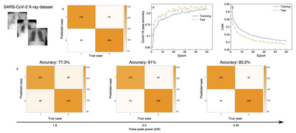
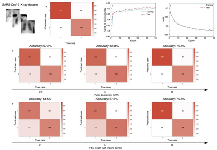
Today's heavy machine learning tasks are fueled by large datasets. Computing is performed with power hungry processors whose performance is ultimately limited by the data transfer to and from memory. Optics is one of the powerful means of communicating and processing information and there is intense current interest in optical information processing for realizing high-speed computations. Here we present and experimentally demonstrate an optical computing framework based on spatiotemporal effects in multimode fibers for a range of learning tasks from classifying COVID-19 X-ray lung images and speech recognition to predicting age from face images. The presented framework overcomes the energy scaling problem of existing systems without compromising speed. We leveraged simultaneous, linear, and nonlinear interaction of spatial modes as a computation engine. We numerically and experimentally showed the ability of the method to execute several different tasks with accuracy comparable to a digital implementation.


翻译:今天的重机学习任务由大型数据集来推动。 计算机是用能量饥饿的处理器进行,其性能最终受到向内存和从内存传输数据的限制。 光学是通信和处理信息的有力手段之一,当前对光学信息处理有着浓厚的兴趣,以便实现高速计算。 在这里,我们提出并实验性地展示了基于多模式纤维的时空效应的光学计算框架,用于从对COVID-19 X射线肺图像进行分类和语音识别到从脸部图像预测年龄等一系列学习任务。 所提出的框架克服了现有系统的能源规模问题,但不会降低速度。 我们利用空间模式的同步、线性和非线性互动作为计算引擎。 我们用数字和实验性的方式展示了执行与数字执行相近的几种不同任务的能力。

0
下载
关闭预览

相关内容

《计算机信息》杂志发表高质量的论文,扩大了运筹学和计算的范围,寻求有关理论、方法、实验、系统和应用方面的原创研究论文、新颖的调查和教程论文,以及描述新的和有用的软件工具的论文。官网链接:https://pubsonline.informs.org/journal/ijoc
专知会员服务
45+阅读 · 2020年12月18日
Linux导论,Introduction to Linux,96页ppt
专知会员服务
81+阅读 · 2020年7月26日
【干货书】真实机器学习,264页pdf,Real-World Machine Learning
Keras François Chollet 《Deep Learning with Python 》, 386页pdf
专知会员服务
160+阅读 · 2019年10月12日
机器学习相关资源(框架、库、软件)大列表
专知会员服务
40+阅读 · 2019年10月9日
【SIGGRAPH2019】TensorFlow 2.0深度学习计算机图形学应用
专知会员服务
41+阅读 · 2019年10月9日
Hierarchically Structured Meta-learning
CreateAMind
27+阅读 · 2019年5月22日
Transferring Knowledge across Learning Processes
CreateAMind
29+阅读 · 2019年5月18日
Unsupervised Learning via Meta-Learning
CreateAMind
43+阅读 · 2019年1月3日
Ray RLlib: Scalable 降龙十八掌
CreateAMind
9+阅读 · 2018年12月28日
A Technical Overview of AI & ML in 2018 & Trends for 2019
待字闺中
18+阅读 · 2018年12月24日
Hierarchical Imitation - Reinforcement Learning
CreateAMind
19+阅读 · 2018年5月25日
Hierarchical Disentangled Representations
CreateAMind
4+阅读 · 2018年4月15日
(TensorFlow)实时语义分割比较研究
机器学习研究会
9+阅读 · 2018年3月12日
【学习】Hierarchical Softmax
机器学习研究会
4+阅读 · 2017年8月6日
强化学习 cartpole_a3c
CreateAMind
9+阅读 · 2017年7月21日
Learning in the Frequency Domain
Arxiv
11+阅读 · 2020年3月12日
Arxiv
11+阅读 · 2018年7月8日
Arxiv
3+阅读 · 2018年2月24日
VIP会员
相关VIP内容
专知会员服务
45+阅读 · 2020年12月18日
Linux导论,Introduction to Linux,96页ppt
专知会员服务
81+阅读 · 2020年7月26日
【干货书】真实机器学习,264页pdf,Real-World Machine Learning
Keras François Chollet 《Deep Learning with Python 》, 386页pdf
专知会员服务
160+阅读 · 2019年10月12日
机器学习相关资源(框架、库、软件)大列表
专知会员服务
40+阅读 · 2019年10月9日
【SIGGRAPH2019】TensorFlow 2.0深度学习计算机图形学应用
专知会员服务
41+阅读 · 2019年10月9日
相关资讯
Hierarchically Structured Meta-learning
CreateAMind
27+阅读 · 2019年5月22日
Transferring Knowledge across Learning Processes
CreateAMind
29+阅读 · 2019年5月18日
Unsupervised Learning via Meta-Learning
CreateAMind
43+阅读 · 2019年1月3日
Ray RLlib: Scalable 降龙十八掌
CreateAMind
9+阅读 · 2018年12月28日
A Technical Overview of AI & ML in 2018 & Trends for 2019
待字闺中
18+阅读 · 2018年12月24日
Hierarchical Imitation - Reinforcement Learning
CreateAMind
19+阅读 · 2018年5月25日
Hierarchical Disentangled Representations
CreateAMind
4+阅读 · 2018年4月15日
(TensorFlow)实时语义分割比较研究
机器学习研究会
9+阅读 · 2018年3月12日
【学习】Hierarchical Softmax
机器学习研究会
4+阅读 · 2017年8月6日
强化学习 cartpole_a3c
CreateAMind
9+阅读 · 2017年7月21日
Top
微信扫码咨询专知VIP会员