考古学中的数学:鸵鸟蛋的表面积是多少?

2018 年 8 月 1 日 图灵教育

你也许会问,谁会在乎鸵鸟蛋的表面积是多少呢?回答是:考古学家。更确切地说,由勒妮·弗里德曼带领的考古队,他们正在调查古埃及遗址尼肯(以其希腊名“希拉孔波利斯”更为人所知)。


希拉孔波利斯是古埃及前王朝时期(距今约5000年)的一处中心城市,也是鹰头神荷鲁斯的主要崇拜中心。人们最早在这里定居的时间很可能还要往前追溯几千年。长久以来,这个地方一直被视为一片荒芜的沙漠, 但最近的考古发现表明,在沙漠之下其实埋藏着一处古城遗迹、已知最早的埃及神庙、一家酿酒坊、一处被附近的窑火点燃烧毁的制陶工的房子, 以及古埃及唯一一座已知的大象墓。


我和我妻子曾在2009年以“尼肯之友”的名义去过这个非凡的遗址。并且我们在那里见到了从HK6区域出土的破碎的鸵鸟蛋壳。完整的鸵鸟蛋当初曾被作为奠基物品,安置在新建筑的地基里。千百年之后,这些鸵鸟蛋早已支离破碎,所以首先一个问题是“里面有多少个蛋”。拼凑蛋壳的计划(被称为“矮胖子项目”)事实证明太耗时了。所以考古学家退而求其次,希望通过将蛋壳碎片的总面积除以一个普通鸵鸟蛋的表面积来得到一个估算。

来自希拉孔波利斯的典型鸵鸟蛋碎片

这里就轮到数学派上用场了。鸵鸟蛋的表面积是多少?或者推而广之,蛋的表面积是多少?我们的教科书给出过球体、圆柱体、圆锥体以及其他很多几何体的表面积公式,但没有蛋的表面积公式。这并不意外, 毕竟蛋的形状多种多样。不过,典型的鸡蛋形状与鸵鸟蛋形状差不多, 并且它也是蛋最常见的形状之一。

对此,蛋的一个特征会有所帮助,那就是(大体上看——这个短语你应该加到我下面所做的每个命题之中)它们是回旋曲面。也就是说, 它们可以通过让某一特定曲线绕一条轴旋转而生成。这里的特定曲线是沿着蛋的长轴切开的“卵形”截面。数学上最知名的卵形当属椭圆—— 在一个方向上被均匀拉伸的圆。但蛋并不是椭圆,因为它的一头比另一头更加圆滑。数学上还有其他更花哨的蛋形曲线,比如笛卡儿卵形线, 但它们似乎也帮不上什么忙。

如果让椭圆绕其轴旋转,你会得到一个回旋椭球。更一般化的椭球本质上是在三个互相垂直的方向上被拉伸或挤压的球体。负责此项研究的阿瑟·缪尔意识到,蛋的形状很像将两个半椭球拼在一起。如果能求出椭球的表面积,你就可以将它除以2,然后再将两部分的表面积加起来。

利用两个椭球凑出一个蛋

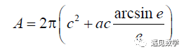
椭球有一个表面积公式,但它要用到一个不易理解的量,称为椭圆函数。幸运的是,由于其产卵器官为管状,鸵鸟产下的蛋大多是回旋曲面,这给考古学家和数学家解了围。回旋椭球的表面积公式相对简单:

其中


根据这些知识,并利用对现代鸵鸟蛋和保存完好的古代鸵鸟蛋的测量数据,研究者算得一个蛋的平均表面积为570平方厘米。这看上去相当大,但针对一个现代鸵鸟蛋的试验证实了这一数据。最后算得在7号建筑物的地基里至少有六个蛋,这是所有前王朝堆积中鸵鸟蛋最密集的地方。

你看,你永远不知道数学何时会派上用场。更多考古细节,可参见:archaeology.org/interactive/hierakonpolis/field07/6.html


本文转载自公众号遇见数学,内容节选自《数学万花筒2》。


作者:伊恩·斯图尔特
译者:张云(1)(2),何生(3)


  • 知名数学科普作家、华威大学数学系荣退教授Ian Stewart作品

  • 五十多年收藏精选,汇集趣味数学游戏、谜题、故事和八卦

  • 适合各种程度的数学爱好者阅读,深入培养数学学习兴趣 


这套图灵出版的《数学万花筒 1,2,3》,其中第一本英文版在2008年出版时出人意料广受欢迎,甚至登上了英国一份知名的全国性畅销书排行榜(最高达到第六名)。于是斯图尔特教授再接再厉,打开文件柜的下一个抽屉,整理出更多好东西,结集成为《数学万花筒2》。

通过本书,读者可以:透彻了解数学有趣而迷人的一面,激发想像力;亲自参与到数学中,体验发现带来的兴奋;了解数学的重要发展,不管来自四千年前还是上一周。

点击购买《数学万花筒2》

登录查看更多
0

相关内容

【纽约大学】最新《离散数学》笔记,451页pdf
专知会员服务
131+阅读 · 2020年5月26日
【干货书】数值计算C编程,319页pdf,Numerical C
专知会员服务
72+阅读 · 2020年4月7日
机器学习速查手册,135页pdf
专知会员服务
345+阅读 · 2020年3月15日
【经典书】精通机器学习特征工程,中文版,178页pdf
专知会员服务
360+阅读 · 2020年2月15日
合集 | 更好的解释(数学篇) 1~12
遇见数学
31+阅读 · 2018年10月11日
看精彩美剧学数学 - 数字追凶103:向量
遇见数学
6+阅读 · 2018年7月29日
傅里叶变换和拉普拉斯变换的物理解释及区别
算法与数学之美
11+阅读 · 2018年2月5日
关于医学影像背后的科学,你都知道多少?
中科院物理所
3+阅读 · 2017年12月14日
数学不好能搞人工智能吗?
算法与数学之美
3+阅读 · 2017年11月27日
搞人工智能必备“数学库”
机器学习算法与Python学习
5+阅读 · 2017年11月20日
GAN的数学原理
算法与数学之美
16+阅读 · 2017年9月2日
大学数学不好,或许是数学教材的锅?
算法与数学之美
15+阅读 · 2017年8月1日
【基础数学】- 01
遇见数学
20+阅读 · 2017年7月25日
[有意思的数学] 参数估计
机器学习和数学
15+阅读 · 2017年6月4日
Arxiv
21+阅读 · 2019年8月21日
How to Fine-Tune BERT for Text Classification?
Arxiv
13+阅读 · 2019年5月14日
Conditional BERT Contextual Augmentation
Arxiv
8+阅读 · 2018年12月17日
Implicit Maximum Likelihood Estimation
Arxiv
7+阅读 · 2018年9月24日
Relational recurrent neural networks
Arxiv
8+阅读 · 2018年6月28日
Arxiv
19+阅读 · 2018年6月27日
VIP会员
相关资讯
合集 | 更好的解释(数学篇) 1~12
遇见数学
31+阅读 · 2018年10月11日
看精彩美剧学数学 - 数字追凶103:向量
遇见数学
6+阅读 · 2018年7月29日
傅里叶变换和拉普拉斯变换的物理解释及区别
算法与数学之美
11+阅读 · 2018年2月5日
关于医学影像背后的科学,你都知道多少?
中科院物理所
3+阅读 · 2017年12月14日
数学不好能搞人工智能吗?
算法与数学之美
3+阅读 · 2017年11月27日
搞人工智能必备“数学库”
机器学习算法与Python学习
5+阅读 · 2017年11月20日
GAN的数学原理
算法与数学之美
16+阅读 · 2017年9月2日
大学数学不好,或许是数学教材的锅?
算法与数学之美
15+阅读 · 2017年8月1日
【基础数学】- 01
遇见数学
20+阅读 · 2017年7月25日
[有意思的数学] 参数估计
机器学习和数学
15+阅读 · 2017年6月4日
相关论文
Arxiv
21+阅读 · 2019年8月21日
How to Fine-Tune BERT for Text Classification?
Arxiv
13+阅读 · 2019年5月14日
Conditional BERT Contextual Augmentation
Arxiv
8+阅读 · 2018年12月17日
Implicit Maximum Likelihood Estimation
Arxiv
7+阅读 · 2018年9月24日
Relational recurrent neural networks
Arxiv
8+阅读 · 2018年6月28日
Arxiv
19+阅读 · 2018年6月27日
Top
微信扫码咨询专知VIP会员