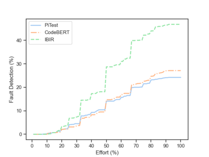
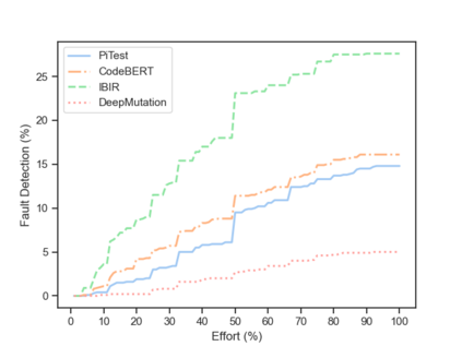
Fault seeding is typically used in controlled studies to evaluate and compare test techniques. Central to these techniques lies the hypothesis that artificially seeded faults involve some form of realistic properties and thus provide realistic experimental results. In an attempt to strengthen realism, a recent line of research uses advanced machine learning techniques, such as deep learning and Natural Language Processing (NLP), to seed faults that look like (syntactically) real ones, implying that fault realism is related to syntactic similarity. This raises the question of whether seeding syntactically similar faults indeed results in semantically similar faults and more generally whether syntactically dissimilar faults are far away (semantically) from the real ones. We answer this question by employing 4 fault-seeding techniques (PiTest - a popular mutation testing tool, IBIR - a tool with manually crafted fault patterns, DeepMutation - a learning-based fault seeded framework and CodeBERT - a novel mutation testing tool that use code embeddings) and demonstrate that syntactic similarity does not reflect semantic similarity. We also show that 60%, 47%, 43%, and 7% of the real faults of Defects4J V2 are semantically resembled by CodeBERT, PiTest, IBIR, and DeepMutation faults. We then perform an objective comparison between the techniques and find that CodeBERT and PiTest have similar fault detection capabilities that subsume IBIR and DeepMutation, and that IBIR is the most cost-effective technique. Moreover, the overall fault detection of PiTest, CodeBERT, IBIR, and DeepMutation was, on average, 54%, 53%, 37%, and 7%.


翻译:这些技术的核心在于人工种子断层是否包含某种形式现实的特性,从而提供现实的实验结果。为了加强现实主义,最近的一系列研究使用了先进的机器学习技术,例如深层学习和自然语言处理(NLP),以产生看上去像(在实际操作上)真实的(在实际操作上)的缺陷,意味着现实错误与同系方法相似。这提出了下述问题:在视觉学学上相似的断层是否确实导致语义相似的断层,更一般地说,断层的断层是否与真实的(模拟)相距遥远。为了加强现实主义,最近的一系列研究使用了先进的机器学习技术,例如深层学习和自然语言处理(NLPP),用来制造看上去像(在实际操作上)真实的断层的断层(在实际操作上)测试工具,深层导道-基于学习的断层框架和代码BERT-一种使用代码嵌入的新型突变异测试工具,在深度的IB2、深度和深度的断层(我们显示)和深度的断层的断层的断层性(在实际的解析中)和精确的解析中的解)。

0
下载
关闭预览

相关内容

100+篇《自监督学习(Self-Supervised Learning)》论文最新合集
专知会员服务
167+阅读 · 2020年3月18日
Stabilizing Transformers for Reinforcement Learning
专知会员服务
60+阅读 · 2019年10月17日
【深度学习视频分析/多模态学习资源大列表】
专知会员服务
92+阅读 · 2019年10月16日
Keras François Chollet 《Deep Learning with Python 》, 386页pdf
专知会员服务
163+阅读 · 2019年10月12日
开源书:PyTorch深度学习起步
专知会员服务
51+阅读 · 2019年10月11日
强化学习最新教程,17页pdf
专知会员服务
182+阅读 · 2019年10月11日
征稿 | CFP:Special Issue of NLP and KG(JCR Q2,IF2.67)
开放知识图谱
1+阅读 · 2022年4月4日
IEEE TII Call For Papers
CCF多媒体专委会
3+阅读 · 2022年3月24日
AIART 2022 Call for Papers
CCF多媒体专委会
1+阅读 · 2022年2月13日
【ICIG2021】Latest News & Announcements of the Tutorial
中国图象图形学学会CSIG
3+阅读 · 2021年12月20日
【ICIG2021】Check out the hot new trailer of ICIG2021 Symposium3
中国图象图形学学会CSIG
0+阅读 · 2021年11月9日
【ICIG2021】Latest News & Announcements of the Plenary Talk2
中国图象图形学学会CSIG
0+阅读 · 2021年11月2日
【ICIG2021】Latest News & Announcements of the Plenary Talk1
中国图象图形学学会CSIG
0+阅读 · 2021年11月1日
【ICIG2021】Latest News & Announcements of the Industry Talk2
中国图象图形学学会CSIG
0+阅读 · 2021年7月29日
【ICIG2021】Latest News & Announcements of the Industry Talk1
中国图象图形学学会CSIG
0+阅读 · 2021年7月28日
A Technical Overview of AI & ML in 2018 & Trends for 2019
待字闺中
18+阅读 · 2018年12月24日
国家自然科学基金
4+阅读 · 2015年12月31日
国家自然科学基金
0+阅读 · 2013年12月31日
国家自然科学基金
0+阅读 · 2013年12月31日
国家自然科学基金
0+阅读 · 2013年12月31日
国家自然科学基金
0+阅读 · 2012年12月31日
国家自然科学基金
0+阅读 · 2012年12月31日
国家自然科学基金
6+阅读 · 2011年12月31日
国家自然科学基金
0+阅读 · 2009年12月31日
国家自然科学基金
0+阅读 · 2009年12月31日
Simplicial Attention Networks
Arxiv
0+阅读 · 2022年4月20日
Antipatterns in Software Classification Taxonomies
Arxiv
0+阅读 · 2022年4月19日
Arxiv
13+阅读 · 2018年1月11日
VIP会员
相关VIP内容
100+篇《自监督学习(Self-Supervised Learning)》论文最新合集
专知会员服务
167+阅读 · 2020年3月18日
Stabilizing Transformers for Reinforcement Learning
专知会员服务
60+阅读 · 2019年10月17日
【深度学习视频分析/多模态学习资源大列表】
专知会员服务
92+阅读 · 2019年10月16日
Keras François Chollet 《Deep Learning with Python 》, 386页pdf
专知会员服务
163+阅读 · 2019年10月12日
开源书:PyTorch深度学习起步
专知会员服务
51+阅读 · 2019年10月11日
强化学习最新教程,17页pdf
专知会员服务
182+阅读 · 2019年10月11日
相关资讯
征稿 | CFP:Special Issue of NLP and KG(JCR Q2,IF2.67)
开放知识图谱
1+阅读 · 2022年4月4日
IEEE TII Call For Papers
CCF多媒体专委会
3+阅读 · 2022年3月24日
AIART 2022 Call for Papers
CCF多媒体专委会
1+阅读 · 2022年2月13日
【ICIG2021】Latest News & Announcements of the Tutorial
中国图象图形学学会CSIG
3+阅读 · 2021年12月20日
【ICIG2021】Check out the hot new trailer of ICIG2021 Symposium3
中国图象图形学学会CSIG
0+阅读 · 2021年11月9日
【ICIG2021】Latest News & Announcements of the Plenary Talk2
中国图象图形学学会CSIG
0+阅读 · 2021年11月2日
【ICIG2021】Latest News & Announcements of the Plenary Talk1
中国图象图形学学会CSIG
0+阅读 · 2021年11月1日
【ICIG2021】Latest News & Announcements of the Industry Talk2
中国图象图形学学会CSIG
0+阅读 · 2021年7月29日
【ICIG2021】Latest News & Announcements of the Industry Talk1
中国图象图形学学会CSIG
0+阅读 · 2021年7月28日
A Technical Overview of AI & ML in 2018 & Trends for 2019
待字闺中
18+阅读 · 2018年12月24日
相关基金
国家自然科学基金
4+阅读 · 2015年12月31日
国家自然科学基金
0+阅读 · 2013年12月31日
国家自然科学基金
0+阅读 · 2013年12月31日
国家自然科学基金
0+阅读 · 2013年12月31日
国家自然科学基金
0+阅读 · 2012年12月31日
国家自然科学基金
0+阅读 · 2012年12月31日
国家自然科学基金
6+阅读 · 2011年12月31日
国家自然科学基金
0+阅读 · 2009年12月31日
国家自然科学基金
0+阅读 · 2009年12月31日
Top
微信扫码咨询专知VIP会员