【吴恩达deeplearning.ai笔记二】通俗讲解神经网络下

2018 年 3 月 19 日 机器学习研究会
                                                                                                                                                                             
点击上方 “机器学习研究会”可以订阅
摘要
 

转自:机器学习算法与自然语言处理

本文是吴恩达老师DeepLearning.ai课程笔记,神经网络下篇内容,上篇见【吴恩达deeplearning.ai笔记二】通俗讲解神经网络上

4激活函数


建立一个神经网络时,需要关心的一个问题是,在每个不同的独立层中应当采用哪种激活函数。逻辑回归中,一直采用sigmoid函数作为激活函数,此外还有一些更好的选择。

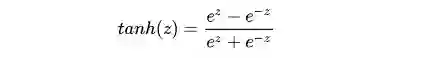
tanh函数(Hyperbolic Tangent Function,双曲正切函数)的表达式为:

函数图像为:

tanh函数其实是sigmoid函数的移位版本。对于隐藏单元,选用tanh函数作为激活函数的话,效果总比sigmoid函数好,因为tanh函数的值在  到  之间,最后输出的结果的平均值更趋近于  ,而不是采用sigmoid函数时的  ,这实际上可以使得下一层的学习变得更加轻松。对于二分类问题,为确保输出在  到  之间,将仍然采用sigmiod函数作为输出的激活函数。


然而sigmoid函数和tanh函数都具有的缺点之一是,在  接近无穷大或无穷小时,这两个函数的导数也就是梯度变得非常小,此时梯度下降的速度也会变得非常慢。


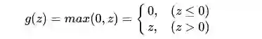
线性修正单元,也就是上面举例解释什么是神经网络时用到的ReLU函数也是机器学习中常用到的激活函数之一,它的表达式为:  

函数图像为:


当 z大于0时,ReLU函数的导数一直为1 ,所以采用ReLU函数作为激活函数时,随机梯度下降的收敛速度会比sigmoid及tanh快得多,但负数轴的数据都丢失了。

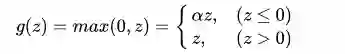
ReLU函数的修正版本,称为Leaky-ReLU,其表达式为:  

函数图像为:

其中alpha是一个很小的常数,用来保留一部非负数轴的值。


可以发现,以上所述的几种激活函数都是非线性的,原因在于使用线性的激活函数时,输出结果将是输入的线性组合,这样的话使用神经网络与直接使用线性模型的效果相当.

此时神经网络就类似于一个简单的逻辑回归模型,失去了其本身的优势和价值。





原文链接:

https://mp.weixin.qq.com/s/Hlvs8wYZ2tPjmSroK5Gi9g

“完整内容”请点击【阅读原文】
↓↓↓
登录查看更多
1

相关内容

在人工神经网络中,给定一个输入或一组输入,节点的激活函数定义该节点的输出。一个标准集成电路可以看作是一个由激活函数组成的数字网络,根据输入的不同,激活函数可以是开(1)或关(0)。这类似于神经网络中的线性感知器的行为。然而,只有非线性激活函数允许这样的网络只使用少量的节点来计算重要问题,并且这样的激活函数被称为非线性。
一网打尽!100+深度学习模型TensorFlow与Pytorch代码实现集合
【斯坦福&Google】面向机器人的机器学习,63页PPT
专知会员服务
26+阅读 · 2019年11月19日
吴恩达新书《Machine Learning Yearning》完整中文版
专知会员服务
147+阅读 · 2019年10月27日
激活函数还是有一点意思的!
计算机视觉战队
12+阅读 · 2019年6月28日
【吴恩达deeplearning.ai笔记二】通俗讲解神经网络上
机器学习研究会
4+阅读 · 2018年3月10日
干货|浅谈神经网络中激活函数的设计
机器学习研究会
5+阅读 · 2017年10月28日
BAT机器学习面试1000题系列(第46~50题)
七月在线实验室
7+阅读 · 2017年10月7日
干货 | 深度学习之损失函数与激活函数的选择
机器学习算法与Python学习
15+阅读 · 2017年9月18日
Arxiv
7+阅读 · 2018年11月6日
Arxiv
5+阅读 · 2018年10月23日
Arxiv
7+阅读 · 2018年3月12日
VIP会员
相关资讯
激活函数还是有一点意思的!
计算机视觉战队
12+阅读 · 2019年6月28日
【吴恩达deeplearning.ai笔记二】通俗讲解神经网络上
机器学习研究会
4+阅读 · 2018年3月10日
干货|浅谈神经网络中激活函数的设计
机器学习研究会
5+阅读 · 2017年10月28日
BAT机器学习面试1000题系列(第46~50题)
七月在线实验室
7+阅读 · 2017年10月7日
干货 | 深度学习之损失函数与激活函数的选择
机器学习算法与Python学习
15+阅读 · 2017年9月18日
Top
微信扫码咨询专知VIP会员