港中文提出:GridMask 数据增广新网络(可提高分类/检测/分割性能)

2020 年 1 月 26 日 CVer

点击上方“CVer”,选择加"星标"或“置顶”

重磅干货,第一时间送达

作者:CrazyVertigo

https://zhuanlan.zhihu.com/p/103992528

本文已由原作者授权,不得擅自二次转载

给大家介绍一篇非常简单又提点效果明显的2020年最新论文,通过GridMask数据增强方法提升模型鲁棒性,在图像分类、检测、分割三个问题上都做了实验,提升效果明显,好于当前SOTA 的autoaugment

《GridMask Data Augmentation》

论文地址:https://arxiv.org/abs/2001.04086

github:https://github.com/akuxcw/GridMask


GridMask方法在分类、检测、分割三个问题都做了实验,效果提升明显。分类在ImageNet和CIFAR10数据集,评估指标是TOP1 accuracy;检测在COCO数据集,评估指标是map;分割问题在Cityscapes数据集,评估指标是mIOU.

1.Gridmask方法介绍

1.1 超参数的定义

GridMask是通过生成1个和原图相同分辨率的mask,然后将该mask和原图相乘得到一个GridMask增强后的图像。上图中灰色区域的值为1,黑色区域的值为0。通过将Mask和原图相乘,实现了特定区域的information dropping,本质可以理解成是一种实现正则化的方法。
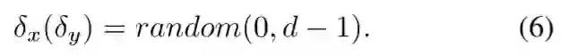
一个GridMask对应4个参数,分别是x,y,r和d,通过这4个参数确定一组特定的mask.实际应用的过程中,还对该Mask进行了旋转。


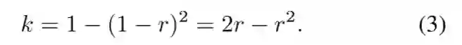
首先定义k,即图像信息的保留比例,其中H和W分别是原图的高和宽,M是保留下来的像素数,保留比例k如上,该参数k和上述的4个参数无直接关系,该参数间接定义了r。
r的定义通过k可以转换得到
另外2个参数x和y也是定义为一定区域的随机

1.Gridmask方法介绍

1.2 超参数的影响

  • 超参数中的r该如何选择?


GridMask的4个超参数中的r在ImageNet上设置为0.6效果最佳,cifar10中设置为0.4效果最佳。文章中给的建议是分类任务越复杂,r适当越大效果越好。
  • 超参数中的d该如何选择?

GridMask的4个超参数中的d的选择实验结果表示不可以太小(ImageNet输入网络的分辨率为224*224),设置为[96,224]时效果最好,为77.89%


  • 使用过程中该以多大的概率p对训练图像进行GridMask增强?

这里或许大家会有思考,我在图上的不同unit区域中,进行随机的information drop是否可以,会有效果吗?文章中实验给出结论:不行。
  • GridMask方法如何使用?

1.文章中设计了2中方法,第一种方法是设置一定的概率p,从开始训练就对训练图片以概率p进行数据增强;第二种方法是一开始概率为0,随着训练次数增加对训练图片进行gridmask增强的方法逐渐增大,最后变为p。实验结果结论是第二种方法好于第一种方法。

2.我做实验的时候,是简单的将COCO训练集进行一次离线的数据增强,训练数据量double了一倍,保持相同的epoch,会提升1+点。


1.3 数据增强方法回顾

常用的数据增强方法主要分为3类:

1.空间变换,random scale, crop, flip,rotation

2.颜色扭曲,改变透明度,亮度等

3.信息删除,random erasing, cutour, hide-and-seek

本文提出的GridMask方法属于信息删除的方法,这种方法的实现方式是随机在图像上丢弃一块区域,作用相当于是在网络上增加一个正则项,避免网络过拟合,相比较改变网络结构来说,这种方法只需要在数据输入的时候进行增广,简单便捷。

本文提出的GridMask方法属于信息删除的方法,这种方法的实现方式是随机在图像上丢弃一块区域,作用相当于是在网络上增加一个正则项,避免网络过拟合,相比较改变网络结构来说,这种方法只需要在数据输入的时候进行增广,简单便捷。

2.Gridmask效果提升

2.1 分类实验提升

  • 在ImageNet上效果怎么样?

ImageNet数据集也有1点+较明显的提升,效果好于当前的SOTA方法autoAugment,关键的关键是autoAugment是通过好多好多卡通过搜索的方法实验得出结果,对于工程人员用于实际提升项目用处不大,而GridMask则简单高效又好用,十分推荐。
  • 在Cifar10上效果怎么样?

Cifar10数据集用补充了其他几种information droping的实验,例如Randomearsing,Cuout,Has,Autoaugment等。

2.2 检测实验提升

  • 在COCO上效果怎么样?

检测的实验gridmask的参数r根据经验设置成0.5,训练的时候一张图做不做gridmask增强也是一个超参数,上图做对比实验发现设置成0.7效果最好,有0.9的提升。训练更长的时间可以进一步提升,如上图Faster-RCNN-50-FPN(4x)所示,最终提升1.9个点。

自己使用mmdetection框架在faster-rcnn-resnet50网络上也有1+点的明显提升,后续会在业务相关的数据集上做实验。

2.3分割实验提升

  • 在Cityscapes上效果怎么样?

分割实验在PSPNet50和PSPNet101也有不同程度的效果提升。

还有没有其他数据增强的干货???

有,请参考这个awesome-data-augmentation,里面整理当前最好用、最新的一些data-augmentation方法,不限于cutmix,augminx,auto-augment等。

https://github.com/CrazyVertigo/awesome-data-augmentation


参考文章:

1.GridMask Data Augmentation (GridMask)

2.Improved regularization of convolutional neural networks with cutout (Cutout)

3.Hide-and-seek: A data augmentation technique for weakly-supervised localization and beyond (HAS)

4. Cutmix: Regularization strategy to train strong classifiers with localizable features (CutMix)

5. Cutmix: Regularization strategy to train strong classifiers with localizable features (Mixup)

6. Dropblock: A regularization method for convolutional networks (Label Smoothing)

7. Autoaugment: Learning augmentation strategies from data (AutoAugment)


重磅!CVer-学术交流群已成立


扫码可添加CVer助手,可申请加入CVer大群和细分方向群,细分方向已涵盖:目标检测、图像分割、目标跟踪、人脸检测&识别、OCR、姿态估计、超分辨率、SLAM、医疗影像、Re-ID、GAN、NAS、深度估计、自动驾驶、强化学习、车道线检测、模型剪枝&压缩、去噪、去雾、去雨、风格迁移、遥感图像、行为识别、视频理解、图像融合、图像检索等群。


一定要备注:研究方向+地点+学校/公司+昵称(如目标检测+上海+上交+卡卡),根据格式备注,可更快被通过且邀请进群

▲长按加群


▲长按关注我们

麻烦给我一个在看!

登录查看更多
0

相关内容

基于改进卷积神经网络的短文本分类模型
专知会员服务
26+阅读 · 2020年7月22日
对抗样本生成技术综述
专知会员服务
65+阅读 · 2020年7月21日
[ICML-Google]先宽后窄:对深度薄网络的有效训练
专知会员服务
36+阅读 · 2020年7月5日
CVPR2020 | 商汤-港中文等提出PV-RCNN:3D目标检测新网络
专知会员服务
45+阅读 · 2020年4月17日
【ICLR-2020】网络反卷积,NETWORK DECONVOLUTION
专知会员服务
39+阅读 · 2020年2月21日
病理图像的全景分割
人工智能前沿讲习班
16+阅读 · 2019年6月1日
一种小目标检测中有效的数据增强方法
极市平台
119+阅读 · 2019年3月23日
讲透RCNN, Fast-RCNN, Faster-RCNN,将CNN用于目标检测
数据挖掘入门与实战
18+阅读 · 2018年4月20日
Arxiv
6+阅读 · 2018年7月9日
Arxiv
5+阅读 · 2018年4月17日
Arxiv
6+阅读 · 2018年3月29日
VIP会员
相关资讯
病理图像的全景分割
人工智能前沿讲习班
16+阅读 · 2019年6月1日
一种小目标检测中有效的数据增强方法
极市平台
119+阅读 · 2019年3月23日
讲透RCNN, Fast-RCNN, Faster-RCNN,将CNN用于目标检测
数据挖掘入门与实战
18+阅读 · 2018年4月20日
Top
微信扫码咨询专知VIP会员