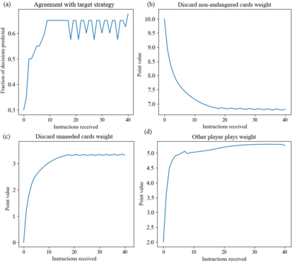
We propose a novel approach to explainable AI (XAI) based on the concept of "instruction" from neural networks. In this case study, we demonstrate how a superhuman neural network might instruct human trainees as an alternative to traditional approaches to XAI. Specifically, an AI examines human actions and calculates variations on the human strategy that lead to better performance. Experiments with a JHU/APL-developed AI player for the cooperative card game Hanabi suggest this technique makes unique contributions to explainability while improving human performance. One area of focus for Instructive AI is in the significant discrepancies that can arise between a human's actual strategy and the strategy they profess to use. This inaccurate self-assessment presents a barrier for XAI, since explanations of an AI's strategy may not be properly understood or implemented by human recipients. We have developed and are testing a novel, Instructive AI approach that estimates human strategy by observing human actions. With neural networks, this allows a direct calculation of the changes in weights needed to improve the human strategy to better emulate a more successful AI. Subjected to constraints (e.g. sparsity) these weight changes can be interpreted as recommended changes to human strategy (e.g. "value A more, and value B less"). Instruction from AI such as this functions both to help humans perform better at tasks, but also to better understand, anticipate, and correct the actions of an AI. Results will be presented on AI instruction's ability to improve human decision-making and human-AI teaming in Hanabi.


翻译:我们根据神经网络的“指令”概念,提出了一个解释性AI(XAI)的新办法。在这个案例研究中,我们展示了超人类神经网络如何可以指导人类受训者,作为XAI传统方法的替代。具体地说,AI研究人类行动,计算人类战略的变异,从而提高绩效。JHU/APL开发的Hanabi合作卡游戏的AI玩家的实验表明,这种技术在解释性方面作出了独特的贡献,同时改善了人类的绩效。指示性AI的一个重点领域是人的实际战略和他们声称使用的战略之间可能出现的重大差异。这种不准确的自我评估为XAI带来了障碍,因为对AI战略的解释可能不是由人类接受者正确理解或执行的。我们已经制定并测试了通过观察人类行动来评估人类战略的新颖的、具有教益的AI方法。通过神经网络,可以直接计算改进人类战略所需重量的变化,以便更成功地模仿AI。根据限制(例如,弹性)和他们宣称使用的战略,这些重量的调整能力变化可以更精确地解释为“B”的数值,可以更精确地解释,从人类的A值到AI。

0
下载
关闭预览

相关内容

可解释强化学习,Explainable Reinforcement Learning: A Survey
专知会员服务
132+阅读 · 2020年5月14日
Keras François Chollet 《Deep Learning with Python 》, 386页pdf
专知会员服务
163+阅读 · 2019年10月12日
强化学习最新教程,17页pdf
专知会员服务
182+阅读 · 2019年10月11日
【哈佛大学商学院课程Fall 2019】机器学习可解释性
专知会员服务
105+阅读 · 2019年10月9日
人工智能 | ACCV 2020等国际会议信息5条
Call4Papers
6+阅读 · 2019年6月21日
Hierarchically Structured Meta-learning
CreateAMind
27+阅读 · 2019年5月22日
Transferring Knowledge across Learning Processes
CreateAMind
29+阅读 · 2019年5月18日
人工智能 | 中低难度国际会议信息6条
Call4Papers
3+阅读 · 2019年4月3日
人工智能 | SCI期刊专刊信息3条
Call4Papers
5+阅读 · 2019年1月10日
A Technical Overview of AI & ML in 2018 & Trends for 2019
待字闺中
18+阅读 · 2018年12月24日
人工智能 | 国际会议/SCI期刊约稿信息9条
Call4Papers
3+阅读 · 2018年1月12日
人工智能 | 国际会议截稿信息5条
Call4Papers
6+阅读 · 2017年11月22日
【计算机类】期刊专刊/国际会议截稿信息6条
Call4Papers
3+阅读 · 2017年10月13日
Auto-Encoding GAN
CreateAMind
7+阅读 · 2017年8月4日
Arxiv
4+阅读 · 2021年10月19日
Arxiv
8+阅读 · 2021年7月15日
Arxiv
14+阅读 · 2020年9月1日
VIP会员
相关VIP内容
可解释强化学习,Explainable Reinforcement Learning: A Survey
专知会员服务
132+阅读 · 2020年5月14日
Keras François Chollet 《Deep Learning with Python 》, 386页pdf
专知会员服务
163+阅读 · 2019年10月12日
强化学习最新教程,17页pdf
专知会员服务
182+阅读 · 2019年10月11日
【哈佛大学商学院课程Fall 2019】机器学习可解释性
专知会员服务
105+阅读 · 2019年10月9日
相关资讯
人工智能 | ACCV 2020等国际会议信息5条
Call4Papers
6+阅读 · 2019年6月21日
Hierarchically Structured Meta-learning
CreateAMind
27+阅读 · 2019年5月22日
Transferring Knowledge across Learning Processes
CreateAMind
29+阅读 · 2019年5月18日
人工智能 | 中低难度国际会议信息6条
Call4Papers
3+阅读 · 2019年4月3日
人工智能 | SCI期刊专刊信息3条
Call4Papers
5+阅读 · 2019年1月10日
A Technical Overview of AI & ML in 2018 & Trends for 2019
待字闺中
18+阅读 · 2018年12月24日
人工智能 | 国际会议/SCI期刊约稿信息9条
Call4Papers
3+阅读 · 2018年1月12日
人工智能 | 国际会议截稿信息5条
Call4Papers
6+阅读 · 2017年11月22日
【计算机类】期刊专刊/国际会议截稿信息6条
Call4Papers
3+阅读 · 2017年10月13日
Auto-Encoding GAN
CreateAMind
7+阅读 · 2017年8月4日
Top
微信扫码咨询专知VIP会员