为以下几个方面分别是攻击者的影响攻击者的知识安全侵犯攻击特异性攻击方法

4.2.1 攻击者的影响力

攻击者的影响力表示的是攻击者控制深度学习模型力度。考虑到对分类模型的影响,攻击者可以执行两种类型的攻击分别是中毒攻击逃避或试探性攻击
  • 中毒攻击:在中毒攻击中,攻击者在训练阶段会对深度学习模型产生影响。在这种类型的攻击中,训练样本被破坏或训练集被攻击者污染,以产生与原始数据分布不相容的分类模型;

  • 规避或试探性攻击:与中毒攻击相比,在试探性攻击中,攻击者在推理或测试阶段对深层学习模型产生影响。规避攻击是最常见的攻击类型,攻击者会精心设计对抗样本,导致深度学习模型错误分类,通常对预测具有较高的可信度。规避攻击还具有探索性,攻击者的目标是收集有关目标模型的信息,例如其参数、体系结构、损失函数等。最常见的探索性攻击是输入/输出攻击,攻击者向目标模型提供由其生成的对抗样本。然后,攻击者观察模型给出的输出,并尝试重新生成一个替代或代理模型,以便可以模仿目标模型。输入/输出攻击通常是执行黑盒攻击的第一步。

4.2.2 攻击者的知识

考虑到攻击者对目标模型的知识,可以进行三种类型的攻击分别是白盒攻击黑盒攻击灰盒攻击
  • 白盒攻击:攻击者可以完全访问模型甚至防御的参数和架构。由于采取了保护措施(例如,用户控制),以防止未经授权的人员访问系统组件,这种攻击场景在真实应用程序中可能是最不常见的。相比之下,白盒攻击通常是最强大的对抗攻击类型,因此,通常用于评估防御和/或分类模型在恶劣条件下的鲁棒性。

  • 黑盒攻击:攻击者既不能访问也不知道有关分类模型和防御方法的任何信息。黑盒攻击对攻击者施加了更多的限制,尽管如此,当针对部署的模型再现外部对抗性攻击时,黑盒攻击非常重要,而部署模型又能更好地代表真实世界的场景。尽管黑盒攻击的执行难度更大,但由于对抗样本的可转移性,攻击者仍然可以避开目标模型。利用这一特性,攻击者可以通过一个称为替代或代理模型的因果攻击创建一个经验模型,该模型的参数与目标模型的参数相似。

  • 灰盒攻击:在灰盒攻击中,攻击者可以访问分类模型,但不能访问任何有关防御方法的信息。灰盒攻击是评估防御和分类器的一种中间选择,因为与黑盒攻击相比,灰盒攻击施加了更大的威胁级别,但在向攻击者提供有关防御方法的所有信息时(如在白盒场景中执行的),灰盒攻击不会给攻击者带来很大的优势。

4.2.3 安全入侵

当对分类器执行对抗攻击时,安全侵犯通常与攻击者的目标相关联,并会影响目标分类器的完整性可用性隐私
  • 完整性入侵:这是对抗攻击最常见的侵犯行为,当由某个攻击者生成的对抗样本能够绕过现有的防御对策并导致目标模型错误分类,但不会损害系统的功能时,完整性会受到影响;

  • 可用性入侵:当系统功能受到破坏时,从而导致拒绝服务时发生。可用性入侵主要通过提高预测的不确定性来影响学习系统的可靠性;

  • 隐私入侵:当攻击者能够访问有关目标模型的相关信息时发生,例如其参数、体系结构和使用的学习算法。深度学习中的隐私侵犯与黑盒攻击密切相关,在黑盒攻击中,攻击者查询目标模型,以便对其进行反向工程,并生成一个代理模型,从而对对抗样本更接近原始数据分布。

4.2.4 攻击的特异性

攻击者可以执行有目标的攻击和无目标攻击。有目标攻击的目的是生成的对抗样本可以引导模型将其错误地分类到攻击者预先选择的预定类中。另一方面,在非目标攻击中,攻击者只是通过瞄准与原始示例对应的合法类不同的任何类来欺骗模型。

4.2.5 攻击方法

对抗攻击也可以根据攻击算法分为基于梯度的攻击基于分数的攻击基于决策的攻击基于近似攻击
  • 基于梯度的攻击:这种攻击方法在现在的研究中是使用最多的。基于梯度攻击的算法利用目标模型相对于给定输入梯度的详细信息。这种攻击方法通常在白盒场景下执行,当攻击者完全了解并访问目标模型时;

  • 基于得分的攻击:这种攻击算法要么依赖于对目标模型使用的数据集的访问,要么依赖于它预测的分数来近似于一个梯度。通过查询目标深层神经网络得到的输出作为分数。然后将这些分数与训练数据集一起用于拟合一个代理模型,该模型将精心设计将插入到合法图像中的扰动。这种攻击方法通常在黑盒攻击中很有用;

  • 基于决策的攻击:与基于梯度的攻击相比,它只需要很少的参数变化,因此被作者认为是一种更简单、更灵活的方法。基于决策的攻击通常查询目标模型的 softmax 层,并通过使用拒绝采样过程迭代计算较小的扰动;

  • 基于近似的攻击:这种方法的攻击算法通常采用数值方法来逼近由不可微技术形成的目标模型或防御系统的梯度。然后利用这些近似梯度来计算对抗性扰动。

4.2.6 攻击算法分类一览

在计算机视觉中,用于产生对抗扰动的算法是一种优化方法,通常在预先训练的模型中发现泛化缺陷,以便在干净图像中生成对抗扰动。

如下表所示,根据之前的一些划分方法将当前的对抗样本进行了一次完整全新的分类。(原表格非常的密集,字体非常的小,为了更够更清晰的展示出来,挑选了一些比较重要的分类指标并重新制作了一张表格。)


对抗样本防御的分类

5.1 防御目标

根据防御目标可以将目标分为主动防御或被动防御。主动防御的目的是使分类模型对对抗样本更加健壮。当一个模型能够像干净样本一样正确地分类对抗样本时,它被认为是健壮的。另一方面,被动防御的重点是通过充当过滤器来检测对抗图像,在恶意图像到达分类器之前识别它们。

5.2 防御方法

防御系统可以采用不同的方法来保护模型免受对抗图像的攻击,其中可以分为梯度掩蔽对抗训练防御蒸馏特征压缩分类器集成近邻测量

5.2.1 梯度掩蔽

基于梯度掩蔽(又称为模糊梯度)阻碍了基于优化的攻击算法在样本空间中找到错误的方向,通俗易懂的说法是把梯度信息给隐藏了让攻击算法利用不到。梯度掩蔽的防御又可以分为破碎梯度,随机梯度和梯度爆炸/消失。
  • 破碎梯度:通过不可微防御引起,从而引入不存在或不正确的坡度;

  • 随机梯度:输入到分类器之前对输入进行随机预处理,这种梯度掩蔽策略通常导致对抗攻击错误估计真实梯度;

  • 梯度爆炸/消失:由非常深的体系结构形成的防御引起,通常由神经网络评估的多次迭代组成,其中一层的输出作为下一层的输入。

5.2.2 对抗训练

基于对抗训练的防御方法通常被认为是一种很简单粗暴的方法去防御对抗攻击。对抗训练的主要目的是通过在包含干净和对抗图像的数据集中训练,使分类模型更加健壮。

但存在一个问题就是对抗训练训练出的模型与使用的攻击算法具有强耦合性,即使用对抗训练对模型进行再训练不会产生一个通用模型,该模型只能够抵抗由训练过程中未使用的不同攻击算法生成的对抗图像,具体的原理详解如下图所示:

5.2.3 防御蒸馏

防御蒸馏是一种主动性防御。这个对策的灵感来自学习模型间知识转移的特性。在学习蒸馏中,复杂模型所获得的知识在使用确定的数据集进行训练后,被转移到更简单的模型上。

防御性蒸馏首先使用包含样本 的数据集训练模型 ,并用温度 标记标签 ,作为输出的概率向量 。然后用概率向量 代替标签集 ,并用样本集 建立和训练具有相同 结构的模型 ,但现在使用新的标签集 作为标签。训练结束时,生成目标概率输出 。如下图所示描述了防御蒸馏的过程。


5.2.4 特征压缩

特征压缩是一种利用颜色位缩减和空间平滑来降低输入图像降维后的防御,它们通过处理两种不同类型的摄动来相互补充。位缩减的目的是通过覆盖不同像素来消除小扰动,而空间平滑则是通过覆盖一些像素来消除大扰动。如下图所示为具体的工作流程。


5.2.5 分类器集合

基于分类器集合的防御是由两个或多个分类模型组成的对抗措施,可以在运行时选择。这种方法基于的假设是每个模型在对给定输入图像进行分类时,都会相互补偿其他模型最终可能存在的弱点。

5.2.6 近邻测量

这是基于干净图像和对抗图像到决策边界的距离测量的防御措施。该方法利用 kNN 算法的变体,从 DNN 的每一层获得的训练和输入图像的隐藏表示之间的接近度来计算不确定性和可靠性。输入图像经过 DNN 的所有层后,分析训练图像空间中表示点的标签。算法的具体流程如下图所示:


5.2.7 防御性算法一览

如下表所示,根据之前的一些划分方法将当前的对抗防御方法进行了一次完整全新的分类。(原表格非常的密集,字体非常的小,为了更够更清晰的展示出来,挑选了一些比较重要的分类指标并重新制作了一张表格。)


对抗样本存在性解释

通过推理对抗样本影响机器学习模型预测的原因,了解对抗样本的存在和性质,通常是在阐述对抗机器学习中攻击和防御时考虑的第一步。CNN 和其他机器学习算法在对抗性攻击的恶意影响之前所呈现的漏洞被普遍称为聪明汉斯效应。

与汉斯效应相似,学习模型通常能够对复杂的问题给出正确的答案,例如图像识别和分类,但是没有真正从训练数据中学习,什么使他们容易受到对抗攻击,作者在这一节汇总了当前对抗样本存在性的解释的研究,会发现很有趣一点就是,对于对抗样本的解释都是通过实验来自圆其说的。

6.1 高度非线性化假设

Szegedy 等人首先关注到对抗样本的存在,他认为由于深层神经网络的高度非线性化,使得数据流形中形成低概率的口袋,而这些口袋很难通过对给定样本周围的输入空间进行采样,具体详情如下图所示。这类口袋的出现主要是由于目标函数、训练过程和数据集的某些不足,训练样本的规模和多样性有限,导致模型的泛化能力较差。


6.2 线性化假设

Goodfellow 反驳了 Szegedy 等人的非线性假设。假设 DNN 有一个非常线性的行为,由几个激活函数引起,比如 ReLU 和 sigmoid,它们使微小的扰动输入保持在同一个错误的方向上。

作为它们解释的基础,Goodfellow 详细阐述了 FGSM 攻击,并指出分类器的鲁棒性与所使用的训练过程无关,高阶分类器中两个类之间的距离比线性分类器大,这表明在更深层次的模型中更难找到对抗样本。

6.3 边界倾斜假说

这种假设与 Szegedy 等人给出的解释更为相关,即学习的类边界靠近训练样本流形,但该学习边界相对于该训练流形是“倾斜”的。

因此,可以通过向分类边界扰动合法样本直到它们越过分类边界来生成对抗性图像。所需的扰动量随着倾斜度的减小而减小,从而产生高置信度和误导性的对抗样本,其中包含视觉上无法察觉的扰动。

6.4 高维流形

Gilmer却认为对抗样本的产生是因数据流形的维度性质。他创建了一个合成数据集,然后用它来训练模型。在对其进行训练后,作者观察到,由模型正确分类的输入与附近错误分类的对抗性输入很接近,这意味着学习模型必然容易受到对抗样本的攻击,这与所使用的训练过程无关。

6.5 缺乏足够的训练数据集

Schmidt 等人主张学习模型必须在强分类器上进行推广,即借助于鲁棒优化,以获得鲁棒性。作者观察到对抗样本的存在不一定是特定分类模型的缺点,而是在统计环境下的不可避免的结果。在收集了一些实证结果后,作者得出结论:目前还没有一种有效的方法可以达到对抗鲁棒性,这主要是因为现有的数据集不够大,无法训练出强分类器。

6.6 非稳健特征假设

基于对抗扰动的存在并不一定意味着学习模型或训练过程的缺陷,而是图像的特征。通过考虑人类的感知,作者将特征分为鲁棒特征(使得模型即使在受到不利干扰时也能正确预测真实类)和非鲁棒特征(从数据分布模式中获得的具有高度预测性)。

作者提出利用训练 DNN 的 logits 层构造一个新的数据集,该数据集由包含鲁棒特征的图像组成,这些特征是通过训练 DNN 的 logits 层从原始输入图像中过滤出来的。然后,这个数据集被用来训练另一个用于进行比较研究的 DNN。

研究结果表明对抗样本可能是由于非健壮性特征的存在而产生的,这是人们通常认为的相反。


论文总结

自从 Szegedy 等人的工作首次发现这个问题以来,科学界一直在努力寻找其他方法来防御对抗攻击。但是在众多的防御方法中,虽然一开始很有希望,但已经证明所有的防御手段都是脆弱的,对阻止强大对抗攻击是无效的。

在这种攻击和防御之间的军备竞赛使得对抗机器学习领域相当活跃和活跃,几乎每天都有新的防御方法的出现。该论文将对抗攻击,对抗防御,以及对抗样本存在的解释性做了一次全面的梳理,非常值得一读。

更多阅读




#投 稿 通 道#

 让你的论文被更多人看到 



如何才能让更多的优质内容以更短路径到达读者群体,缩短读者寻找优质内容的成本呢?答案就是:你不认识的人。


总有一些你不认识的人,知道你想知道的东西。PaperWeekly 或许可以成为一座桥梁,促使不同背景、不同方向的学者和学术灵感相互碰撞,迸发出更多的可能性。 


PaperWeekly 鼓励高校实验室或个人,在我们的平台上分享各类优质内容,可以是最新论文解读,也可以是学习心得技术干货。我们的目的只有一个,让知识真正流动起来。


📝 来稿标准:

• 稿件确系个人原创作品,来稿需注明作者个人信息(姓名+学校/工作单位+学历/职位+研究方向) 

• 如果文章并非首发,请在投稿时提醒并附上所有已发布链接 

• PaperWeekly 默认每篇文章都是首发,均会添加“原创”标志


📬 投稿邮箱:

• 投稿邮箱:hr@paperweekly.site 

• 所有文章配图,请单独在附件中发送 

• 请留下即时联系方式(微信或手机),以便我们在编辑发布时和作者沟通



🔍


现在,在「知乎」也能找到我们了

进入知乎首页搜索「PaperWeekly」

点击「关注」订阅我们的专栏吧



关于PaperWeekly


PaperWeekly 是一个推荐、解读、讨论、报道人工智能前沿论文成果的学术平台。如果你研究或从事 AI 领域,欢迎在公众号后台点击「交流群」,小助手将把你带入 PaperWeekly 的交流群里。



登录查看更多
0

相关内容

专知会员服务
95+阅读 · 2021年1月17日
专知会员服务
67+阅读 · 2021年1月10日
专知会员服务
74+阅读 · 2020年12月12日
专知会员服务
99+阅读 · 2020年12月8日
专知会员服务
65+阅读 · 2020年9月10日
对抗样本生成技术综述
专知会员服务
66+阅读 · 2020年7月21日
【浙江大学】对抗样本生成技术综述
专知会员服务
92+阅读 · 2020年1月6日
零样本图像分类综述 : 十年进展
专知会员服务
128+阅读 · 2019年11月16日
训练技巧 | 功守道:NLP中的对抗训练 + PyTorch实现
PaperWeekly
12+阅读 · 2019年11月13日
最全综述 | 图像目标检测
计算机视觉life
31+阅读 · 2019年6月24日
目标检测技术二十年综述
计算机视觉life
21+阅读 · 2019年5月28日
图像分类:常用分类网络结构(附论文下载)
极市平台
13+阅读 · 2019年4月8日
DL | 语义分割综述
机器学习算法与Python学习
58+阅读 · 2019年3月13日
综述:DenseNet—Dense卷积网络(图像分类)
专知
86+阅读 · 2018年11月26日
L2正则化视角下的对抗样本
论智
3+阅读 · 2018年7月8日
Arxiv
0+阅读 · 2021年1月30日
A Comprehensive Survey on Transfer Learning
Arxiv
121+阅读 · 2019年11月7日
Area Attention
Arxiv
5+阅读 · 2019年5月23日
Feature Denoising for Improving Adversarial Robustness
Arxiv
15+阅读 · 2018年12月9日
Arxiv
5+阅读 · 2017年4月12日
VIP会员
相关VIP内容
专知会员服务
95+阅读 · 2021年1月17日
专知会员服务
67+阅读 · 2021年1月10日
专知会员服务
74+阅读 · 2020年12月12日
专知会员服务
99+阅读 · 2020年12月8日
专知会员服务
65+阅读 · 2020年9月10日
对抗样本生成技术综述
专知会员服务
66+阅读 · 2020年7月21日
【浙江大学】对抗样本生成技术综述
专知会员服务
92+阅读 · 2020年1月6日
零样本图像分类综述 : 十年进展
专知会员服务
128+阅读 · 2019年11月16日
相关资讯
训练技巧 | 功守道:NLP中的对抗训练 + PyTorch实现
PaperWeekly
12+阅读 · 2019年11月13日
最全综述 | 图像目标检测
计算机视觉life
31+阅读 · 2019年6月24日
目标检测技术二十年综述
计算机视觉life
21+阅读 · 2019年5月28日
图像分类:常用分类网络结构(附论文下载)
极市平台
13+阅读 · 2019年4月8日
DL | 语义分割综述
机器学习算法与Python学习
58+阅读 · 2019年3月13日
综述:DenseNet—Dense卷积网络(图像分类)
专知
86+阅读 · 2018年11月26日
L2正则化视角下的对抗样本
论智
3+阅读 · 2018年7月8日
Top
微信扫码咨询专知VIP会员