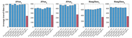
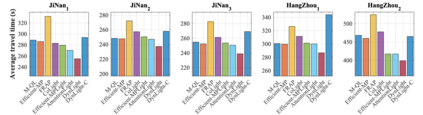
Adopting reinforcement learning (RL) for traffic signal control (TSC) is increasingly popular, and RL has become a promising solution for traffic signal control. However, several challenges still need to be overcome. Firstly, most RL methods use fixed action duration and select the green phase for the next state, which makes the phase duration less dynamic and flexible. Secondly, the phase sequence of RL methods can be arbitrary, affecting the real-world deployment which may require a cyclical phase structure. Lastly, the average travel time and throughput are not fair metrics to evaluate TSC performance. To address these challenges, we propose a multi-level traffic signal control framework, DynLight, which uses an optimization method Max-QueueLength (M-QL) to determine the phase and uses a deep Q-network to determine the duration of the corresponding phase. Based on DynLight, we further propose DynLight-C which adopts a well-trained deep Q-network of DynLight and replace M-QL with a cyclical control policy that actuates a set of phases in fixed cyclical order to realize cyclical phase structure. Comprehensive experiments on multiple real-world datasets demonstrate that DynLight achieves a new state-of-the-art. Furthermore, the deep Q-network of DynLight can learn well on determining the phase duration and DynLight-C demonstrates high performance for deployment.


翻译:在交通信号控制方面采用强化学习(RL)的做法越来越受欢迎,而RL已成为交通信号控制的一个有希望的解决办法。然而,还需要克服若干挑战。首先,大多数RL方法使用固定行动期限,并为下一个州选择绿色阶段,从而使该阶段的持续时间不那么充满活力和灵活性。第二,RL方法的阶段序列可能是任意的,影响到可能需要周期阶段结构的现实世界部署。最后,平均旅行时间和吞吐量不是评价交通信号控制绩效的公平衡量标准。为了应对这些挑战,我们提议了一个多层次交通信号控制框架,即DynLight(DynLight),它使用优化方法确定该阶段,并使用深Q-网络来确定相应阶段的期限。根据DynLight,我们进一步提议DynLight-C采用经过良好训练的深度Q-网络,以周期控制政策取代M-QL。我们提议采用一套固定周期性阶段,以达到周期性秩序,从而实现Dyn-Lyn(M-Lyn)的高级部署阶段,全面展示Dight-Lyn(Drow-L)阶段的深度运行周期阶段,从而显示跨世界数据学习阶段。

0
下载
关闭预览

相关内容

Linux导论,Introduction to Linux,96页ppt
专知会员服务
81+阅读 · 2020年7月26日
Stabilizing Transformers for Reinforcement Learning
专知会员服务
60+阅读 · 2019年10月17日
《DeepGCNs: Making GCNs Go as Deep as CNNs》
专知会员服务
31+阅读 · 2019年10月17日
强化学习最新教程,17页pdf
专知会员服务
182+阅读 · 2019年10月11日
【SIGGRAPH2019】TensorFlow 2.0深度学习计算机图形学应用
专知会员服务
41+阅读 · 2019年10月9日
ACM MM 2022 Call for Papers
CCF多媒体专委会
5+阅读 · 2022年3月29日
ACM TOMM Call for Papers
CCF多媒体专委会
2+阅读 · 2022年3月23日
AIART 2022 Call for Papers
CCF多媒体专委会
1+阅读 · 2022年2月13日
【ICIG2021】Latest News & Announcements of the Tutorial
中国图象图形学学会CSIG
3+阅读 · 2021年12月20日
【ICIG2021】Check out the hot new trailer of ICIG2021 Symposium4
中国图象图形学学会CSIG
0+阅读 · 2021年11月10日
【ICIG2021】Latest News & Announcements of the Industry Talk2
中国图象图形学学会CSIG
0+阅读 · 2021年7月29日
【ICIG2021】Latest News & Announcements of the Industry Talk1
中国图象图形学学会CSIG
0+阅读 · 2021年7月28日
Hierarchically Structured Meta-learning
CreateAMind
27+阅读 · 2019年5月22日
Unsupervised Learning via Meta-Learning
CreateAMind
43+阅读 · 2019年1月3日
A Technical Overview of AI & ML in 2018 & Trends for 2019
待字闺中
18+阅读 · 2018年12月24日
国家自然科学基金
0+阅读 · 2015年12月31日
国家自然科学基金
0+阅读 · 2015年12月31日
国家自然科学基金
1+阅读 · 2013年12月31日
国家自然科学基金
0+阅读 · 2012年12月31日
国家自然科学基金
0+阅读 · 2012年12月31日
国家自然科学基金
0+阅读 · 2011年12月31日
国家自然科学基金
0+阅读 · 2010年12月31日
国家自然科学基金
0+阅读 · 2009年12月31日
VIP会员
相关资讯
ACM MM 2022 Call for Papers
CCF多媒体专委会
5+阅读 · 2022年3月29日
ACM TOMM Call for Papers
CCF多媒体专委会
2+阅读 · 2022年3月23日
AIART 2022 Call for Papers
CCF多媒体专委会
1+阅读 · 2022年2月13日
【ICIG2021】Latest News & Announcements of the Tutorial
中国图象图形学学会CSIG
3+阅读 · 2021年12月20日
【ICIG2021】Check out the hot new trailer of ICIG2021 Symposium4
中国图象图形学学会CSIG
0+阅读 · 2021年11月10日
【ICIG2021】Latest News & Announcements of the Industry Talk2
中国图象图形学学会CSIG
0+阅读 · 2021年7月29日
【ICIG2021】Latest News & Announcements of the Industry Talk1
中国图象图形学学会CSIG
0+阅读 · 2021年7月28日
Hierarchically Structured Meta-learning
CreateAMind
27+阅读 · 2019年5月22日
Unsupervised Learning via Meta-Learning
CreateAMind
43+阅读 · 2019年1月3日
A Technical Overview of AI & ML in 2018 & Trends for 2019
待字闺中
18+阅读 · 2018年12月24日
相关基金
国家自然科学基金
0+阅读 · 2015年12月31日
国家自然科学基金
0+阅读 · 2015年12月31日
国家自然科学基金
1+阅读 · 2013年12月31日
国家自然科学基金
0+阅读 · 2012年12月31日
国家自然科学基金
0+阅读 · 2012年12月31日
国家自然科学基金
0+阅读 · 2011年12月31日
国家自然科学基金
0+阅读 · 2010年12月31日
国家自然科学基金
0+阅读 · 2009年12月31日
Top
微信扫码咨询专知VIP会员