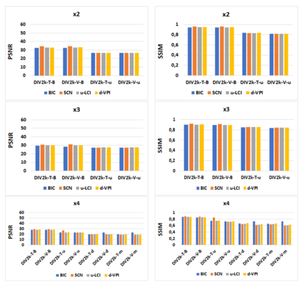
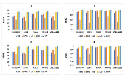
We present a new image scaling method both for downscaling and upscaling, running with any scale factor or desired size. It is based on the sampling of an approximating bivariate polynomial, which globally interpolates the data and is defined by a filter of de la Vall\'ee Poussin type whose action ray is suitable regulated to improve the approximation. The method has been tested on a significant number of different image datasets. The results are evaluated in qualitative and quantitative terms and compared with other available competitive methods. The perceived quality of the resulting scaled images is such that important details are preserved, and the appearance of artifacts is low. Very high-quality measure values in downscaling and the competitive ones in upscaling evidence the effectiveness of the method. Good visual quality, limited computational effort, and moderate memory demanding make the method suitable for real-world applications.


翻译:我们提出了一个新的图像缩放缩放和升级方法,使用任何比例系数或理想大小运行。它基于一个近似双变多式模型的抽样,该模型在全球范围内对数据进行内插,并通过一个过滤器 " de la Vall\'ee Poussin 类型 " 的定义,其动作射线适合改进近似值。该方法在大量不同的图像数据集中进行了测试。结果用质量和数量术语评价,并与其他现有的竞争性方法进行比较。由此生成的缩放图像的可感知质量是保存重要细节,而文物的外观也很低。降缩放中的高质量计量值和提升该方法有效性的竞争性测量值非常高。良好的视觉质量、有限的计算努力和中度的记忆要求使该方法适合现实世界应用。

0
下载
关闭预览

相关内容

在计算机图像处理和计算机图形学中,图像缩放(image scaling)是指对数字图像的大小进行调整的过程。图像缩放是一种非平凡的过程,需要在处理效率以及结果的平滑度(smoothness)和清晰度(sharpness)上做一个权衡。当一个图像的大小增加之后,组成图像的像素的可见度将会变得更高,从而使得图像表现得“软”。相反地,缩小一个图像将会增强它的平滑度和清晰度。
专知会员服务
26+阅读 · 2021年4月2日
【新书】Java企业微服务,Enterprise Java Microservices,272页pdf
【哈佛大学商学院课程Fall 2019】机器学习可解释性
专知会员服务
105+阅读 · 2019年10月9日
Transferring Knowledge across Learning Processes
CreateAMind
29+阅读 · 2019年5月18日
已删除
将门创投
8+阅读 · 2019年1月4日
Disentangled的假设的探讨
CreateAMind
9+阅读 · 2018年12月10日
计算机视觉的不同任务
专知
5+阅读 · 2018年8月27日
视觉机械臂 visual-pushing-grasping
CreateAMind
3+阅读 · 2018年5月25日
carla无人驾驶模拟中文项目 carla_simulator_Chinese
CreateAMind
3+阅读 · 2018年1月30日
计算机视觉近一年进展综述
机器学习研究会
9+阅读 · 2017年11月25日
【学习】(Python)SVM数据分类
机器学习研究会
6+阅读 · 2017年10月15日
可解释的CNN
CreateAMind
17+阅读 · 2017年10月5日
Feature Denoising for Improving Adversarial Robustness
Arxiv
15+阅读 · 2018年12月9日
Arxiv
3+阅读 · 2017年12月23日
Arxiv
9+阅读 · 2016年10月27日
VIP会员
相关资讯
Transferring Knowledge across Learning Processes
CreateAMind
29+阅读 · 2019年5月18日
已删除
将门创投
8+阅读 · 2019年1月4日
Disentangled的假设的探讨
CreateAMind
9+阅读 · 2018年12月10日
计算机视觉的不同任务
专知
5+阅读 · 2018年8月27日
视觉机械臂 visual-pushing-grasping
CreateAMind
3+阅读 · 2018年5月25日
carla无人驾驶模拟中文项目 carla_simulator_Chinese
CreateAMind
3+阅读 · 2018年1月30日
计算机视觉近一年进展综述
机器学习研究会
9+阅读 · 2017年11月25日
【学习】(Python)SVM数据分类
机器学习研究会
6+阅读 · 2017年10月15日
可解释的CNN
CreateAMind
17+阅读 · 2017年10月5日
Top
微信扫码咨询专知VIP会员