【CMU】图卷积神经网络中的池化综述,Pooling in Graph Convolutional Neural Network

2020 年 4 月 8 日 专知



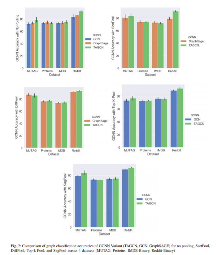
图卷积神经网络(GCNNs)是深度学习技术在图结构数据问题上的一种强大的扩展。我们对GCNNs的几种池方法进行了实证评估,并将这些图池化方法与三种不同架构(GCN、TAGCN和GraphSAGE)进行了组合。我们证实,图池化,特别是DiffPool,提高了流行的图分类数据集的分类精度,并发现,平均而言,TAGCN达到了可比或更好的精度比GCN和GraphSAGE,特别是对数据集较大和稀疏的图结构。

https://arxiv.org/abs/2004.03519


专知便捷查看

便捷下载,请关注专知公众号(点击上方蓝色专知关注)

  • 后台回复“PGCN” 就可以获取【CMU】图卷积神经网络中的池化综述,Pooling in Graph Convolutional Neural Network》专知下载链接

专知,专业可信的人工智能知识分发,让认知协作更快更好!欢迎注册登录专知www.zhuanzhi.ai,获取5000+AI主题干货知识资料!
欢迎微信扫一扫加入专知人工智能知识星球群,获取最新AI专业干货知识教程资料和与专家交流咨询
点击“ 阅读原文 ”,了解使用 专知 ,查看获取5000+AI主题知识资源
登录查看更多
0

相关内容

【KDD2020】自适应多通道图卷积神经网络
专知会员服务
121+阅读 · 2020年7月9日
【清华大学】图随机神经网络,Graph Random Neural Networks
专知会员服务
156+阅读 · 2020年5月26日
【阿尔托大学】图神经网络,Graph Neural Networks,附60页ppt
专知会员服务
184+阅读 · 2020年4月26日
图卷积神经网络蒸馏知识,Distillating Knowledge from GCN
专知会员服务
96+阅读 · 2020年3月25日
106页《深度CNN-目标检测》综述进展论文
专知
4+阅读 · 2018年9月30日
Network Embedding 指南
专知
21+阅读 · 2018年8月13日
Self-Attention Graph Pooling
Arxiv
5+阅读 · 2019年4月17日
Arxiv
6+阅读 · 2019年4月8日
Arxiv
24+阅读 · 2018年10月24日
Arxiv
10+阅读 · 2018年2月4日
Arxiv
7+阅读 · 2018年1月10日
VIP会员
相关论文
Self-Attention Graph Pooling
Arxiv
5+阅读 · 2019年4月17日
Arxiv
6+阅读 · 2019年4月8日
Arxiv
24+阅读 · 2018年10月24日
Arxiv
10+阅读 · 2018年2月4日
Arxiv
7+阅读 · 2018年1月10日
Top
微信扫码咨询专知VIP会员