真实训练中Adam无法收敛到最佳位置?改进版 AdaX来拯救!

2020 年 5 月 8 日 AI科技评论
本文介 绍了一种新的自适应步长优化器 AdaX,它简单而高效,能够 较好地弥补 Adam 在高频梯度噪声时存在的缺陷,即在真实训练中无法收敛到最佳位置的问题。
作者 | 李文杰
编辑 | 丛 末

论文地址:https://arxiv.org/pdf/2004.09740.pdf
开源地址:https://github.com/switchablenorms/adax


1


故事背景
自从Reddi et al. [1] 在2018年指出了Adam 文章中的证明错误之后,对Adaptive算法的研究就成了一个热门,之后也出现了许多优秀的算法,如AdaShift[2], NosAdam [3], AdaBound [4],以及最新的Radam [5],但是大多数算法都还难以在泛化性能上与SGD+Momentun打成平手。并且,Reddi et. al 文章中的反例也颇有一些令人费解之处,下面先简要回顾。
假设我们需要最小化函数ft(x),

x的定义域是[-1, 1],并且起始值为 x=1,且C>2。在上图的函数中,每当时间t除以3余1时,正确的梯度(即C)会指示算法朝-1的方向走去,而不正确的梯度(即-1)则会让算法朝 1 走去。Reddi等人构造出这样一个拥有高频梯度噪声的函数,且证明了Adam会反复回到 x=1的位置难以动弹,而SGD和AdaGrad 这些算法却能够成功到达 x=-1。即Adam在高频梯度噪声时存在缺陷!

2


新的算法
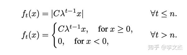
然而,这么高频率的错误梯度,在实际的 DNN 训练中也许是寥寥无几。所以在真实训练中,Adam 依旧是可以收敛到不错的位置,只是可能并没有到最佳(比不上SGD所能达到的最佳位置)。所以在我们的论文中,我们重新设计了一个例子来模拟真实的训练场景。

这里 n 是一个小常数,可以简单设为1, 0< lambda < 1,C>1 都为常数。这个问题其实就是模拟在训练过程中,由于参数不断接近最优解,梯度的大小不断减小的过程。观察可以发现,f_t之和的最小值在0处达到。我们希望验证的是,在初始学习率(alpha_0)和初始值 (x_0)都可以随便取的情况下,各个算法是否都能到达 0 点。很显然,通过等比数列求和公式,SGD当然是可以到达0的。但神奇的是,无论取多小的alpha_0, 无论初始值靠近还是远离0,Adam都无法在0点停下来,都会到达负数解。
简单的来说,是因为Adam的分母V_t 对于小的梯度过于敏感,导致Adam的步长非常的大,大到了即便梯度在指数级减小,Adam的步长依旧大于一个常数。所以,虽然Adam收敛得非常快,但却有可能得不偿失,收敛到一个次优解,并且由于次优解处的梯度太小而难以重新回到最优解。
为了解决这个问题,我们重新设计了Adam的分母。由于梯度在训练后期减小非常快,甚至为0,无法提供更多有效信息。我们提出强调之前的v_t的重要性,而逐渐减弱对现在的梯度的适应。最简单的方式就是将Adam的分母公式反过来,将原来指数级遗忘的v_t改为指数级叠加,也就是我们的新AdaX算法如下:

简单的来说,就是将原本的0.999 v_{t-1} +0.001 g_t^2 改为了 1.0001 v_{t-1} + 0.0001 g_t^2。当然,第七行的系数也要随之变化。我们希望通过更合理地增速(因为分母的指数遗忘改为了指数积累),能够让Adaptive类算法达到和SGD一样的效果。在我们的实验中,AdaX的表现非常不错,甚至能在一些传统自适应算法效果很差的实验中表现得很好。

在CIFAR10, ImageNet和VOC Segmentation等等任务中, AdaX既能比SGD快,又能和SGD一样好,可以说是非常惊喜了。
我们在文章中还有其他更多的实验,欢迎大家移步arXiv看看,相关理论分析也在论文当中,也可以用代码试一试。从Adam改到AdaX变化非常的小,很容易实现。期待大家的结果。
参考文献:
[1]. Reddi, S. J., Kale, S., and Kumar., S. Onthe convergence of adam and beyond.Proceedings of the 6th InternationalConference on Learning Representations (ICLR), 2018. 
[2]. Zhou, Z., Zhang, Q., Lu, G., Wang, H., Zhang, W., and Yu, Y. Adashift:Decorrelation and convergence of adaptive learning rate methods. Proceedingsof 7th International Conference on Learning Representations (ICLR), 2019.
[3]. Huang, H., Wang, C., and Dong., B.Nostalgic adam: Weighting more of the past gradients when designing theadaptive learning rate. arXiv preprint arXiv: 1805.07557,2019. 
[4]. Luo, L., Xiong, Y., Liu, Y., and Sun, X. Adaptive gradi- ent methods withdynamic bound of learning rate. Proceedings of 7th InternationalConference on Learning Representations, 2019.
[5]. Liu L., Jiang, H., He, P., Chen, W., Liu,X., Gao, J., Han, J. On the Variance of the Adaptive Learning Rate andBeyond. Proceedings of 8th International Conference on LearningRepresentations, 2020. 


点击"阅读原文",直达直播页面
登录查看更多
0

相关内容

【CVPR2020】MSG-GAN:用于稳定图像合成的多尺度梯度GAN
专知会员服务
29+阅读 · 2020年4月6日
专知会员服务
45+阅读 · 2020年3月6日
近期必读的6篇AI顶会WWW2020【推荐系统】相关论文
专知会员服务
57+阅读 · 2020年2月25日
模型压缩究竟在做什么?我们真的需要模型压缩么?
专知会员服务
28+阅读 · 2020年1月16日
激活函数还是有一点意思的!
计算机视觉战队
12+阅读 · 2019年6月28日
深度学习优化算法总结(SGD,AdaGrad,Adam等)
极市平台
34+阅读 · 2019年4月30日
PyTorch 1.0尝鲜版,这些改进你需要注意
专知
4+阅读 · 2018年10月3日
当前训练神经网络最快的方式:AdamW优化算法+超级收敛
中国人工智能学会
6+阅读 · 2018年7月4日
Adam那么棒,为什么还对SGD念念不忘 (2)
AI研习社
3+阅读 · 2018年1月1日
算法优化|梯度下降和随机梯度下降 — 从0开始
全球人工智能
8+阅读 · 2017年12月25日
干货|代码原理教你搞懂SGD随机梯度下降、BGD、MBGD
机器学习研究会
12+阅读 · 2017年11月25日
Heterogeneous Graph Transformer
Arxiv
27+阅读 · 2020年3月3日
Arxiv
15+阅读 · 2018年4月5日
Arxiv
7+阅读 · 2018年3月12日
VIP会员
相关资讯
激活函数还是有一点意思的!
计算机视觉战队
12+阅读 · 2019年6月28日
深度学习优化算法总结(SGD,AdaGrad,Adam等)
极市平台
34+阅读 · 2019年4月30日
PyTorch 1.0尝鲜版,这些改进你需要注意
专知
4+阅读 · 2018年10月3日
当前训练神经网络最快的方式:AdamW优化算法+超级收敛
中国人工智能学会
6+阅读 · 2018年7月4日
Adam那么棒,为什么还对SGD念念不忘 (2)
AI研习社
3+阅读 · 2018年1月1日
算法优化|梯度下降和随机梯度下降 — 从0开始
全球人工智能
8+阅读 · 2017年12月25日
干货|代码原理教你搞懂SGD随机梯度下降、BGD、MBGD
机器学习研究会
12+阅读 · 2017年11月25日
Top
微信扫码咨询专知VIP会员