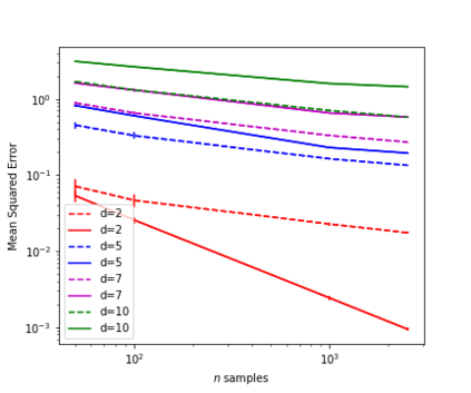
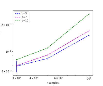
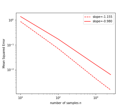
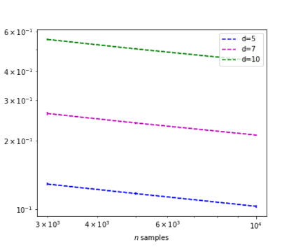
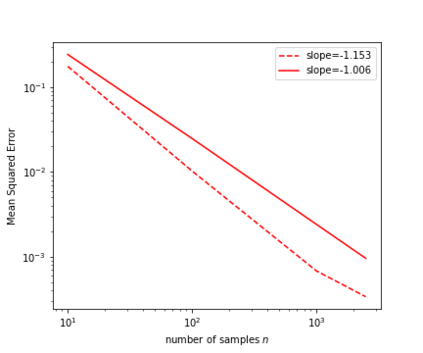
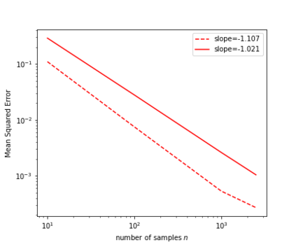
We develop a computationally tractable method for estimating the optimal map between two distributions over $\mathbb{R}^d$ with rigorous finite-sample guarantees. Leveraging an entropic version of Brenier's theorem, we show that our estimator -- the barycentric projection of the optimal entropic plan -- is easy to compute using Sinkhorn's algorithm. As a result, unlike current approaches for map estimation, which are slow to evaluate when the dimension or number of samples is large, our approach is parallelizable and extremely efficient even for massive data sets. Under smoothness assumptions on the optimal map, we show that our estimator enjoys comparable statistical performance to other estimators in the literature, but with much lower computational cost. We showcase the efficacy of our proposed estimator through numerical examples. Our proofs are based on a modified duality principle for entropic optimal transport and on a method for approximating optimal entropic plans due to Pal (2019).


翻译:我们开发了一种可计算、可移动的方法来估计美元=mathbb{R ⁇ d$以上两个分布区间的最佳地图, 并且有严格的有限抽样保证。 我们利用一个正方位版的Brenier 的理论, 我们显示我们的估计器 -- -- 最佳的昆虫计划的以巴中心为中心预测 -- -- 很容易使用Sinkhorn的算法来计算。 因此, 与目前的地图估计方法不同, 目前的地图估计方法在评估样本的大小或数量时速度缓慢, 我们的方法是平行的, 并且极其高效的, 即使是对大量数据集也是如此。 在最佳地图的平稳假设下, 我们显示我们的估计器具有与其他文献中估计器的可比的统计性能, 但是计算成本要低得多。 我们通过数字示例来展示我们提议的估计器的功效。 我们的证明依据的是经过修改的关于最优度运输的双重性原则, 以及由Pal( 2019) 应对的接近最优度计划的方法。

0
下载
关闭预览

相关内容

【Google-Marco Cuturi】最优传输,339页ppt,Optimal Transport
专知会员服务
49+阅读 · 2021年10月26日
Linux导论,Introduction to Linux,96页ppt
专知会员服务
82+阅读 · 2020年7月26日
Fariz Darari简明《博弈论Game Theory》介绍,35页ppt
专知会员服务
112+阅读 · 2020年5月15日
强化学习最新教程,17页pdf
专知会员服务
182+阅读 · 2019年10月11日
已删除
将门创投
6+阅读 · 2019年4月10日
逆强化学习-学习人先验的动机
CreateAMind
16+阅读 · 2019年1月18日
Arxiv
0+阅读 · 2021年11月15日
Arxiv
3+阅读 · 2018年10月18日
Implicit Maximum Likelihood Estimation
Arxiv
7+阅读 · 2018年9月24日
VIP会员
相关资讯
已删除
将门创投
6+阅读 · 2019年4月10日
逆强化学习-学习人先验的动机
CreateAMind
16+阅读 · 2019年1月18日
Top
微信扫码咨询专知VIP会员